Волшебный двурог - Страница 112
В таком случае угол CBD будет равен одной трети угла ABC. Это надо доказать.
— Попробую, — отозвался Илюша. — Для начала найдем середину отрезка DE, поставим там точку F и соединим ее с точкой А. Значит, этот треугольник EAD прямоугольный.
— 443 —
Вокруг него можно описать окружность, рассматривая отрезок DE как диаметр. Но если точка F будет его центром, то все три отрезка, то есть FD, AF и EF, равны друг другу, как радиусы этого описанного круга, и каждый равен половине отрезка DE или отрезку АВ. Дальше: треугольник ABF, очевидно, тоже равнобедренный в силу этого последнего равенства, а значит, его углы ABF и AFD равны друг другу. Треугольник AFE, конечно, тоже равнобедренный, это ясно из тех же равенств отрезков. Но угол AFD по отношению к треугольнику AFE есть его внешний угол, и следовательно…
— Ну хватит, пожалуй!— сказал Радикс. — Я вижу, ты понял. Доказательство не такое уж хитрое. Правильно ты начал рассуждать.
— Так и есть! — согласился Мнивши. — Очень похожее решение этой задачи даст примерно тем же методом и Архимед. Ученые полагают, что именно раздумья над этим невсисом Архимеда[39] и привели Виету к открытию тригонометрического решения кубического уравнения, так что невсис оказал немалые услуги нашей науке. Виета выяснил, что задача трисекции угла, над которой так мучились в древности, тем и трудна, что сводится к кубическому уравнению.
— Хорошо! — сказал с удовольствием Илья, который был в прекрасном настроении, поскольку ему удалось перескочить через длинное доказательство насчет невсиса и трисекции. — Но мне хочется, чтобы вы еще сказали несколько слов насчет этого знаменитого «правила циркуля и линейки».
— Видишь ли, — отвечал Радикс, — один из крупнейших древнегреческих ученых, Аполлоний Пергейский, современник Архимеда, в своем сочинении о конических сечениях говорит о том, что все геометрические построения должны выполняться только с помощью циркуля и линейки. Вообще в Древней Греции этого правила, конечно, не придерживались, но ему придавали очень большое значение в эпоху возрождения наук в Европе. Этот интерес несколько ослаб, когда Виете удалось впервые обнаружить, что именно это требование означает алгебраически: в таком случае нельзя пойти дальше построения корня квадратного, то есть решения квадратного уравнения либо такой задачи, которая сводится к последовательному извлечению ряда квадратных корней. Среди средневековых работ есть одна замечательная трисекция угла, выполненная очень простыми средствами Гиясэддином ал-Каши, талантли-
— 444 —
Трисекция Гиясэддина ал-Каши.

Хорды — двойные синусы. По теореме Птолемея (если четыре вершины четырехугольника лежат на окружности, сумма произведений противоположных сторон равна произведению диагоналей), из четырехугольника AEGH, АЕ = EG = GH и EH = AG, выводим, что AG2 = АЕ2 + АЕ · АН. По теореме Евклида (произведение отрезков хорды равно произведению отрезков диаметра, проходящего через точку пересечения диаметра с хордой), так как AG = GC, получаем AG2 = BG (2R — BG), где R — радиус большого круга; затем но теореме Пифагора из треугольника ABG выводим: AG2 = 4 AE2 — (4 AE4: R2).
Приравнивая два выражения для AG, получаем: АЕ2 + AЕ · АН = 4 АЕ2 — (4 АЕ4 : R2). Полагая, что АЕ = sin а и что АН = sin За (ибо хорда АН стягивает утроенную дугу), а R = 1, получаем для любого угла выражение 3 sin а — 4 sin3 a = sin За.
Благодаря этому построению замечательные самаркандские математики в XV веке сумели вычислить синус одного градуса с восемнадцатью точными знаками после запятой.
вым математиком, одним из последних ученых исламитского мира, который трудился у знаменитого астронома Улугбека в Самарканде в пятнадцатом веке. Работы Улугбека были уничтожены реакционным духовенством, его обсерватория разрушена, а сам он был убит. Но память о работах ученых его школы осталась, и в шестнадцатом веке Мариам Челеби, внук ар-Руми, астронома, работавшего вместе с Улугбеком, обнародовал решение задачи трисекции угла. В Европе это решение узнали только в девятнадцатом веке. Это решение не дает искомого угла построением, как невсис Паппа. Но при его помощи можно получить нужное кубическое уравнение.
— 445 —
— А как потом решали кубические уравнения?
— К этому труднейшему вопросу вернулись через некоторое время. Сначала Эйлер со свойственной ему наблюдательностью заметил, что по формуле Кардана получается девять значений корней, тогда как ясно, что нужны всего три. И Эйлер показал, как надо комбинировать между собой эти значения, чтобы получить те три, которые нужны. Таким образом выяснилось, что в формуле Кардана таится еще один неожиданный секрет.
— А почему девять значений? — удивился Илюша.
— Да ведь в формуле Кардана два кубических корня, у каждого три значения, и если каждое из трех значений первого комбинировать с тремя значениями второго…
— … то и получим девять! — заключил мальчик. — А как их комбинировать?
— У вас ведь есть уравнение:
uv = — p/3
так вот мы и должны так их соединять, чтобы их произведение давало бы как раз эту величину, то есть — у. Это как раз и заметил Эйлер. Однако вскоре выяснилось, что можно действовать еще и другим способом, очень интересным…
— Как это так?
— Все это можно сделать, опираясь на важные положения, касающиеся извлечения корней из комплексных чисел. Эта операция не очень проста. Она делается при помощи так называемых корней из единицы…
— Не совсем понимаю, — перебил Илья, — запутался!..
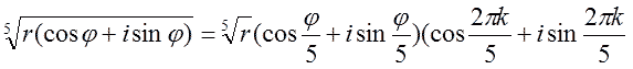
— Ничего, смелее! Допустим, что мы извлекаем из комплексного числа корень пятой степени. Переходим к тригонометрической форме комплексного числа и пишем:

где к = 0, 1, 2, 3, 4, как мы уже это выяснили ранее. Но когда мы перемножаем комплексные числа, углы, вернее, аргументы комплексных чисел складываются и ничто не мешает суммы аргументов разъединить и написать извлечение корня пятой степени в таком виде:

— 446 —
Отсюда вытекает утверждение, что все значения корня из комплексного числа можно получить, умножая одно из этих значении на разные значения корпя той же степени из единицы, то есть на вторую скобку правой части. Представляете себе?
— Кажется, теперь представляю, — осторожно признался Илья. — Только разве это так важно, написать в таком виде, а не в другом?
— В таком кропотливом деле, как это, — отвечал Мнимий, — нельзя пренебрегать ни малейшим упрощением. Так и в данном случае, то есть для куба, при решении уравнения
x3 = 1
Первый корень, конечно, равен единице, а другие два…
— Другие два, — подсказал Илюша, — получаются из квадратного уравнения, то есть из такого:
