Вертолёт, 2006 №4 - Страница 9
В работе «О безопасной высоте висения» (вертикальной посадке вертолета после отказа двигателя на режиме висения) на числовом примере показано, что энергия работающего двигателя составляет 70 % от энергии индуктивных и профильных потерь, а энергия «подрыва» — 12 %. Изменение кинетической энергии вертолета мало, так как вертолет изменяет скорость от нуля до малой величины: вертикальная посадочная скорость не более 3–4 м/с. Требуется найти потенциальную энергию вертолета, которой пропорциональна высота висения. Потенциальная энергия равна 100 %- (70+12)%=100 %-82 %=18 %, то есть величины энергий не так близки, как при посадке с режима планирования с поступательной скоростью.
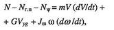
Есть методы, в которых для определения dV/dt и Vyg используется уравнение
Авторы фактически предполагают, что потери мощности и сила X равны как при маневрировании вертолета, так и при установившемся горизонтальном полете.
В книге «Динамика полета вертолета» (Трошин И.С. М.: МАИ, 1990) дана следующая формула:
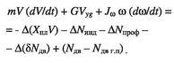
где — Nv увеличение мощности при изменении направления полета. Однако потери мощности изменяются и при прямолинейном полете. В работе нет указания, как найти Nv.
Предлагается другая формула:
В это уравнение входят мощность двигателя и коэффициент ηв, названный пропульсивным коэффициентом вертолета. Известно понятие о пропульсивном коэффициенте η несущего винта. Он определяется как отношение приращений (Δ — обозначение приращений) пропульсивной и полной мощностей несущего винта:
η =-Δ (XV)/ΔN.
Получим аналогичное выражение для коэффициента ηв. Приравняв друг к другу выражения для произведения XV по уравнениям (4) и (9), получим
Это уравнение при установившемся горизонтальном полете обращается в следующее:
Вычтем из первого уравнения второе:
Обозначив
получим предлагаемое выражение (12). Из выражения (13) видно, что коэффициент ηв, кроме изменения индуктивных и профильных потерь несущего винта при маневрировании, учитывает изменение силы сопротивления планера вертолета, изменение взаимовлияния винтов и планера, а у многовинтовых схем — изменение взаимовлияния винтов. Он учитывает также изменение потерь мощности двигателя при маневрировании.
Коэффициент ηв находится не по формуле (13), а следующим образом. Определенная в летных испытаниях или по расчету зависимость GVyg=ƒ(Nдв) на установившемся прямолинейном полете при G=const, Vcosα=const и ωR=const линеаризуется, то есть максимально близко к экспериментальным или расчетным точкам проводится прямая линия (нетрудно показать, что точки располагаются близко к прямым). Эта зависимость определяется не при V=const, а при Vcosα=const, чтобы охватить все возможные траектории с любыми углами θ. Так, в полете вертолета по вертикали, когда 0~α=±90°, точки с разными V ложатся на кривую с Vcosα=const=0. Коэффициент ηв равен тангенсу угла наклона прямой. По этой зависимости находится также Nдв.г. п.
Определение ηв и Nдв.г. п можно формализовать и выполнять на компьютере.
Указанную зависимость требуется определить при разных Vcosα=const. Формулу (12) проще использовать для расчета торможения или разгона вертолета по прямолинейной траектории, когда G-ranst, так как в этом случае величины Nдв.г. п и ηв достаточно определить при одной величине G.
Проинтегрировав уравнение (12), получим еще один вариант уравнения баланса энергий:

Из формулы (12) и уравнения (4), умноженного на V, следует соотношение
Это соотношение подтверждает справедливость уравнения (14).
Остановимся на величине коэффициента ηв. Она зависит от величины η На рис. 3 показан график указанной выше зависимости в безразмерном виде для идеального винта.
На больших скоростях (V>70…140 км/ч в зависимости от отношения нагрузки на 1 м² площади винта к относительной плотности воздуха) — Δ(XV)=ΔN и ηid=1. У реального винта на режимах полета с такими скоростями η~0,95. При меньших скоростях наклон кривых на рис. 3 возрастает, следовательно, — Δ(XV) больше, чем ΔN, и ηid>1. Величина ηid при Vcosα=0 достигает 1,85. Увеличение ηid объясняется уменьшением индуктивных потерь несущего винта из-за увеличения массы протекающего через винт воздуха. Однако η, тем более ηв, меньше ηid из-за возрастания профильных потерь при увеличении — XV. При вертикальном наборе высоты η=1,8.1,5. Для определения ηв рассматриваемого вертолета был сделан расчет зависимости GV fNJ при вертикальном наборе высоты, из которого следует, что у вертолета Nдв.г. п =3460 л.с., ηв=1,4. Так как ηв>1, то это значит, что скобка в числителе выражения (13) отрицательна, то есть уменьшение N больше, чем увеличение остальных слагаемых числителя. На скорости 85 км/ч у этого вертолета Nдв.г. п ==2950 л.с., ηв=0,96. Таким образом, в методе мощностей, особенно при скоростях менее ~100 км/ч, нужно использовать формулу (14), так как ηв¬=1.

Рис. 3. Зависимость безразмерной пропульсивной мощности от полной мощности
Можно сделать следующие основные выводы:
1) из-за малых посадочных скоростей у вертолета его кинетическая энергия в момент посадки является малой величиной по сравнению с начальными, вносимыми и потерянными энергиями. Поэтому при расчетах посадочных скоростей должны учитываться все входящие в уравнение баланса виды энергии. Определять их нужно не по приближенным формулам, а как можно точнее;
2) при использовании метода мощностей необходимо учитывать пропульсивный коэффициент вертолета.
Управление беспилотным летательным аппаратом

Анализируя систему управления (СУ) современных и перспективных беспилотных летательных аппаратов (БЛА), необходимо отметить, что ее основой являются инерциальные системы, обладающие полной автономностью и высокой помехозащищенностью.
Система управления полетом БЛА обеспечивает движение центра масс летательного аппарата в соответствии с заданной дальностью; осуществляет угловую стабилизацию БЛА относительно его центра масс; управляет боковым движением центра масс аппарата относительно плоскости полета, то есть обеспечивает движение центра масс БЛА по программной траектории, параметры которой заранее рассчитываются и вводятся в систему управления перед пуском.
Структурная схема аппаратуры системы управления и стабилизации изображена на рис. 1, где КГП — комплекс гироскопических приборов; БДУС — блок датчиков угловой скорости; НАП — навигационная аппаратура потребителя; ГСН — головка самонаведения; ОУ — оконечное устройство; А1-А3 — акселерометры; РМ — рулевая машинка.
Возможность наблюдения за движением БЛА обеспечивает информационно-измерительный комплекс (ИИК). В него входят гиростабилизированная платформа и блок датчиков угловой скорости. К платформе предъявляются требования по обеспечению заданных углов прокачки по трем осям;