Живой кристалл - Страница 9
Для различных кристаллов величина энергии нулевых колебаний, естественно, оказывается различной в меру отличия величины ν0. Изменяется она, однако, в не очень широком интервале значений. Например, для кристалла водорода, который плавится при Т = 14 К, энергия Wн ≈ 10-14 эрг, а для кристалла золота, который плавится при температуре почти в сто раз более высокой (Т = 1336 К), энергия
Wн ≈ 3,5• 10-14 эрг. Обладая близкими энергиями нулевых колебаний, эти кристаллы очень существенно отличаются своими характеристиками, например энергиями связи между атомами. Эти энергии известны: Wн2 ≈ 10-14 эрг, WAu ≈ 10-12 эрг. Если сравнить энергии нулевых колебаний с энергиями связи, то окажется, что в случае золота энергия нулевых колебаний составляет всего около трех процентов от энергии связи, а в случае водорода они очень близки. Так как энергия нулевых колебаний от температуры не зависит, а энергия тепловых колебаний с температурой возрастает, то должна существовать некоторая граничная температура ТГ, ниже которой главенствуют нулевые, а выше — тепловые колебания. Величина этой температуры может быть определена из условия
Wн = kТГ, т. е. ТГ = Wн /k. Легко вычислить, что ТГн2 = 73 К, а ТГAu = 255 К. Кристалл водорода раньше расплавится, чем перейдет в область температур, где главенствуют тепловые колебания, а кристалл золота уже при комнатной температуре, которая ниже температуры его плавления больше, чем на тысячу градусов, окажется во власти главным образом тепловых колебаний.
Если руководствоваться самыми общими соображениями, естественно предположить, что свойства кристалла должны существенно зависеть от соотношения между двумя его характерными энергиями: нулевой и энергией связи. Верное предположение, мы будем иметь случай убедиться в этом.
Об амплитуде нулевых колебаний. Ее легко можно оценить, воспользовавшись уже известным нам соотношением, которое описывает принцип неопределенности. Неопределенности в координате ∆х придадим смысл амплитуды нулевых колебаний Aн, а неопределенность в импульсе ∆рх близка к среднему значению импульса частицы рх, который связан с кинетической энергией нулевых колебаний: Wн = рх2/2т. Таким образом,
рх = (2тWн )1/2
Вот теперь соотношение неопределенностей можно переписать в виде
Aн =ђ / (2тWн )1/2
Из полученной формулы следует, что чем легче атомы, из которых состоит кристалл, тем больше амплитуда их нулевых колебаний. Масса атома водорода mн2 = 1,6 •10-24 г. При такой массе и известной нам энергии нулевых колебаний их амплитуда оказывается близкой к межатомному расстоянию в кристалле водорода. А вот масса атома золота велика, mAu = 3 •10-22 г, и амплитуда нулевых колебаний в кристалле золота составляет всего около двух процентов от межатомного расстояния.
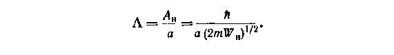
Рассуждая о нулевых колебаниях, физики часто пользуются величиной так называемого параметра де Бура. Им определяется отношение амплитуды нулевых колебаний к межатомному расстоянию:

Для подавляющего большинства веществ параметр де Бура мал, значительно меньше единицы. Существуют, однако, и такие, для которых он близок к единице и даже превосходит ее. К примеру, у изотопов гелия, атомы которых очень легки (≈ 5 • 10-24 г), оказывается Λ ≈ 3!
Когда параметр де Бура существенно превосходит единицу, это означает, что вещество ни при какой температуре не может существовать в кристаллической фазе, если искусственно (приложением внешнего давления) не уменьшить амплитуду нулевых колебаний и таким образом уменьшить Λ до значений порядка единицы и менее. Таким веществом, как известно, является гелий, который в обычных условиях остается жидким при сколь угодно низких температурах. Закристаллизовать его можно, лишь приложив давление. Небольшое, около 25 атмосфер. Естественно, может возникнуть вопрос, почему этим свойством не обладает водород, который, как известно, легче гелия. Дело в том, что параметр де Бура определяется не только массой атомов, но и энергией взаимодействия между ними. В случае водорода эта энергия больше, чем в случае гелия, и в этом причина того, что водород отвердевает, а гелий нет!
Мой рассказ об одном из непременных признаков жизни кристалла — о нулевых колебаниях — с самого начала основан на доверии читателя.
Доверием я не злоупотребил. Нулевые колебания себя обнаруживают во многих физических явлениях, главным образом в так называемых «квантовых кристаллах», у которых амплитуда нулевых колебаний велика, параметр Λ достигает значений, превосходящих единицу. Это — кристаллы, для которых характерна малая энергия связи, и существуют они в области низких температур (ожиженные и закристаллизованные идеальные газы и др.). Благодаря активным нулевым колебаниям, эти кристаллы обладают аномальными механическими свойствами. А недавно физики обнаружили, что в кристаллах изотопов гелия вблизи 0 К происходит так называемая «квантовая диффузия», при которой коэффициент диффузии растет с понижением температуры. Удивительно? Удивительно, но факт!
ЕСТЬ ЛИ ПРОК В БЕСПОРЯДКЕ?
В шуточных стихах поэт четко выразил общепринятое отношение к интересующей нас проблеме «порядок — беспорядок»:
Порядок стихотворных строк
Люблю в своей тетрадке.
Я лишь в порядке вижу прок,
Не вижу — в беспорядке.
Так вот, с точки зрения кристалла поэт не прав, кристалл «видит» прок в беспорядке. Ему необходимы и порядок, и беспорядок одновременно. Утверждение немного курьезно, оно, однако, ничуть не искажает реальную ситуацию. Быть может, его следует лишь немного уточнить: кристаллу, который является воплощением и торжеством порядка, необходима некоторая доля беспорядка в расположении атомов. Беспорядок может проявлять себя в различных признаках, быть представленным в различной степени, — но обязан быть! — и, как выясняется, степень беспорядка с ростом температуры должна увеличиваться. Беспорядок — непременный признак жизни кристалла, а следовательно, прок в нем есть!
Вначале о происхождении порядка в кристалле, которое проще осмыслить, если предположить температуру кристалла равной нулю и мысленно избавиться от всяких признаков беспорядка. Упорядоченное расположение атомов в кристалле есть непосредственное следствие фундаментального закона природы: устойчивыми оказываются такие состояния, при которых энергия системы минимальна. В нашем случае «система» — это кристалл, а энергия — это сумма энергий взаимодействия между всеми парами атомов, составляющих кристалл. Среди прочих значений минимальная энергия выделена своей величиной, и среди прочих возможных расположений атомов ей должно соответствовать некоторое выделенное, т. е. упорядоченное, расположение атомов. Среди необозримого числа неупорядоченных расположений оно тем-то и выделено, что отличается порядком в расположении атомов. Какому расположению будет соответствовать порядок — неважно, а важно лишь то, что порядок! Не хаос, а порядок!