Женщины-математики. От Гипатии до Эмми Нётер - Страница 22

Рассмотрим физическую систему, состоящую из двух пружин с коэффициентами упругости к12 и к23 Введем обозначения:

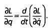
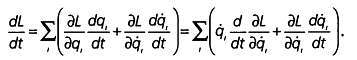
Здесь общие координаты q совпадают с декартовыми координатами хi. Применив методы математического анализа, в частности уравнение Эйлера — Лагранжа, получим:

Теперь рассмотрим симметрию (в формулировке теоремы она обозначена через s). Так как закон упругости выполняется всегда, мы вполне можем предположить, что s = t, то есть время, и симметрия лагранжиана, о которой говорится в исходной формулировке, проявляется так:
Проведем некоторые алгебраические преобразования:

Изменим порядок членов:

Мы получили сохраняющуюся величину С — она приведена в скобках. Так как q˙ = х˙, имеем

Сумма (со знаком «минус») кинетической и потенциальной энергии, то есть общая энергия системы, постоянна. Мы получили закон сохранения энергии.
* * *
Мы прервали наш рассказ об Эмми на том, что она обосновалась в Гёттингене, рядом с Клейном и Гильбертом — двумя математиками мировой величины. Остроумный Гильберт нашел способ преодолеть препятствия со стороны наиболее косных и консервативных преподавателей: он организовал курсы под своим именем, но на занятиях его всякий раз замещала Эмми, а недоброжелателям оставалось лишь скрежетать зубами.
Эмми отличалась невероятной работоспособностью — ее можно было сравнить с автомобилем, у которого отказали тормоза. В 1920 году она решила последовать новым путем. Постепенно, но неуклонно Эмми стала уделять все больше внимания вопросам чистой алгебры: сначала кольцам и идеалам на кольцах, затем — более сложным структурам, в частности различным алгебрам. Она настолько овладела темой, что вполне заслужила титул «властительницы колец». К этой эпохе относятся столь важные для развития алгебры результаты, как теорема Ласкера — Нетер (1921) и лемма о нормализации (1926). К 1927 году относятся ее теоремы об изоморфизме.
Затем практически сразу же Эмми перешла к более сложным темам, в частности к алгебрам. В 1931 году была сформулирована теорема Альберта — Брауэра — Хассе — Нётер об алгебрах конечной размерности. В 1933 году Эмми Нётер вновь получила важный результат, связанный с алгебрами, — так называемую теорему Сколема — Нётер. Мы не приводим подробные формулировки этих теорем, так как в них упоминаются очень абстрактные математические термины и объекты, доступные исключительно специалистам.
За Эмми повсюду следовала настоящая толпа учеников — шумных, недисциплинированных, но очень умных. То были «дети Нётер», которые внимали ее словам. Они сопровождали ее во время длинных прогулок и частых купаний в муниципальном бассейне, где Эмми плавала и ныряла, словно дельфин. Многие «дети Нётер» впоследствии стали великими математиками благодаря идеям, которые они почерпнули от своей наставницы, хотя ее педагогический дар был, если можно так выразиться, нестандартным: она относилась к ученикам как курица-наседка к цыплятам — была неизменно строгой и требовательной и не отходила от них ни на шаг. Многим она напоминала скорее петуха, чем курицу, и они называли ее, проявляя уважение к ее уму и некоторую робость, в мужском роде — Der Noether.

«Дети Нётер».
Понять, сколь любопытной была свита «детей Нётер», поможет анекдотичный случай времен нацистской Германии. Наташа Артин-Брауншвейг, супруга Эмиля Артина (1898–1962), рассказывала, как они однажды спустились в гамбургское метро: ученики ни на шаг не отставали от Нётер и шли за ней, словно дети за Гамельнским крысоловом. Едва они зашли в поезд, Эмми начала обсуждать математические темы с Эмилем Артином, все больше повышая голос и не обращая внимания на остальных пассажиров. В речи Нётер постоянно звучали слова «фюрер» и «идеал» — к великому ужасу Наташи, которая боялась, что их вот-вот задержит гестапо.
Однако любой из «детей» без труда объяснил бы внушавшим ужас гестаповцам, что эти слова были всего лишь невинными алгебраическими терминами из теории колец. В то время нацисты установили повальную слежку, они вмешивались в частную жизнь людей и буквально осаждали университеты. Один из учеников Эмми, который был евреем и поэтому не мог посещать университет, приходил заниматься к ней домой в форме члена штурмового отряда, чтобы избежать подозрений. Пацифистка Эмми воспринимала происходящее со смирением.
Она занималась наиболее современными разделами алгебры. Время от времени Эмми обращалась к топологии, в частности в совместных работах с Павлом Сергеевичем Александровым (1896–1982). Специализацией Нётер было подробное изучение алгебраических структур, цель которого — отбросить их частные свойства и рассмотреть их в максимально общем виде. Эмми пользовалась безграничным авторитетом, и к ней приезжали ученики со всех уголков Европы. Один из них, Бартель ван дер Варден (1903–1996), впоследствии прославившийся как автор «Современной алгебры», книги, ставшей каноном для нескольких поколений (по этой самой книге, страницы которой были испещрены непонятными символами готического шрифта, учился и я), писал в некрологе Эмми Нётер:
«Для Эмми Нётер связи между числами, функциями и операциями становились ясными, доступными для обобщения и полезными только после того, как они были отделены от конкретных объектов и сведены к концептуальным связям общего вида».
А вот что писал Эйнштейн:
«Теоретическая математика — своего рода поэзия логичных идей. Ее цель — поиск наиболее общих идей, которые в простом, логичном и общем виде описывают максимально возможный спектр формальных взаимосвязей. На этом пути к логической красоте мы и открываем формулы, позволяющие глубже постичь законы природы».
Внимательно прочтите этот раздел, посвященный азам абстрактной алгебры, — в противном случае вы не поймете ничего из того, о чем говорится в следующих разделах. Этот раздел обширен, но прост, так как содержит исключительно определения.
Основных алгебраических структур, которые рассматриваются как множества с одной или несколькими операциями, много. Мы ограничимся тем, что рассмотрим структуры, на которых определены две операции, o и •. Этими операциями часто оказываются + и •. Порой требуется так называемый третий закон внешней композиции (а иногда и больше), но мы рассмотрим только простейшие случаи. Вместо того чтобы постоянно использовать слова «является элементом», заменим их символом