Вселенная погибнет от холода. Больцман. Термодинамика и энтропия. - Страница 31
Последующее развитие квантовой механики нанесло последний удар по энергетике и окончательно закрепило атомные идеи Больцмана. В течение XX века было выяснено, что атомы не только бесспорно существуют, но они также состоят из других, еще более элементарных частиц. Эти новые открытия противоречили первоначальному атомизму Демокрита, но не атомизму Больцмана и Максвелла, ученые ограничивались утверждением, что материя состоит из атомов, но ничего не говорили об их неделимости.
Квантовая механика также послужила тому, чтобы придать более прочные основания вероятностной теории Больцмана. Как было показано в предыдущей главе, он опередил свое время, пользуясь дискретизацией энергии при расчете числа возможных микроскопических состояний для некоего макроскопического состояния. Эта уловка помогла ему посчитать состояния, не сражаясь с бесконечными величинами, а еще избежать эргодической гипотезы, согласно которой частица должна пройти через достаточное время через все возможные значения энергии.
Квантовая механика прояснила, что уловка Больцмана не была уловкой, что речь идет о важном свойстве природы. Энергия атомов дискретна и не может принимать любое значение; то же самое справедливо для электромагнитного излучения черного тела, как выяснил Планк, или для колебаний твердого тела. Эту дискретизацию назвали "квантизацией", словом, которое происходит от названия самой важной теории XX века, наряду с теорией относительности Эйнштейна.
Связь между квантовой механикой и вероятностью идеально показана в эксперименте с двойной щелью. Он состоит из источника частиц, обычно электронов, первого экрана с двумя маленькими щелями и второго экрана, о который ударяются электроны после прохода через одну из щелей, как показано на рисунке. Замечено, что если испускать электроны по одному, невозможно предсказать, где произойдет удар; но при накоплении тысяч ударов наблюдаемая модель — такая же, как и та, что выдают две волны, взаимодействующие между собой. Однако вначале электроны не могут взаимодействовать друг с другом, поскольку они испускаются по одному. Но тогда откуда получается модель интерференции? Квантовая механика отвечает, что интерферирует волновая функция электрона, в которой содержится вся информация о вероятности частицы находиться в том или ином состоянии. Только при наблюдении, когда электрон ударяется об экран, эта волновая функция "рушится" и дает определенное значение. То есть в квантовой механике взаимодействия между частицами описаны их волновой функцией, которая является всего лишь выражением вероятности того, что они будут находиться в том или ином состоянии; точнее, это ее квадратный корень. Итак, вероятность оказывается основополагающим понятием теории, поскольку именно она вступает во взаимодействие и интерферирует.

Другим аспектом, оправдывающим методы Больцмана, было использование вероятностей. Это рассматривалось Больцманом как способ работы с огромными множествами частиц, которые по-другому никак нельзя представить математически. С приходом квантовой механики вероятность стала играть главную роль, перейдя из царства больших скоплений атомов в царство отдельных частиц. Было обнаружено, что поведение материи в небольшом масштабе непредсказуемо, точнее говоря, его можно предсказать только в статистическом виде. Кроме того, эта произвольность не связана с отсутствием информации или недостатком используемого оборудования, это характерное свойство материи.
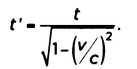
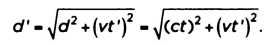
Специальную теорию относительности Эйнштейна можно свести к двум постулатам: во-первых, два наблюдателя, которые движутся друг относительно друга на постоянной и равномерной скорости, будут наблюдать идентичные законы физики, а во-вторых, скорость света постоянна и равна с для любого наблюдателя. Требование, чтобы скорость света была постоянной, обязывает полностью переформулировать традиционное видение пространства и времени. Простой способ убедиться в этом — провести мысленный эксперимент: устанавливаются два параллельных зеркала, и фотон (частица света) "путешествует" между ними обоими, как показано на рисунке 1. Для неподвижно стоящего наблюдателя, если оба зеркала разделены расстоянием d, время t, за которое фотон преодолеет расстояние между ними, равно t = d/c, то есть расстоянию, разделенному на скорость света. Однако теперь предположим, что наблюдатель перемещается относительно зеркал на некоторой скорости v в левую сторону. Тогда он будет наблюдать, что зеркала движутся вправо относительно него, как показано на рисунке 2. Расстояние, пройденное зеркалом за время t', замеренное наблюдателем в движении, равно vt'. Но теперь фотон не проходит расстояние d, он проходит по гипотенузе треугольника со сторонами vt' и d. Это расстояние будет равно:
Воспользовавшись отношением d' = ct' и возведя обе стороны в квадрат, получаем:
(ct)2 = (ct)2 + (vt')2.
Если переписать уравнение и выразить t', в итоге получается формула временного растяжения:

Итак, мы видим, что время, обозреваемое вторым наблюдателем, больше, чем время, обозреваемое первым, несмотря на то что речь идет в точности об одном и том же событии. Подобные рассуждения приводят к выводу, что длины также не остаются постоянными, а изменяются в зависимости от скорости наблюдателя. Эффекты относительности начинают значительно ощущаться при скоростях, близких к скорости света, в то время как их практически не существует в повседневной обстановке.

РИС. 1

РИС . 2
Статистическая физика Больцмана была идеально определена в свете новой теории: для множества молекул в сосуде существует конечное число сочетаний для их значений энергии и положений, заданное ограничениями, которые накладывает квантовая механика. Результат столкновений действительно произволен, так что использование вероятности полностью оправдано. На самом деле введение квантовой механики также решало другие проблемы, такие как эргодическая гипотеза: поскольку существует конечное число возможных значений энергии, становится ясно, что рано или поздно молекула пройдет через них все.
Кажется, что этот сценарий означает полную победу Больцмана над Махом, но во второй половине XX века вскрылись некие неожиданности, из-за которых чаша весов, по крайней мере слегка, наклонилась в сторону последнего.
Изменение пришло из-за попытки "примирить" квантовую механику и специальную теорию относительности Эйнштейна. В последней пространство и время рассматриваются как часть одного и того же корпуса, называемого "пространство-время", в котором происходят все события во Вселенной. Одним из самых вызывающих прогнозов теории Эйнштейна было то, что один и тот же факт мог проявляться по-разному с позиции двух наблюдателей, которые будут двигаться с разной скоростью. Например, человек, который поедет на поезде, измерит длину своего вагона и получит в результате сто метров, в то время как человек, который поедет со скоростью, близкой к скорости света, получит меньший результат. Это логическое противоречие оказалось верным и было подтверждено экспериментально во многих случаях; на самом деле работа спутников GPS во многом построена на нем.