Юный техник, 2000 № 01 - Страница 20
Кроме занятий по этим программам, ученикам всех отделений ЗФТШ предлагается участвовать в пробных вступительных экзаменах в МФТИ, которые проводятся в марте, в очных и заочных олимпиадах МФТИ и его факультетов, конкурсах и научно-технических конференциях.
По окончании учебного года учащиеся, успешно выполнившие программу ЗФТШ по выбранной форме обучения, переводятся в следующий класс, а выпускники (11-й кл.) получают Свидетельство об окончании с итоговыми оценками по физике и математике, которое учитывается на собеседовании при поступлении в МФТИ.
Вне конкурса (без выполнения вступительного задания) в ЗФТШ принимаются победители областных, краевых, республиканских, зональных и всероссийских олимпиад по физике и математике. Для зачисления необходимо заполнить анкету вступительного задания (без таблицы оценок) и подтвердить победу в олимпиаде копией диплома.
Вступительное задание по физике и математике ученик выполняет самостоятельно. Работу сделайте на русском языке и аккуратно перепишите в одну школьную тетрадь. Порядок задач сохраняйте тот же, что и в задании. Тетрадь перешлите в большом конверте простой бандеролью (только не сворачивайте в трубку). Вместе с решением обязательно вышлите справку из школы, в которой учитесь, с указанием класса. Справку наклейте на внутреннюю сторону обложки тетради.
На лицевую сторону обложки наклейте лист бумаги, четко заполненный по образцу:

1. Область Самарская
2. Фамилия, имя, отчество Лукачев Олег Станиславович
3. Класс, в котором учитесь девятый
4. Номер школы № 32
5. Вид школы (обычная, лицей, гимназия, с углубленным изучением предмета и т. п.) физико-технический лицей
6. Подробный домашний адрес (с указанием индекса и телефона) 445030, г. Тольятти, ул. Академическая, д.20, кор. 1, кв. 53
7. Место работы и должность родителей:
отецинженер, АО АвтоВАЗ
мать врач, поликлиника N® 1
8. Адрес школы и телефон 445037, г. Тольятти, ул. Фрунзе, д.4
9. Фамилия, имя, отчество преподавателей:
по физике Сапогин Сергей Александрович
по математике Решетников Андрей Николаевич
10. Каким образом к Вам попала эта афиша?
В ЗФТШ ежегодно приходит более 6 тысяч вступительных работ. Пожалуйста, обратите внимание на правильность заполнения анкеты! Пишите аккуратно, лучше печатными буквами.
ВНИМАНИЕ! Для получения ответа на вступительное задание и для отправки вам первого задания обязательно вложите в тетрадь два бандерольных конверта размером 160x230 с наклеенными марками на сумму 1 руб. 50 коп. на каждый конверт. На конвертах напишите свой домашний адрес.
Срок отправления решения — не позднее 1 марта 2000 года. Вступительные работы обратно не высылаются. Решение приемной комиссии будет сообщено не позднее 1 августа 2000 года.
Тетрадь с выполненными заданиями (по физике и математике) высылайте по адресу: 141700, г. Долгопрудный Московской области. Институтский пер., 9, МФТИ, ЗФТШ.
Для учащихся Украины работает Киевский филиал ЗФТШ при МФТИ. Желающим поступить следует высылать работы по адресу: 252680, г. Киев, пр. Вернадского, д. 36, Институт металлофизики. Киевский филиал ЗФТШ при МФТИ. Телефон: (044) 444-95-24.
Для учащихся из стран ближнего зарубежья возможно платное обучение на заочном и очно-заочном отделениях ЗФТШ. Условия обучения для прошедших конкурсный прием будут сообщены дополнительно.
Ниже приводятся вступительные задания по физике и математике. В задании по физике: задачи 1–5 предназначены для учащихся седьмых классов, 3–8 для восьмых классов, 6 — 11 для девятых классов, 10–16 для десятых классов. В задании по математике: задачи 1–5 для учащихся седьмых классов, 2–8 для восьмых классов, 5 — 11 для девятых классов, 8 — 14 для десятых классов. Номера классов указаны на текущий 1999–2000 учебный год.
1. Дома Винни-Пуха и Пятачка находятся на расстоянии 1 км друг от друга. Однажды они одновременно вышли из своих домов и каждый пошел в каком-то направлении по прямой. Винни-Пух проходил 3 км в час, а Пятачок — 4 км в час. Через некоторое время они встретились. Сколько времени могло продолжаться их путешествие? Укажите наибольшее и наименьшее время.
2. Внутри острого угла отмечена точка А. Найдите на сторонах угла точки Б и С так, чтобы периметр треугольника ABC был наименьшим.
3. Имеются три сосуда емкостей 3 л, 3 л и 7 л. Можно ли, пользуясь этими сосудами, налить в большой сосуд ровно 5 л воды?
4. Найти все пятизначные числа вида
2m57n = 2х104 + mх103 + 5х102 + 7х10 + n (где m и n тип — цифры),
которые делятся на 15.
5. На плоскости даны три прямые а, b и с, не проходящие через одну точку. Построить на прямых а и Ь точки А и В так, чтобы отрезок АВ был перпендикулярен прямой с и делился этой прямой пополам.
6. Числа х, у, z последовательные члены арифметической прогрессии, их сумма равна 21. Числа х — 1, у + 1, z + 21 являются последовательными членами некоторой геометрической прогрессии. Найти числа х, у, z.
7. Решить уравнение
8. В корзине лежало не более 70 грибов. После разбора оказалось, что 52 % из них — белые. Если отложить три самых маленьких гриба, то среди оставшихся будет ровно половина белых. Сколько грибов было в корзине?
9. Острый угол ABC ромба ABCD равен 60°. Окружность проходит через точку пересечения диагоналей ромба, касается прямой АВ в точке В и пересекает сторону CD в точке С. Определить, в каком отношении точка Е делит отрезок CD.
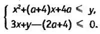
10. Множество А состоит из всех точек плоскости, координаты (х; у) которых удовлетворяют системе неравенств

Определить, при каких значениях параметра а множество А содержит отрезок [—2; —1] оси Ох.
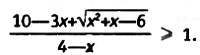
11. Решить неравенство

12. Точки К и L являются серединами боковых сторон АВ и ВС равнобедренного треугольника ABC. Точка М расположена на медиане AL так, что AM: ML = 13:12. Окружность с центром в точке М касается прямой АС и пересекает прямую KL в точках Р и Q. Найти периметр треугольника ABC, если KL = 10, PQ = 4.
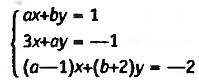
13. Решить систему уравнений

14. На координатной плоскости рассматривается фигура Ф, состоящая из всех точек, координаты (а; Ь) которых таковы, что система уравнений

имеет решение.
Изобразить фигуру Ф и составить уравнения всех прямых, каждая из которых проходит через точку (4; 3) и имеет с фигурой Ф единственную общую точку.
1. Автомобиль первую треть пути ехал со скоростью V1 = 30 км/ч, оставшуюся часть пути он ехал со скоростью в два раза большей средней скорости на всем пути. Найти скорость автомобиля на второй части пути.
2. Труба массой m = 100 кг лежит на земле. Какую минимальную силу F надо приложить к концу трубы, чтобы его приподнять?