Волшебный двурог - Страница 109
х = у + h
и подставим это в наше уравнение. Получим после небольших переделок
у3 + (3h + а) у2 + (3h2 + 2ah + b) у + h3 + ah2 + bh + с = 0.
Теперь снова постараемся обратить коэффициент второго члена (при игреке в квадрате) в нуль, то есть положим, что
(3h + a) = 0; h = — a/3,
откуда
у3 + (—3a/3 + а) у2 + (3a2/9 — 2a2/3 + b) у + h3 + ah2 + bh + с = 0.
— 432 —
или, сделав приведение:
у3 + (—a2/3 + b) у + (2a3/27 — ab/3 + с) = 0.
Теперь для сокращения письма положим:
(—a2/3 + b) = p; (2a3/27 — ab/3 + с) ] = q
и запишем окончательно результат в таком виде:
y3 + py + q = 0.
(Если q = 0, то все просто: y1 = 0, у2,3 = ±√—p)
При q ≠ 0 результат, как ты видишь, разумеется, несколько менее утешителен, чем в случае квадратного уравнения, ибо у нас не два, а три члена. Но как-никак определенное упрощение достигнуто. Как же теперь быть далее? Ясно, что нужно придумать способ, который дал бы возможность обратить выражение ру в нуль, после чего мы и получим двучленное уравнение, то есть то же самое, что было получено для квадратного. И вот как раз на этом месте болонцам пришла в голову счастливая мысль сделать еще одну подстановку: положить, что у в последнем уравнении можно представить в виде суммы:
у = u + v.
И опять-таки эти величины ими пока что совершенно произвольные. Мы только одно можем сказать, что сумма их есть корень нашего уравнения, который не равен нулю.
— А почему он не равен нулю?
— Сейчас рассмотрим! Попробуем подставить. Получаем:
(u + v)3 + р (u + v) + q = 0.
Смотрите-ка! Теперь видно, что сумма (u + v) не может быть равна нулю, потому что тогда и число q будет равно нулю, а число q, свободный член уравнения, не равно нулю. Теперь откроем скобки и кое-что сгруппируем:
(u3 + v3) + (u + v) (3uv + p) + q = 0.
Такая форма уравнения уже подает нам некоторые надежды! Может быть, нам удастся уничтожить второй член? Положить,
— 433 —
что u + v = 0, мы, как сказано, не можем, но зато спокойно можем допустить, что
3uv + р = 0;
uv = —p/3
но в таком случае наше уравнение превращается в такое:
u3 + v3 = — q.
Следовательно, мы получили два уравнения. Одно из них дает произведение новых чисел u и v, а другое их сумму. Правда, они в разных степенях, но никто не помешает возвести это произведение тоже в куб. Далее это создаст нам некоторые затруднения, но мы как-нибудь их одолеем. И вот перед нами два уравнения:
u3v3 = — p3/27; u3 + v3 = — q.
А теперь скажите, юноша, как бы вы дальше поступили с этими уравнениями? Отвечайте, куда они просятся?
— В квадратное уравнение! — вдруг выпалил почти в отчаянии Илюша. — Сумма и произведение даны, значит, это квадратное уравнение… по теореме Виеты.
— Очень хорошо! — отозвался Мнимий. — Так вот: теперь должно быть ясно, что болонцы действительно напали на очень счастливую мысль. Разумеется, им не удалось свести кубическое уравнение к линейному (то есть первой степени), как сводили квадратное, но ведь этого и ожидать было бы странно, ибо куб все-таки постарше квадрата и, конечно, поупрямей его! Но вы должны еще иметь в виду, что открытие этого решения кубического уравнения в Италии шестнадцатого века было поистине важным историческим событием! Оно означало, что новая Европа вышла на новый рубеж, она уже освоила наследие древних ученых и теперь сама делает недоступные для древности открытия. Общественные условия настолько изменились, что возникла возможность для новой науки. Разумеется, ученый работает прежде всего в интересах науки. Но он может работать для ее развития только тогда, когда общество, в котором он живет, поддерживает его, другими словами, когда люди верят в необходимость его трудов. Мы уже говорили с вами, как бились древние греки с двоекубием, то есть задачей удвоить куб. И как мы увидим далее, задача трисекции угла тоже сводится к кубическому уравнению. Но так или иначе болонцы все-таки степень кубического уравнения на единицу понизили, а это облегчило задачу — квадратные уравнения мы решать умеем!
— Вавилоняне догадались, — заметил Радикс, — да и нас научили.
— 434 —
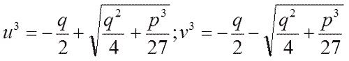
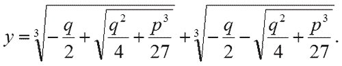
— И теперь уже мы можем составить окончательное уравнение, которое будет:
t2 + qt — p3/27 = 0
Одно значение корня этого уравнения даст u3, а другое v3. Решим это уравнение!
Илюша схватил мел и сразу написал:

— Вот-вот, — поддакнул Мнимий, — совершенно правильно. На пятерку! Но теперь, поскольку мы знаем, что у = u + v, пишите уж и самое решение.
И наш герой написал следующее:

— Ну вот, — произнес Мнимий, — и появилась эта знаменитая формула Кардана для решения кубического уравнения.
— Так, — сказал Илюша, любуясь своим произведением, — это я теперь как будто сообразил. Но при чем же тут мнимые человечки?
— А-а-а, — важно протянул Мнимий, — вот вас что интересует! Ну что же? Мы постараемся приподнять завесу этой трудной научной тайны.
— Жаль, что в науке есть еще тайны!
— Н-да… — протяпул Мнимий. — В общем, конечно, досадно. Но ведь эти тайны исходят не от науки, они, скорее, принадлежат природе. Человек начинает с самого простого, а затем идет все дальше, все время углубляет свои знания, раскрывает тайну за тайной, похищая их у Природы! И вот вы сами видите в наши дни, как увеличивается могущество человека. А те тайны науки, о которых вы сокрушаетесь, — это уж не совсем тайны, это ее трудности, но опыт показывает, что их можно одолеть. Вы могли видеть сами на примере решения кубического уравнения, как осторожное расширение способа двучленного уравнения позволяет добиться новых результатов. Трудность основная в том, что при всяком таком расширении области, где применяется данный способ, дело усложняется новыми обстоятельствами и обычно такими, которые ранее невозможно было не только предвидеть, но даже и пред-
— 435 —
ставить себе. С развитием науки приходится решать более сложные и запутанные задачи. К примеру: обычное уравнение имеет одно решение; квадратное уже дает два, причем бывает, что оба имеют смысл самый простой, а случается и другое! А кубическое уравнение, вообще говоря, должно давать три решения, но, даже и получив все элементы, из которых легко составить эти решения, надо еще сперва сообразить, как их составлять. Мы недавно любовались на график квадратного уравнения, но ведь график кубического уравнения, то есть кубической параболы, гораздо сложнее и все случаи решения кубического уравнения много хитрее. Кубическое уравнение может иметь три действительных корня, либо один действительный и два комплексных корня. Переходя к графику, мы видим, что кубическая парабола может иметь различные формы: 1) парабола пересекает ось абсцисс однажды (все три действительных корня равны друг ДРУГУ); 2) парабола пересекает ось абсцисс однажды и однажды ее касается (три действительных корня, причем два из них равны друг другу); 3) парабола пересекает ось абсцисс трижды (три разных действительных корня); 4) парабола пересекает ось абсцисс однажды, а кроме того, у нее имеются еще два сопряженных комплексных корня.