Вместо картины - Страница 2

Изменить размер шрифта:

 

Вместо картины - s3.jpg_0

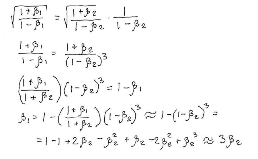
P.S. Я послал это эссе в астрономический Интернет-журнал, а также десятку своих знакомых. Друзья, у которых нет высшего математического или физического образования, честно сказали, что при виде формул у них отключаются мозги. Из журнала ответа не было. А из знакомых физиков позвонила бывшая сокурсница и сказала, что, во-первых, я все напутал, а во-вторых, что пишу о хорошо известном в общей теории относительности космологическом красном смещении. Мне случалось таскать в рюкзаке мешки с цементом на Камчатке, промывать песок на притоках Лены, бить шурфы в бассейне Ангары, но в таких гиблых местах как общая теория относительности я не бывал. Разумеется, я не полез в самую трясину, а почитал статьи в Интернете о космологическом красном смещении.  Действительно, явление вроде такое же, как у меня - расширение фотона вместе с Вселенной. Просто я взял его без каких-либо обоснований, по аналогии с реликтовым излучением. Эйнштейн, наверное, действовал иначе. Сказано там также, что космологическое красное смещение должно быть заметно у очень далеких небесных объектов, близких к краю Вселенной. Ну, это и я заметил - см. формулу (1). Длина волны растет с увеличением β. Но вот никаких замечаний о том, что космологическое красное смещение нужно учитывать при расчетах расстояний до небесных тел по эффекту Доплера, я не встретил. Даже как раз наоборот, там говорилось, что экспериментальных подтверждений общей теории относительности не так уж много. Ничего себе немного, если нужно пересчитывать расстояния для небесных тел!

Замер я в недоумении, наверное, и знакомые физики тоже пришли в недоумение от моего текста и поэтому мне не ответили. Но поскольку я не нашел ошибки в своих рассуждениях, общей теории относительности не понял, и носом меня никто в мои ошибки не ткнул, то не выкидываю это эссе в корзину. Если это не описание мира, то хотя бы часть моей биографии, описание моего заблуждения.

Неуютная вещь - физика. В маниакально-депрессивный психоз тянет. Ладно, в молодости я по глупости в нее сунулся, но сейчас-то какого черта меня туда понесло?

Контакты:

E-mail: [email protected]

Тел.: +7 499 131 19 02 (дом.), +7 906 748 24 37 (мобил.)

Оригинальный текст книги читать онлайн бесплатно в онлайн-библиотеке Knigger.com