Юный техник, 2001 № 02 - Страница 16

Во сколько раз отлетаются показания амперметра при разомкнутом ключе К от показаний при замкнутом ключе. Сопротивление ламп одинаково. Напряжение поддерживается постоянным.
5. (9, 10, 11) Ведро, в котором находится смесь воды со льдом массой 10 кг, внесли в комнату и сразу же начали измерять температуру смеси. Получившийся график зависимости температуры t° от времени τ изображен на рисунке.

Какова масса льда, находящегося в ведре?
Теплоемкостью ведра пренебречь. Удельная теплоемкость воды 4,2 кДж/моль·К, удельная теплота плавления льда 0,33 МДж/кг.
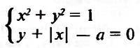
6. (10, 11) Найти все значения а, при которых система имеет ровно 4 решения:

7. (10, 11) Какой угол наклона должна иметь крыша, чтобы вода стекала за минимальное время? Ширина крыши 2Ь.
8. (11) Найти среднеарифметическое наименьшего целого и наибольшего целого решений неравенства:
9. (11) В сосуде находится 16 г кислорода и 10 г водорода. Во сколько раз изменится давление в сосуде, когда весь кислород соединится с необходимой для реакции частью водорода? Температура в сосуде поддерживается постоянной. Давлением насыщенных водяных паров пренебречь.
10. (9, 10, 11) В выпуклом четырехугольнике ABCD длина отрезка, соединяющего середины сторон АВ и CD, равна одному метру. Прямые ВС и AD перпендикулярны. Найти длину отрезка, соединяющего середины диагоналей АС и BD.
ТВОИ УНИВЕРСИТЕТЫ
Продолжаем публикацию мини-справочника по московским техническим вузам. Напоминаем: все указанные телефоны — московские, код 095.

Рубрику ведет С. Бузлаков
МОСКОВСКАЯ ГОСУДАРСТВЕННАЯ ТЕХНОЛОГИЧЕСКАЯ АКАДЕМИЯ
Специальности: автоматизация технологических процессов и производств (заочная, дневная, вечерняя); биоэкология (заочная, дневная, вечерняя); бухгалтерский учет и аудит (заочная, дневная, вечерняя); водные биоресурсы и аквакультуры (заочная, дневная, вечерняя); коммерция (заочная, дневная); машины и аппараты пищевых производств (заочная); менеджмент (заочная, дневная); психология (заочная, дневная, вечерняя); техника и физика низких температур (заочная); технология бродильных производств и виноделие (дневная, заочная); технология жиров (заочная); технология консервов и пищеконцентратов (заочная); технология продуктов общественного питания (заочная); технология рыбы и рыбных продуктов (заочная); технология сахаристых веществ (заочная); технология хлеба, мучных, кондитерских и макаронных изделий (заочная, дневная, вечерняя); технология хранения и переработки зерна (заочная); финансы и кредит (заочная); экономика и управление на предприятии (заочная, вечерняя); юриспруденция (заочная, дневная, вечерняя).
Вступительные экзамены: математика (письменно), русский язык (изложение), химия (письменно), обществознание (письменно), биология (письменно), иностранный язык (письменно) — в зависимости от выбранной специальности. Проходной балл в 2000 г. на технические специальности: 9 — 10. Конкурс аттестатов.
Формы обучения: дневная, вечерняя, заочная, дистанционная.
Имеется общежитие. Возможно обучение на договорной основе.
Отсрочка от призыва в армию на период обучения.
Адрес: 109803, Москва, ул. Земляной нал, 73. Тел.: ПK — 915-52-10, ПО — 915-33-83. Е-mail: [email protected].
МОСКОВСКАЯ ГОСУДАРСТВЕННАЯ ЮРИДИЧЕСКАЯ АКАДЕМИЯ
Специальности: юриспруденция.
Вступительные экзамены: сочинение; история России; основы государства и права (возможно, в 2001 г. дисциплина будет замелена).
Средний проходной балл в 2000 г. — 9 (сумма баллов за два экзамена, сочинение оценивается по системе зачет/незачет).
Прием документов: на дневное отделение с 25 июня по 15 июля, на вечернее и заочное отделения с 1 июня по 15 июля. Студентам предоставляется общежитие. Отсрочка от армии. Возможно обучение на договорной основе.
Адрес: 123286, Москва, Садово-Кудринская., 9.Тел.: спр. — 244-88-90, 244-86-91.
МОСКОВСКАЯ СЕЛЬСКОХОЗЯЙСТВЕННАЯ АКАДЕМИЯ ИМ. К.А. ТИМИРЯЗЕВА
Специальности: агрономия (агробизнес, пчеловодство и кормопроизводство, технология хранения и переработки растениеводческой продукции); агрохимия и почвоведение (агроэкономическая и правовая оценка земельных ресурсов, агролесомелиорация, сертификация сельхозпродукции); агроэкология; антикризисное управление; бухгалтерский учет и аудит; защита растений; зоотехния (общая зоотехния, птицеводство, коневодство, рыбоводство, пчеловодство, технология переработки продуктов животноводства); математические методы и исследование операций н экономике (информационные технологии, компьютерные системы и информационное обслуживание, экономическая кибернетика); плодоовощеводство и виноградарство (плодоовощеводство, плодоводство, овощеводство защищенного грунта, возделывание лекарственных и эфиромасличных культур); плодоовощеводство и виноградарство (хранение и переработка плодов и овощей, декоративное садоводство); селекция и генетика сельскохозяйственных культур (биотехнология); финансы и кредит; экономика и управление аграрным производством (менеджмент, маркетинг в АПК, экономика и бухучет, организация агробизнеса, организация внешнеэкономических связей предприятий АПК).
Вступительные экзамены: на экономические специальности — математика (письменно), биология (устно), изложение; на другие специальности — химия, биология, изложение. Проходной балл в 2000 г. — 13–14. Формы обучения: дневная, вечерняя, заочная. Имеется военная кафедра.
Общежитие для студентов (20 руб. в мес.). Возможно обучение на договорной основе.
Адрес: 127550, Москва, Тимирязевская ул., 49. Тел.: ПК — 977-14-55, 977-12-74. Адрес ПК: Лиственничная аллея, д.26, ЦНБ, ком. 114.
МОСКОВСКИЙ ГОСУДАРСТВЕННЫЙ АГРОИНЖЕНЕРНЫЙ УНИВЕРСИТЕТ ИМЕНИ В. П. ГОРЯЧКИНА
Специальности; автомобили и автомобильное хозяйство (эксплуатация транспортных средств, сервис транспортных средств); информационные системы (в экономике); механизация сельского хозяйства (эксплуатация с/х техники, маркетинг тракторов, автомобилей и с/х техники, инженерное обеспечение экологической безопасности, топливозаправочные комплексы и нефтесклады); профессиональное обучение (механизация с/х производства, электрификация с/х производства, психология профессионального образования, иностранный язык в сфере профессиональной коммуникации); сервис и техническая эксплуатация транспортных средств и технологических машин и оборудования в с/х (организация и технология тех. сервиса, экономика и управление тех. сервисом, сервис оборудования перерабатывающих предприятий, сервис импортной автотранспортной техники); стандартизация и сертификация (в АПК); экономика и управление но предприятиях технического сервиса; механизация и электрификация сельского хозяйства (электрификация технологических процессов, автоматизация технологических процессов, информационные технологии в электроэнергетике, менеджмент и маркетинг в электроэнергетике); электрообеспечение предприятий; электроснабжение сельского хозяйства.