Волшебный двурог - Страница 113
где в правой части неполный квадрат суммы. Решая квадратное уравнение, получаем:

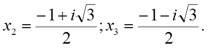
— Правильно… — заметил Мнимий. — Но давайте проделаем еще один поучительный опыт: возведем наш только что полученный икс-второй в квадрат:
— И получился, — сказал Илья, — не кто иной, как сам икс-третий! Ну, а если его еще и в куб?.. Правильно! Единица получается. Все в порядке.
— Так вот, — продолжал Мнимий, — назовем один из корней из единицы, то есть наш икс-второй, греческой буквой альфа. Тогда икс-третий, как вы только что выяснили, будет а2. А теперь я должен еще отметить, что среди всех корней из единицы (для квадратного корня два, для кубического три, и так далее, то есть их число совпадает с числом единиц в показателе корня) имеются такие корни, которые обладают весьма интересным и полезным свойством. Если мы один из таких корней будем возводить последовательно в возрастаю-
— 447 —
щие степени, начиная со второй, то получим все остальные корни данной совокупности. Например, второй и третий корни кубические из единицы (первый, конечно, единица) обладают этим свойством, так что
а22 = а3; а32 = а2; а23 = а1 = 1.
Если же взять для другого примера все корни шестой степени из единицы, от а1 до а6, то из них только два (а именно а1 и а5) обладают этим свойством и называются первообразными корнями. Например, из корней четвертой степени первообразных только два (a2 и а4), тогда как для пятой степени все корни, не считая первого, равного 1, будут первообразными. Если вписать в единичный круг правильный многоугольник, одна вершина которого лежит в точке с координатами 1, 0), то можно заметить, что только те его вершины будут давать первообразные корни, которые принадлежат именно этому многоугольнику, но отнюдь не какому-либо другому — с меньшим числом сторон и одной вершиной к точке с координатами A, 0). Прошу покорнейше запомнить это правило. Оно нетрудное. А теперь мы можем снова перейти и к формуле Кардана. Если у нас есть уравнение кубическое:
y3 + py + q = 0,
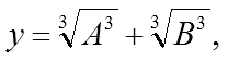
а формулу Кардана напишем в таком сокращенном виде:

то корни нашего уравнения будут таковы:
y1 = A + B;
y2 = αА + α2В;
y3 = α2А + αВ.
— Все-таки, — вымолвил опасливо Илюша, — это получается не так-то просто… С квадратным одна минута, а тут…
— Есть и более сложные задачи, а у сложных задач и способы решения довольно хитрые. Да это еще не все! А дальше способен слушать? А то закроем заседание нашей комиссии — и по домам!
— Нет, нет, — взмолился Илюша, — мне хочется все-таки до конца дослушать!
— «До конца»! — повторил ворчливо Радикс. — Ты дума-
— 448 —
ешь, у этой штуки есть конец? Что касается меня, то я в этом отнюдь не уверен. Так еще немножко проползти можно…
— Поползем! — ответил Илюша, вздохнув потихонечку.
— Воля твоя, — отвечал Радикс, — только потом чтобы не жаловаться, что, дескать, замучили!
— Не буду жаловаться! — храбро заявил Илья.
— Тогда слушай дальше, — продолжал Радикс.
— Слушаю!..
— В конце восемнадцатого века замечательный французский математик Лагранж пытался разобраться во всех способах решения уравнений третьей и четвертой степеней. После того как Эйлер нашел сочетания значений двух кубических корней в формуле Кардана, чтобы получить значения всех трех искомых корней, изучение алгебры комплексных чисел сильно двинулось вперед. Лагранж обратил внимание на то, что любой из двух кубических радикалов в формуле Кардана можно выразить через три корня уравнения при помощи следующей формулы (в зависимости от того, какой корень считается первым, какой — вторым, какой — третьим):
⅓(x1 + αx2 + α2x3)
— Совсем я запутался! — с огорчением пробормотал Илья. — Чем эта формула поможет? Откуда взять корни, когда я еще не решил уравнения? Значит, надо сперва воспользоваться формулой Кардана. Какой смысл в этой формуле?..
— Видите ли, — вмешался Мнимий, — вы правы в том отношении, что в деле разыскания корней эта формула помочь не может. Но чтобы представить себе, как связаны корни кубического уравнения с его коэффициентами, она в высшей степени полезна.
— Опять не понимаю! — снова огорчился мальчик. — Ведь мы же знаем, какие для Кардановой формулы делали два раза подстановки! Разве из этого нельзя вывести, какие получаются соотношения между корнями и коэффициентами?
— Того, что мы знаем о наших подстановках, еще мало. Потому что те подстановки, которые годятся для кубического уравнения, не подходят для уравнения четвертой степени, а следовательно, это способ не общий. Кроме того, пока самый способ решения нельзя проверить — или, как говорится, проанализировать, — невозможно подойти и к рассмотрению всего вопроса в целом об алгебраических уравнениях. Ведь мало еще догадаться, каково решение, надо дознаться, почему оно такое, а не иное.
— Возьмем квадратное уравнение, — предложил Радикс, —
— 449 —
хорошо тебе известное. Что ты скажешь, если я предложу тебе для него такую формулу? Ты с ней согласишься?
x = 1/2[(x1 + x2) ± (x1 — x2)]
— Д-да… — сказал Илюша неуверенно. — То есть если припомнить общую формулу квадратного уравнения
(x1 + x2)(x1 — x2) = 0,
потом открыть в ней скобки
x2 — (x1 + x2)x + x1x2 = 0,
а затем применить к такому выражению всем известную формулу, для решения квадратного уравнения, то как раз и придешь к твоей формуле. И действительно, она показывает, как формула решения связана с корнями. Но ведь в квадратном уравнении все так просто!
— Боюсь, — вымолвил Мнимий, — что вас пугают эти самые альфы в формуле Лагранжа. Не так ли? А ведь мы о них недавно говорили… Вспомните-ка!
— Говорили…
— А что именно?
— Что с их помощью получаются все значения корней из комплексного числа…
— Разве? — сказал удивленный Радикс. — Как же это возможно? Мыслимое ли это дело?
Илюша посмотрел на своего друга укоризненно.
Что-то очень маленькое и беленькое вдруг упало у ног Илюши, а потом пошел целый снег из этих маленьких беленьких… Одна штучка упала Илюше прямо на руку, и он увидал, что на ладошке у него лежит крохотная беленькая альфа. А кругом так и сыплются все новые и новые маленькие беленькие альфы…
А Мнимий посмотрел на эту альфообразную метель и признался:
— А ведь в самой своей сущности я тоже альфа!
Илюша взглянул на него и сказал:
— Когда мы разбирали пример Бомбелли, я, кажется, понял, что под корнями в формуле Кардана стоят сопряженные комплексные числа… Ну вот, отсюда и альфы, чтобы получать один за другим все значения корня из комплексного числа! Теперь я как будто разобрался. Значит, Лагранж дал
— 450 —
формулу Кардана не просто в виде результата двух подстановок, а так, как она складывается из самых корней.