Жар холодных числ и пафос бесстрастной логики - Страница 17
Формальный аппарат, изложенный в пп. I—IV (пункт V, как говорят, не расширяет его возможностей), можно понимать как теорию абстрактной булевой алгебры — булевой алгебры как любого множества объектов (носителя), взятого вместе с семейством операций. определенных на этом множестве, которое удовлетворяет всем требованиям данного аппарата, причем как теорию в узком смысле: как некоторое исчисление (равенств). Такую теорию следует отличать от теории булевых алгебр в широком смысле, в которой исследуются свойства приведенного формального аппарата (и аналогичных ему построений) и его интерпретации, формализации булевых алгебр средствами тех или иных логических систем, обобщения понятия булевой алгебры и т. д.
В логике исчислением обычно называют систему правил порождения объектов, допускающих осмысление (интерпретацию), и позволяющую выделять среди осмысленных объектов такие, которые в интерпретациях оказываются в каком-либо разумном смысле истинными суждениями. В рассмотренном нами исчислении объекты возникают в два этапа:
на первом с помощью пп. I и II порождаются формулы (и —с помощью п. V —их сокращения),
на втором (п. III) из формул строятся равенства. Далее среди возникших таким образом объектов происходит отбор тех из них, которые в интерпретациях оказываются верными, отбор равенств[23], истолковываемых как суждения о свойствах элементов соответствующей булевой алгебры, выраженные в терминах ~, & и V. Этот отбор задается постулатами (п. IV); он основан на процедуре порождения верных равенств посредстве м правил вывода [b], исходя из равенств, представляющих собой аксиомы (согласно списку схем аксиом [а]).
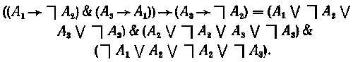
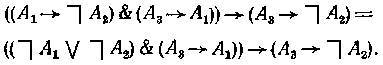
Проиллюстрируем механизм подобного порождения на приведенном выше (с. 64) примере доказательства равенства

Шаг (1) состоял в следующем. Было взято равенство (A1 → ~A2) = (~A1 V ~A2), верное по определению (п. V), и к нему применено правило вывода —замена равным [b] следующим образом: в ((A1 → ~A2) & (A3 → A1)) →
(A3 → ~A2) часть (A1 → ~A2) была заменена на формулу (~A1 V ~A2), в результате чего получилось верное равенство:

Здесь роль α, фигурирующей в формулировке правила замены равным, играло выражение (A1 → ~A2)» роль β — формула (~A1 V ~A2), роль Ф[а]—выражение ((А1 → A2) & (A3 → A1)) → ( A3 → ~A2). роль Ф[β] - выражение ((~A1 V ~A2) & (A3 → A1)) → (A3→ ~A2). На шагах (2) и (3) в последнем выражении была произведена аналогичная замена импликативных выражений равными им (в силу определения п. V) дизъюнктивными формулами. Читатель может самостоятельно проследить, как применялось правило замены (и правила, выражающие симметричность и транзитивность равенства) на всех шагах доказательства, приведенного на с. 64—65. Заметим, что на некоторых шагах правило замены использовалось несколько раз.
Вернемся, однако, к логической интерпретации. Как мы говорили, операциям ~, &, V соответствуют отрицание, конъюнкция и (слабая, неразделительная) дизъюнкция — соединительно-разделительный союз «или». Как мы увидим ниже, при интерпретации яа классах эти операции истолковываются как взятие дополнения к классу, пересечение и объединение двух произвольных классов. В исчислении, которое разработал сам Дж. Буль и которое истолковывалось им прежде всего как теория классов (ср. ниже третью интерпретацию), использовалась не операция объединения классов, а так называемая симметрическая разность (объединение двух классов с исключением их общей части), а в случае интерпретации на высказываниях — строгая дизъюнкция, то есть операция, соответствующая союзу «или» в разделительном смысле (в разговорном языке передаваемом оборотом «или..., или», «либо..., либо»); если обозначить операцию строгой дизъюнкции знаком Û то запись (а Û β) означает, что это строго-дизъюнктивное высказывание (форма высказывания) истинно тогда, и только тогда, когда один член дизъюнкции, безразлично какой, истинен, а другой ложен. Если в перечне схем аксиом [а] изложенного нами исчисления заменить знак V всюду, где он встречается, знаком Û, то некоторые равенства станут неверными (например, «проваливаются» оба закона Де Моргана).
Это означает, что у самого Буля булевой алгебры не было. Она появляется, конечно, не в виде абстрактной алгебраической системы, а в виде содержательных интерпретаций на классах и высказываниях — лишь у Ст. Джевонса (см. выше. гл. 2). Но от Буля ведет свое начало тип алгебраических систем, переменные которых могут пониматься как двоичные переменные и формулы которых принимают только одно из тех же самых двух значений (поэтому эти переменные и формулы сейчас нередко называют булевыми). К системам такого рода принадлежит и булева алгебра. В этом смысле Буль действительно стоит у ее истоков, что и оправдывает ее название[24].
Теоретико-множественная интерпретация (на классах)
Введем в рассмотрение некоторую область предметов — универсальный класс V (ср. гл. 2). Будем рассматривать всевозможные классы (множества), состоящие из предметов универсума V, то есть его подмножества. Введем также пустой класс Л. На подмножествах множества V, включая и сами V и Л, обычным образом определим операции взятия дополнения к произвольному классу Л, пересечения двух произвольных классов A и B и их объединения (см. примечание 15 на с. 47). Истолкуем пропозициональные переменные булевой алгебры как переменные, значениями которых являются классы; операции ~, &, V будем понимать соответственно как ', ∩, ∪ и следовательно, формулы ~α, (α & β), (α V β) как формулы логики классов α', (α ∩ β) и (α ∪ β), а 1 и 0 — как V и Л. В соответствии с определением V это приведет к истолкованию выражений вида (α → β) и (α ≡ β) как совпадающих по смыслу с формулами вида (α' ∪ β) и ((α' ∪ β) ∩ (α ∪ β'))- Тогда формулы рассмотренного нами исчисления обратятся в формы классов[25], так как при всякой подстановке каких-то значений вместо всех переменных- данной формулы мы будем получать некий класс. Равенства α = β, где- α и β — формы классов, обращается в истинное высказывание, если при данной подстановке значений на места всех переменных, имеющихся в а и β, формы а и β переходят в точности в один и тот же класс[26]. Если это имеет место при любой подстановке такого рода, равенство считается верным.
Нетрудно проверить, что все 17 схем аксиом [а] при данной интерпретации оказываются верными равенствами. Возьмем, например, равенство 13. При интерпретации оно приобретает вид (а')' = а, что очевидно верно, какой бы класс ни взять в качестве а: дополнение к дополнению к данному классу совпадает с данным классом (это ясно видно из рис. 2, где класс A представлен кругом, универсальный класс — квадратом, в который помещен круг. а дополнение к классу A заштриховано). Ясно также, что пересечение любого класса A с универсальным классом есть класс Л (схема аксиом 14), и тот же результат дает его объединение с пустым классом (схема аксиом 15) и т. д.[27].

Формулы, которые при логической интерпретации оказываются тождественно-истинными формами высказываний, при данной интерпретации задают универсальный класс (аналогичное соответствие имеется между тождественно-ложными формами и классовыми формами, задающими пустой класс).
Данная интерпретация является теоретико-множественной в том смысле, что в ней используются операции над классами (множествами), однако ее можно считать и логической интерпретацией (правда, иного рода, чем интерпретация на высказываниях), поскольку множества можно считать объемами понятий (как мы увидим в дальнейшем, логика и теория множеств — при классической установке в математике и логике, о которой речь впереди, находятся между собой в органической связи).