Волшебный двурог - Страница 24

Илюша и Радикс продолжали свой путь в самом приятном расположении духа. Однако через несколько времени Илюша задумчиво промолвил:
— Эх! Я забыл спросить у этого человечка еще одну штуку.
— Что именно? — вопросил Радикс.
— 97 —
— Я никак не пойму: какое отношение эти комплексные человечки могут иметь к такой задаче, в которой есть только вещественные, да еще притом целые числа?
Тут Илюше показалось, что на него кто-то смотрит сзади.
Он обернулся и к своему неописуемому удовольствию увидел, что невдалеке позади, под синей стеной, в креслице сидит Мнимий Радиксович собственной персоной.
— Могу, — сказал любезный человечек, — вам рассказать о некоторых наших хитроумных проделках. Это вам кое-что пояснит. Вы, конечно, помните, что разность двух квадратов распадается на два множителя — на сумму и разность первых степеней.
— Ну еще бы, — отвечал Илюша.
— А мы, — продолжал словоохотливый человечек, — умеем делать то, чего вещественные числа делать не умеют: мы можем разложить на множители сумму квадратов. Это очень просто. Смотрите.
И на стене около кресла сейчас же появилось следующее:
x2 + у2 = (х + iy) (x — iy).
— Буква i, как всегда, обозначает √-1. Перемножьте, и вы убедитесь, что это равенство справедливо. Кстати сказать, формулы для пифагоровых троек я мог бы получить тоже не без помощи этого выражения, а именно вот как. Если нам нужно, чтобы
х2 + у2 = z2,
то положим, что оба множителя, то есть (x + iy), а также (х- iy), суть квадраты каких-то чисел, разумеется тоже комплексных, так что, например:
x + iy=(p + iq) 2 = p2 — q2 + 2pqi.
Теперь я сравниваю левую часть с правой и заключаю, что
х = p2 — q2; y = 2pq,
откуда уже сразу следует, что
z = р2 + q2.
Это, правда, не совсем строго, хотя бы потому, что из a · b = z2 не следует, что а и b непременно квадраты, но формулы получаются как раз те, какие нам нужны. Обратите, кстати, вни-
— 98 —
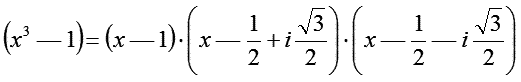
мание еще на то, что одно равенство комплексных чисел заменяет собой два равенства обычных чисел. Это тоже ведь преимущество немалое! Теперь позвольте вам указать еще и на то, что если мы возьмем не разность квадратов, а разность кубов (а ведь куб-то как раз и является первой из тех степеней, о которых идет речь в Большой теореме Ферма!), то вещественные числа умеют разлагать эту разность только на два множителя, то есть на разность первой степени и неполный квадрат суммы. Не так ли?
Илюша утвердительно кивнул. И тотчас на стене появилось:
(х3 — 1) = (x — 1) (х2 + х + 1).
— Ну, а мы можем разложить вам эту разность не на два, а на три множителя, и получится вот что…

— Вы легко можете убедиться в справедливости этого равенства, либо просто перемножив эти три скобки, либо решив квадратное уравнение, которое представляет собой ваш неполный квадрат суммы.
х2 + х + 1 = 0.
— Ну вот, — продолжал Мнимий, — отсюда вы легко можете видеть, что мы вполне можем иметь прямое отношение к задачам, в которых есть только вещественные числа. С этим несложным, но очень полезным разложением мы еще встретимся в дальнейшем, когда займемся вопросами довольно хитрыми (но при этом замечательно интересными) через каких-нибудь двенадцать Схолий. Причем мы способны делать то, о чем вещественные числа и понятия не имеют. А так как наша арифметика очень похожа на арифметику вещественных чисел, то вы можете прийти к нам, а потом вернуться к вещественным числам, и никаких недоразумений у вас не получится. А мы будем вам с удовольствием помогать теми своими способностями, которых у вещественных чисел нет. Мало того, мы еще вам что-нибудь подарим на память, чего вы даже у нас не просили. Вот, например, разложим разность кубов на три множителя, а если вы внимательно присмотритесь к этому разложению, то увидите, что наше решение имеет непосредственное отношение к геометрической задаче о том, как вписать в окружность равносторонний треугольник. И это потому, что мы друзья с синусами и косинусами, а коэффициенты, ко-
— 99 —
торые мы вам вывели, равны: один — синусу тридцати градусов, а другой — косинусу тридцати градусов.
Илюша не мог сразу сообразить, при чем тут равносторонний треугольник, но, вспомнив, что синус 30° действительно равен одному из приведенных Мнимием Радиксовичем коэффициентов (то есть половине), не решился спрашивать и дал себе слово, что на досуге возьмет геометрию и сам все разберет.
— Теперь, — сказал Илюша, — я, кажется, начинаю понимать, как вы помогаете. Это замечательно!
— Милый юноша, — отвечал ему Мнимий Радиксович, — все, что вы здесь увидите, все вам будет помогать. Только надо научиться пользоваться нашей помощью. Это кажется трудным, но ведь вы когда-то и читать не умели, однако научились! Так и здесь то же самое. А если вы меня спросите теперь, почему мы с такой охотой беремся помогать вам в чужой задаче, то я вам отвечу, что, во-первых, всякому охота показать, на что он способен, ну, а потом, знаете, это все-таки довольно забавно — натянуть нос этим неповоротливым вещественным числам, чтобы они не важничали, потому что они народ ужасно спесивый, но совершенно не могут быть такими юркими, догадливыми и любезными, как мы! Однако, не всякий сразу с нами освоится. Вот, например, число шесть — поговорите о нем с вещественными числами, и они вам скажут, что это просто «дважды три». Справедливо, разумеется! Но с нашей точки зрения его можно еще немного иначе написать:
2 · 3 = 6 = (1 + √-5)(1 + √-5).
Попробуйте проверьте! Надо, видите ли, еще иметь в виду, что вопросы делимости могут касаться даже и алгебраических выражений, а ведь это очень важно, ибо алгебра-то и учит нас решать вопросы в общем виде. Вот задачка: дано выражение
m3 + 6m2 + 11m + 6.
Спрашивается, делится оно на три или нет? Что вы на это скажете?
— Не знаю, — ответил смутившийся Илюша, — может быть, попробовать разложить на множители?

— 100 —
И мальчик получил:
(m + 2) (m + 3) (m + 4).
— А теперь заменим (m + 2) на n. И тогда?
Илюша написал, а затем ответил нерешительно:
— Три натуральных числа подряд. Произведение! Коли так… то должно делиться на три! Вот странная задачка! Сразу не разберешься. А ведь мне нужно еще узнать про Дразнилку, — обратился Илюша к Радиксу, ибо Мнимий уже исчез. — Ты расскажешь?

— Отчего же! — ответил Радикс, беря со стола три картоночки, каждая величиной с почтовую карточку, и протягивая их Илюше. — Мы с тобой сначала рассмотрим самый простенький случай — тройного Дразнилку, который у тебя назывался «икс». Помнишь?
— Помню! — сказал Илюша, разглядывая карточки. На каждой стояла цифра: 1, 2 и 3.
— Так вот, — продолжал Радикс, — положи их на стол в обычном порядке. Запиши мелом на стене эту первую комбинацию, исходный порядок, то есть 1-2-3. А теперь перекладывай их так: ту, которая стоит спереди, клади в самый конец и повторяй дальше тем же порядком. Это круговая, или циклическая, перестановка.