Юный техник, 2013 № 01 - Страница 15
Для учащихся из зарубежных стран возможно только платное обучение на заочном и очно-заочном отделениях.
Внимание! Прислав нам решенное вступительное задание, Вы даете согласие на обработку Ваших персональных данных (в соответствии с Федеральным законом от 27.07.2006 г. № 152-ФЗ), которые будут использованы исключительно для отправки Вам материалов по почте и учета Вашей успеваемости.
Номера задач, обязательных для выполнения (заочное и очно-заочное отделения), приводятся в таблице:

Номера классов указаны на текущий 2012–2013 учебный год.
МАТЕМАТИКА
1. Найдите угол между биссектрисами смежных углов.
2. До начала циркового представления продавец воздушных шаров продал 9,375 % от имеющихся у него в наличии шаров. В антракте он продал 6/23 оставшихся шаров, после чего у него осталось на 243 шарика меньше, чем было первоначально. Сколько воздушных шаров осталось у продавца?
3. а) Отметьте на координатной плоскости точки
А(-11;6), В(5;14), С(9;12), D(9;16), E(11;16), F(11;11), G(21;6), H(14;6), K(14;-5), L(-4;-5), M(-4;6). Соедините их последовательно отрезками (АВ, ВС, CD, DE, EF, EG, GH, HK, KL, LM, MA) и найдите площадь полученной фигуры.
б) При каких значениях параметра k прямая y = kx + 12 не имеет с данной фигурой общих точек?
4. К числу 374 припишите слева и справа по одной цифре так, чтобы полученное число делилось на 45.
Найдите все решения.
5. В 6 часов утра лодка отправилась из пункта А в пункт В вниз по течению реки. Три часа спустя после прибытия в пункт В лодка отправилась в обратный путь и прибыла в А в 7 часов вечера того же дня. Найдите скорость течения реки, если собственная скорость лодки равна 5 км/ч, а расстояние между пунктами А и В составляет 24 км.
6. Фотография размером 20x30 см вставлена в рамку прямоугольной формы постоянной ширины. Определите ширину рамки, если площадь рамки составляет 36 % площади фотографии.
7. Периметр прямоугольного треугольника равен 24, а его площадь также равна 24. Найдите стороны треугольника.
8. Сократите дробь

9. Найдите все пары натуральных чисел, произведение которых равно 2940, а наибольший общий делитель равен 7.
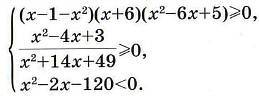
10. Решите систему неравенств

11. Решите уравнение cos4x + sin8x = sin4x + cos8x.
12. Сумма первых 23 членов арифметической прогрессии равна 1978, а сумма первых 35 членов равна 2380. Найдите сумму первых 92 членов этой прогрессии.
13. Решите уравнение
14. Дан треугольник со сторонами 13, 14, 15. Окружность с центром на большей стороне касается двух меньших сторон треугольника. Найдите: а) радиус окружности; б) длины отрезков, на которые центр окружности делит большую сторону треугольника.
ФИЗИКА
1. Гребцы на лодке стартовали от пункта А до пункта В вниз по течению реки. Спустя t1 = 1 ч они добрались до пункта Б. Здесь их взял на буксир катер и через время t2 = 1 ч они вернулись к месту старта. Определите скорость течения реки νr и расстояние L между пунктами А и Б, если известно, что скорость лодки в стоячей воде νл = 10 км/ч, скорость катера в стоячей воде νк — 18 км/ч. Временем, затраченным на разворот и организацию буксировки, пренебречь.
2. Для изучения «неопознанных плавающих объектов» (НПО) в озере установили неподвижный подводный микрофон. Когда был обнаружен покоящийся объект, микрофон регистрировал регулярные короткие звуковые сигналы с интервалом τ1 = 1 с. Когда НПО пришел в движение, микрофон стал регистрировать сигналы с интервалом τ2 = 1,001 с. Определите скорость и направление движения НПО. Считать, что за все время наблюдения НПО и микрофон находились на одной прямой. Во время движения объект издавал сигналы с той же периодичностью, что и в покое. Скорость звука в воде νзв = 1500 м/с.
3. Для охлаждения нагретых стальных деталей их можно поместить в сосуд со специальным маслом. Какую максимальную массу нагретых стальных деталей можно охладить в сосуде вместимостью V = 10 л? Плотность масла ρм = 800 кг/м3, плотность стали ρст = 7800 кг/м3.
Известно, что для охлаждения одного килограмма стали требуется 12 кг масла, при условии, что детали полностью погружены в масло. Изменением объема деталей при охлаждении и испарением масла пренебречь.
4. Два груза, первый некоторой массой m1 и второй массой m2 = 2 кг, неподвижно висят на двух легких пружинах с коэффициентами жесткости k1 = 100 Н/м и k2 = 400 Н/м (рис. 1).

Как изменится длина всей системы (расстояние от точки А крепления верхней пружины к опоре до точки В нижней пружины), если поменять местами пружины? Считать g=10 Н/кг.
5. В одинаковых сообщающихся цилиндрических сосудах с вертикальными стенками одинаковой высоты находится вода, причем ее уровень расположен на h0 = 10 см ниже верхнего края сосудов. При доливании в один из сосудов масла объемом VM = 12 см3 он оказался заполненным маслом до самого края. Определите площадь поперечного сечения сосуда S. Плотность масла ρм = 800 кг/м3, плотность воды ρв = 1000 кг/м3.
6. Сплошной пробковый шар плавает в сосуде с водой, погрузившись наполовину. Если к нему прикрепить медную деталь массой mм = 50 г, то он полностью уйдет под воду, не касаясь при этом стенок и дна сосуда. Определите массу пробкового шара. Плотность пробки ρпр = 200 кг/м3, плотность меди ρм = 8900 кг/м3.
7. Однородный стержень массой m = 100 кг и длиной L = 3 м нужно подвесить в горизонтальном положении на двух одинаковых тросах. При этом один трос крепится за край стержня, а второй нужно закрепить как можно ближе к середине стержня. Известно, что трос рассчитан на максимальную силу натяжения величиной Tмакс = 750 Н. На каком минимальном расстоянии от середины стержня можно закрепить второй трос? g = 10 Н/кг.
8. В стакан, нагретый до температуры tст = 50 °C и имеющий теплоемкость С = 50 Дж/°С, наливают mв = 100 г холодной воды при температуре t0 = 0 °C. После установления теплового равновесия воду выливают, а стакан наполняют второй такой же порцией холодной воды.
Определите установившиеся температуры t1 и t2 первой и второй порций воды. Потерями теплоты пренебречь. Удельная теплоемкость воды св= 4200 Дж/(кг∙°С).
9. В сосуде находится mв = 200 г теплой воды при температуре tв = 50 °C. Какую максимальную массу льда, взятого при температуре tл = -10 °C, можно расплавить, используя эту воду? Теплоемкостью сосуда и потерями теплоты пренебречь. Удельная теплоемкость воды св = 4200 Дж/(кг ∙°С), удельная теплоемкость льда сл = 2100 Дж/(кг ∙°С), удельная теплота плавления льда λл = 3,35∙105 Дж/кг.