Юный техник, 2000 № 05 - Страница 18
Ждем ваши работы.
ОТДЕЛЕНИЕ МАТЕМАТИКИ
Из этого отделения выросла вся заочная школа (вначале она так и называлась — математическая).
За время обучения вы более глубоко, чем в обычной школе, сможете осознать основные идеи, на которых базируется курс элементарной математики, познакомиться с некоторыми дополнительными, не входящими сейчас в школьную программу, разделами, а также поучиться решать олимпиадные задачи. На последнем курсе большое внимание уделяется подготовке к сдаче школьных выпускных и вступительных экзаменов в вузы.
На отделении созданы учебно-методические комплексы, приспособленные для заочного обучения. Часть из них издана массовым тиражом.
Окончившие отделение математики получат, в зависимости от желания и способностей, либо подготовку, необходимую для выбора математики как профессии, либо математическую базу для успешного усвоения вузовского курса математики, лежащего в основе профессиональной подготовки по другим специальностям: ведь сейчас математика служит мощным инструментом исследований во многих отраслях человеческой деятельности.
Обучение может длиться от одного до 4 лет, в зависимости от класса. Можно поступить на любой курс. Для этого к сентябрю 2000 года надо иметь следующую базу: на 1-й курс — 7 классов средней школы, на 2-й курс — 8 классов, на 3-й — 9 классов, на 4-й — 10. При этом поступившим на 2-й и 3-й курсы будет предложена часть заданий за предыдущие курсы. Для поступивших на 4-й курс обучение проводится по специальной интенсивной программе с упором на подготовку в вуз.
Для поступления надо решить хотя бы часть задач помещенной ниже вступительной работы (около номера каждой задачи в скобках указано, учащимся каких классов она предназначена; впрочем, можно, конечно, решать и задачи для более старших классов). На обложке напишите, на какой курс вы хотите поступить.
Группы «Коллективный ученик» (на все курсы по любой программе) принимаются без вступительной работы.
Задачи
1. (7 — 10). Длину кирпича увеличили на 20 %, ширину уменьшили на 25 %. Что надо сделать с высотой кирпича — уменьшить или увеличить и на сколько процентов, — чтобы его объем: а) уменьшился; б) увеличился; в) не изменился?
2. (7 — 10). На линейке отмечены три деления: 0, 33 и 47. Как отложить с ее помощью отрезок длиной 1?
3. (7 — 10). Три друга купили вместе один мяч стоимостью 60 руб. Каждый внес не больше, чем двое других вместе. Сколько денег дал каждый?
4. (8 — 10). Пусть ВМ — биссектриса треугольника ABC, причем ВМ = АВ. На продолжении биссектрисы за точку М выбрана такая точка К, что сумма углов ВАК и ВАМ равна 180°. Верно ли, что ВК = ВС?
5. (7 — 10). Разложите выражение (у + z)(z + х)(х + у) + хуz на два множителя.
6. (7 — 10). Пусть Е — точка пересечения диагоналей четырехугольника ABCD, причем АВ — СЕ, BE — AD, углы AED и BAD равны. Что больше: ВС или AD?
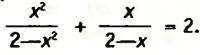
7. (8 — 10). Решите уравнение:

8. (9 — 10). Пусть I — центр окружности, вписанной в прямоугольный треугольник ABC, R и r — радиусы окружностей, описанных около треугольников CIA и CIB соответственно. Найдите гипотенузу АВ.
9. а) (9 — 10). Найдите все тройки неотрицательных чисел (х; у; z), удовлетворяющие системе уравнений:

б) (10). Найдите все тройки чисел (х; у; z), принадлежащие отрезку [0; π/2], для которых:

10. (7 — 10). Пусть один из углов треугольника равен 120°. Верно ли, что треугольник, образованный основаниями его биссектрис прямоугольный?
11. (7 — 10). Представьте число 96 в виде суммы как можно большего количества попарно различных простых чисел. (Напомним, что простым называется натуральное число, большее 1 и не имеющее делителей, отличных от 1 и самого этого числа.)
12. (9 — 10). а) Известно, что значения квадратного трехчлена
ах2 + 2Ьх + с
отрицательны при всех значениях х. Докажите, что значения трехчлена
а2х2 + 2b2x + с2
при всех значениях х положительны.
b) Известно, что при всех целых значениях х квадратный трехчлен
х2 + рх + q
где р и q — целые числа, положителен. Имеет ли он корни?
ОТДЕЛЕНИЕ ФИЗИКИ
Отделение работает 8 лет. За это время создан и прошел проверку оригинальный двухгодичный курс заочного обучения, ведется работа по дополнению его до трехгодичного.
Основное внимание уделяется решению физических задач. В пособиях излагаются методы, пригодные как для стандартных, так и для более сложных ситуаций. Акценты делаются как на выяснение физического смысла тех или иных явлений, так и на техническую, вычислительную сторону, на использование математического аппарата и на качественное истолкование полученных результатов.
В программе — все основные разделы школьного курса, а также темы, мало или совсем не изучаемые в школе. Изложение максимально приближено к современным взглядам и достижениям физической науки.
Обучение двухгодичное.
Поступающие на двухгодичный поток (на базе 9 классов средней школы) должны решить задачи 1 — 5 контрольной работы; чтобы быть зачисленным на одногодичный поток (на базе 10 классов) — задачи 4 — 8; желающие за один год пройти всю двухгодичную программу (на базе 10 классов) решают все задачи и пишут дополнительно к сведениям о себе «10+11» на обложке тетради с решениями.
Группы «Коллективный ученик» принимаются без вступительной работы.
Задачи
1. Мячик подпрыгивает в вагоне на одном месте, абсолютно упруго ударяясь о пол через промежутки времени t = 2 с. Вагон движется равномерно и прямолинейно со скоростью v = 4 м/с. По какой траектории движется мячик относительно земли? Найдите перемещение мячика относительно земли в моменты времени t1 = 2,5 с и t2 = 3 с, если в начальный момент времени мячик находился в самом верхнем положении.
2. Два тела, связанные нитью, переброшенной через блок, приходят в движение из начального положения, показанного на рисунке.

Горизонтальная поверхность, на которой лежит одно из тел, гладкая, за исключением крайнего участка длиной 2L, на котором коэффициент трения тела о поверхность равен μ. Известны величина L и соотношение m2 = m1 Постройте графики зависимостей ускорения тел от пройденного ими пути а(l) и (качественно) от времени a(t). Нить и блок идеальные.
3. Три тела одной и той же массы лежат в гладком горизонтальном желобе на некотором расстоянии друг от друга. Тело 1 получает скорость v в направлении лежащего посередине тела 2. Последующие соударения как тел 1 и 2, так и 2 и 3, могут быть любыми: от абсолютно упругих до абсолютно неупругих. Выясните, какими должны быть эти соударения, чтобы тело 3 получило максимальную скорость.
4. Шарик находится между двумя плоскостями, составляющими угол α = 60° друг с другом. Одна из плоскостей расположена горизонтально и является абсолютно шероховатой, т.е. шарик по ней не проскальзывает. Каким должен быть коэффициент трения шарика о другую плоскость, чтобы он не двигался при попытках уменьшить угол между плоскостями?