Юный техник, 2005 № 12 - Страница 14

(таблица заполняется методистом школы)
1. Область Свердловская
2. Фамилия, имя, отчество Кузнецов Роман Владимирович
3. Класс, в котором учитесь седьмой
4. Номер школы 4
5. Вид школы (обычная, лицей, гимназия, с углубленным изучением предмета) обычная
6. Подробный домашний адрес (с указанием индекса и телефона), E-mail 624600. г. Барнаул, ул. Садовая, д. 38, кв. 6. E-mail: [email protected]
7. Место работы и должность родителей:
отец электрик
мать учитель английского яз.
8. Адрес школы и телефон, факс. E-mail 624600, г. Барнаул, ул. Фрунзе д. 42, E-mail: [email protected]
9. Фамилия, имя, отчество преподавателей:
по физике Еремин Владимир Петрович
по математике Шилова Нина Игоревна
10. Каким образом к Вам попало вступительное задание?
ВНИМАНИЕ! Для получения ответа на вступительное задание и для отправки вам первых заданий обязательно вложите в тетрадь два одинаковых бандерольных конверта размером 160x230 мм с наклеенными марками номиналом на сумму 7 руб. На конвертах четко напишите свой домашний адрес.
Ученикам, зачисленным в ФЗФТШ в рамках утвержденного плана приема, будет предложено оплатить безвозмездный целевой взнос для обеспечения учебного процесса в соответствии с уставными целями школы.
Сумма взноса будет составлять в год ориентировочно для учащихся заочного отделения 400–700 руб., для очного 500 — 1000 руб., для очно-заочного — 800 — 1400 руб. (с каждой факультативной группы).
Срок отправления решения — не позднее 1 марта 2006 года. Вступительные работы обратно не высылаются. Решение приемной комиссии будет сообщено не позднее 1 августа 2006 года.
Тетрадь с выполненными заданиями (по физике и математике) высылайте по адресу: 141700, г. Долгопрудный Московской области, Институтский пер., 9, ФЗФТШ при МФТИ.
Для учащихся Украины работает Киевский филиал ФЗФТШ при МФТИ (обучение платное). Желающим в него поступить следует высылать работы по адресу: 03680, Украина, г. Киев, б-р Вернадского, д. 36, ГСП, Киевский филиал ФЗФТШ при МФТИ. Тел: (044) 424-30-25.
Для учащихся из зарубежных стран возможно только платное обучение на заочном и очно-заочном отделениях ФЗФТШ. Условия обучения для прошедших конкурсный отбор будут сообщены дополнительно.
Ниже приводятся вступительные задания по физике и математике.
В задании по физике: задачи 1–5 предназначены для учащихся 7-х классов; задачи в — 10 для 8-х классов; задачи 5–7, 9 — 13 для 9-х классов; 12–18 — для 10-х классов.
В задании по математике: задачи 1–5 для учащихся 7-х классов; задачи 3–8 для 8-х классов; задачи 5 — 10 для 9-х классов; задачи 7 — 13 для 10-х классов.
Номера классов указаны, на текущий 2005–2006 учебный год.
МАТЕМАТИКА
1. Велосипедист проехал 5/7 пути и еще 40 км; ему осталось проехать еще 0,75 пути без 118 км. Сколько всего должен проехать велосипедист?
2. Среди точек данной прямой l найти такую, что сумма расстояний от нее до двух данных точек А и В является наименьшей.
3. Имеются 4 пакета с сахаром и весы с двумя чашками без гирь. С помощью пяти взвешиваний расположите пакеты по весу, если известно, что все пакеты разного веса.
4. Найдите цифры сотен и единиц числа 42*4*, если известно, что оно делится на 72.
5. Определите, сколько килограммов сухарей с влажностью 15 % можно получить из 255 кг хлеба с влажностью 45 %.
6. Три окружности с центрами O1, O2, O3 и радиусами r1, r2, r3 соответственно, касаются друг друга и прямой l, как показано на рисунке. Найдите r3, если r1 = 1, r2 = А.

7. Процент учеников некоторого класса, не повысивших во втором полугодии успеваемость, заключен в пределах от 96,9 % до 97,1 %. Определить минимально возможное число учеников в таком классе.
8. Числа р и 2р + 1, где р > 3, являются простыми числами. Докажите, что число 4р + 1 является составным.
9. Найдите все целые числа, каждое из которых является первым членом арифметической прогрессии с разностью, равной 7, и суммой первых нескольких членов, равной 2744.
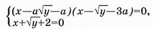
10. Найти все значения параметра а. при которых система

имеет единственное решение.
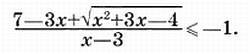
11. Решите неравенство

12. Биссектриса ВК и высота CD остроугольного треугольника АВС пересекаются в точке О. Окружность радиуса R с центром в точке О проходит через вершину В, середину стороны ВС и пересекает сторону АВ в точке М такой, что АМ: МВ = 2:1. Найдите длину стороны АС.
13. Решите уравнение
ФИЗИКА
1. (Экспериментальное задание.) Определите скорость, с которой вода вытекает из носика водопроводного крана. Вы можете использовать линейку, часы или секундомер, емкость для воды.
2. Пункты А и В находятся выше и ниже по течению реки. Катер выплывает из А и, дойдя до пункта В, сразу разворачивается и возвращается в пункт А. Скорость течения реки равна V. Определите среднюю скорость катера за все время движения. Известно, что на путь из А в В катер затратил в 2 раза меньше времени, чем на обратный путь. Скорость катера относительно воды не изменяется.
3. Школьник изучает движение брусков разной массы по горизонтальной шероховатой поверхности стола.
В первом опыте за легкую нить с постоянной скоростью тянут деревянный брусок массой m. При этом сила натяжения нити составляет 2H. Во втором опыте на ту же поверхность устанавливают второй брусок массой 2m, изготовленный из того же материала, что и первый. Концы второй нити закрепляют на брусках. Всю систему тянут с постоянной скоростью по столу за нить, привязанную к бруску меньшей массы (см. рис. 1). Определите силы натяжения обеих нитей.

4. В цилиндрическое ведро с вертикальными стенками и площадью дна S = 500 см2 налита нефть, занимающая объем V = 6,5 л. Найдите давление нефти на стенку ведра на высоте h = 3 см от дна. Какую массу воды долили в ведро, если давление в том же месте увеличилось на 20 %? Плотность воды рв=1000 кг/м3, плотность нефти рн=800 кг/м3. Атмосферное давление не учитывать.
5. Гидравлический пресс, заполненный водой, имеет цилиндры с поршнями, площади поперечного сечения которых равны 1000 см2 и 500 см2. В начальный момент поршни находятся на одном горизонтальном уровне. На поршень большей площади становится человек. При этом поршень опускается на Н = 0,3 м. Какова масса человека? Массами поршней пренебречь.