Волшебный двурог - Страница 123

Вдали пока-
— 481 —
чивались тени слонов и осликов, а внизу у стола расположилось множество карликов из прогрессии. На полу была большая куча песку, а рядом с ней задумчивый философ, который пытался ее пересчитать по одной песчинке. Он весь был обмотан лентой с пропастью пулей. Тут же, разумеется, были Коинкос и Асимптотос, а сзади стоял их превосходный сыр и корзина с разными геометрическими плодами. От всего этого увиденного у Илюши в глазах зарябило. Он опустил глаза и тут же заметил, что идет по коврику, где выткан необыкновенно сложный лабиринт, в центре которого сияет лилия, напоминающая своей формой нижнюю половину псевдосферы.
Когда они подошли ближе, за столом возникло множество Великих Змиев, которые медленно покачивались на своих хвостах. Илюша глянул на них не без страха, однако Мнимий дружески подмигнул ему, а кругом на стенах вдруг ярко вспыхнули Златоиссеченные Звезды, стало сразу светлее.
— Подойдите! — глухо произнес один из Великих Змиев.
Радикс и Илюша приблизились к столу. Все участники этого удивительного заседания забыли о своих занятиях и начали смотреть на наших друзей до того внимательно, что Илюша вдруг подумал, что если его внезапно спросят: «Сколько будет пятью пять?», так он нипочем не ответит. Он растерянно посмотрел в сторону, но быстро отвернулся, ибо сбоку на парте торчало унылое чучело Фиолета Чернилыча Зазубрилкпна, около которого деловито сновал большой паук и плел свою многоугольную паутину, а сзади стояла большая доска, на которой было написано мелом изречение римлянина Цицерона: «Еггаге humanum est», что означает: «Человеку свойственно ошибаться».
— Радикс! — произнес снова Великий Змий. — Ты привел сюда человечье дитя?
— Я, — тихо ответил Радикс. — Такова моя обязанность с давних пор. Я веду их, и некоторые идут сразу, а другие упираются. Но этот мальчик не упирался. Я провел его через Великие Испытания, но он не испугался, а я немножко помогал ему, но и это тоже моя обязанность. И я рад этому, потому что он не отвергал моей помощи и не пренебрегал ею, а старался. Он летал по касательной и блуждал по лабиринтам, пил чудный напиток из Кеплерова фонтана и вкушал конические сыры.
— Хорошо, — отвечал Совершенный Змий, отец змиев. — Мы видели это и знаем это. Я спрошу теперь моих братьев: достойно ли это человеческое дитя нашего высокого и великого привета?
Вдруг откуда-то вылетел Ворон, громко захлопал крыльями, сел на краешек стола и провозгласил:
— 482 —

— Ты сам пришел в нашу волшебную Страну Сказки, — ну и получай наш подарок!
Илюша глядел во все глаза на Ворона, но тут что-то заиграло и заблистало ярким светом, и он увидел, как перед ним постепенно возник сияющий всеми красками радуги удивительный чертеж..
Все замолкло в почтительном молчании. А затем все хором тихо сказали:
А Радикс наклонился немного к Илюше и сказал:
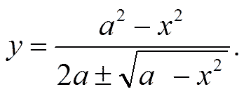
— Ради тебя появился сам ВОЛШЕБНЫЙ ДВУРОГ. Запомни его уравнение:

— 483 —

Это он сам!
Затем все карлики из прогрессии встали рядами и запели хором:

И рядом завертелись карусели, поплыли кругом коньки и лодки, запели гармони, и ловкие парнишки пошли раскачивать качели под самые облака. А карлики все пели:
— 484 —
И стало еще светлей, и еще больше всякого потешного огня рассыпалось повсюду. А карлики пели:

Немедленно вперед выскочил Уникурсал Уникурсалыч, Кандидат Тупиковых Наук, и раскланялся, прижимая руки к груди. Все захохотали, потому что всем было известно, что он был Первый Враль Волшебного Мира. А сбоку показался Кот в Сапогах, подмигнул Илюше и вытащил из своей охотничьей сумки малюсенького льва.
И тут так грохнуло, что Илюша даже подпрыгнул. В это время дивный чертеж ВОЛШЕБНОГО ДВУРОГА блеснул Илюше прямо в глаза, так что он должен был зажмуриться, а Великий Змии наклонился и сказал ему укоризненно и настойчиво:
— Илюша!.. Илюша!..
Илюша хотел было спросить, почему чертеж так светит, что прямо смотреть невозможно, но язык у него почему-то не хотел слушаться… Он открыл глаза — и снова перед ним что-то мелькнуло яркое и ослепительное. А кто-то опять сказал очень серьезно:
— Илюша!..
Снова что-то сверкнуло.
—485—
Наконец Илюша сделал над собой почти невероятное усилие и открыл глаза… Затем он вытаращил их и старательно протер. Много уже он видел удивительных вещей, но это зрелище было до того поразительно и неожиданно, что он совсем растерялся.
Перед ним стояла мама в своей голубой кофточке, а яркие лучи только что поднявшегося солнца падали на стол.
— Илюша! — сказала мама. — Ну что это такое? Ты так, значит, всю ночь и просидел здесь за столом? И заснул над своим задачником!.. Ну, иди умывайся! Ведь уже восьмой час. Тебе скоро в школу идти.

— 486 —
Эпилог

Когда эта книжка была написана, автор сидел и раздумывал, какую бы сейчас поставить пластинку — Моцарта или Прокофьева?.. Он считал, что потрудился как следует для своих юных читателей, а теперь может немного и отдохнуть.
Но в эту минуту дверь в комнату отворилась настежь, дунул сквозняк — и все его бумажки поднялись в воздух с явным намерением улететь в окно. Вскочив, автор кое-как усмирил их и немедленно сообразил, что это явилась Васька, потому что когда появляется Васька (это дочка автора, и зовут ее Василисой), то обязательно поднимается страшный сквозняк и все летит куда попало.
— Папа, — сказала, запыхавшись, Васька, — я все прочла!
— Приятно слышать, — отвечал автор. — Теперь остается только выяснить, что именно ты прочла, и тогда все будет в порядке.
— Как — что? — сказала Васька, сделав совершенно круглые глаза. — Я прочла твоего «ВОЛШЕБНОГО ДВУРОГА»!
— Это похвально, — отвечал скромный автор.
— Ты мне скажи: действительно есть такой аппарат — куммерскоп?
— Нет, аппарата такого нет. Есть работа математика Куммера о Великой Теореме Ферма.