Вертолёт, 2006 №4 - Страница 7
Член международного комитета, представитель фирмы Eurocopter Иен Фавенес

Прием участников форума в городской ратуше Маастрихта
На заключительном заседании форума в Маастрихте В.Б. Карташев как представитель комитета по организации встречи вертолетчиков Европы в Казани подтвердил готовность города к приему гостей на самом высоком уровне. Торжественная передача символа форума — знаменитой «Стрекозы» прошла в Бельгии, в красивейшем местечке под названием La Butter Mux Bois.
Кстати, у нас на Волге есть места не хуже. Так что нам есть и что рассказать, и что показать западным коллегам.
Сергей МИХАЙЛОВ, профессор КГТУ им. А.Н. Туполева
Метод энергий и метод мощностей
Предлагаем вниманию читателей журнала статью заслуженного деятеля науки РФ, лауреата Государственной премии, ведущего специалиста МВЗ имени М.Л. Миля Александра Самойловича БРАВЕРМАНА. В ней приводятся сведения о двух методах, использующихся при расчете посадочных траекторий вертолета: методе энергий и методе мощностей.
Предпосадочный маневр вертолета выполняется, в основном, по прямолинейной траектории. И в начале, и в конце этого маневра угловые скорости вертолета практически равны нулю. Поэтому при расчете траектории посадки используется теорема кинетической энергии материальной точки, гласящая: изменение кинетической энергии равно работе внешних сил, действующих на точку:
где m — масса вертолета; V — скорость полета; А — работа внешних сил на рассматриваемом участке траектории, равная

В приведенных формулах индексом 1 отмечены скорость V и время t в начале рассматриваемого участка траектории, а индексом 2 — в конце участка. Сила сопротивления несущего винта X (X > 0, когда сила направлена назад) и сила сопротивления планера вертолета X, скорость и время, не отмеченные индексом, — это текущие значения этих величин при движении на рассматриваемом участке траектории. Для простоты сила тяжести G отнесена к внешним силам.
Работа отрицательна, так как проекция вектора силы тяжести на вектор скорости V (рис. 1), а также силы X и Xпл не совпадают с направлением движения. Но при снижении вертолета (угол 0 отрицателен) проекция силы G совпадает с направлением движения и ее работа положительна. То же имеет место с силой X: при подаче на винт достаточной мощности сила X становится пропульсивной, направленной вперед.
Работа силы тяжести, являющаяся потенциальной энергией вертолета, равна

Здесь и ниже индексом g отмечаются обозначения в земной системе координат.
Приведем уравнения движения вертолета в скоростной системе координат:
Теорема (1) следует из уравнения (4). Действительно, если умножить обе его части на скорость полета V, то слагаемое mV(dV/dt) в интеграле дает изменение кинетической энергии вертолета:
При снижении в каждый момент времени элементарная работа отрицательна: сумма сил сопротивления винта и планера превосходит проекцию силы тяжести.
По уравнениям движения находятся граничные значения сил X и Y. Например, в момент посадки желательно иметь: Vyg=-2,5 м/с, V=50 км/ч, dV/dt=-0,5 м/с², dθ/dt=0…0,05 1/с. Силы Xпл и Yпл допустимо определять при угле атаки 15°. В начале предпосадочного маневра X и Y известны из аэродинамического расчета на режиме планирования. Окружная скорость несущего винта ωR в момент посадки определяется из формулы Y~T=(0,95.1,05)G=(Cт/σ)σρF(ωR)²/2 при коэффициенте Cт/σ, соответствующем шагу лопастей в момент посадки. Промежуточные значения X, Y и окружная скорость несущего винта находятся подбором (последовательными приближениями).

Рис. 1. Силы, действующие на вертолет
На режиме авторотации при выборе величин сил X и Y может использоваться соотношение X=Y/K. Оно полезно, так как качество несущего винта K практически не зависит от коэффициента тяги винта Cт/σ, а только от отношений V/ωR и ωR/α (где α — скорость звука), но оно не может использоваться при малых скоростях полета и больших углах наклона траектории. При вертикальной траектории Y=0, K=0 и это соотношение бесполезно.
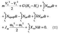
Таким образом, уравнение, выражающее баланс энергий вертолета, имеет вид

При расчетах целесообразно задаваться временем Δt = t2-t1 изменения скорости от V1 до V2, а по уравнению баланса энергий находить изменение высоты полета за время маневра. При посадках вертолета H2=0, V2 — посадочная скорость; ее горизонтальная и вертикальная составляющие равны:
Из литературы по аэродинамике несущего винта известно выражение
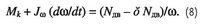
Здесь Nинд и Nпроф, — индуктивные и профильные потери мощности винта; Mk — крутящий момент аэродинамических сил винта; w — угловая скорость винта; Мzн и Мxн — продольный и поперечный моменты винта (моменты на втулке); ωz и ωx — угловые скорости поворота винта в продольной и поперечной плоскостях вертолета. При посадках вертолета, как сказано выше, слагаемыми, содержащими wz и можно пренебречь. Выражение (7) может быть преобразовано следующим образом. При изменяющейся угловой скорости несущего винта крутящий момент винта определяется из формулы
Здесь — Jω момент инерции винта и вращаемых им агрегатов. Формула (8) является условием равновесия моментов относительно оси вала несущего винта; слева — моменты аэродинамических и инерционных сил лопастей (положительные значения моментов направлены против вращения несущего винта), а справа — момент, создаваемый двигателями вертолета (положительные значения моментов направлены по вращению несущего винта); δNдв- мощность двигателей, расходуемая на приводы электро-, гидравлических и других систем вертолета, на вращение рулевого винта и теряемая из-за потерь на входе в двигатель и на выхлопе. Подставив формулу (8) в выражение (7), получим
Проинтегрировав выражение (9) в пределах рассматриваемого участка траектории, получим формулу для энергии вертолета, расходуемой на преодоление силы сопротивления несущего винта за время пролета участка траектории:

Используя это выражение, получим второй вариант уравнения баланса энергий:

Уравнение (11) интересно тем, что в него в явном виде входит энергия, сообщаемая несущим винтом. Определим величину, а
следовательно, и значимость каждой составляющей в балансе энергий (отметим, есть авторы, считающие, что посадочная скорость вертолета на режиме авторотации зависит главным образом от изменения кинетической энергии несущего винта, что несправедливо, так как в уравнение (11) входят другие, большие по величине слагаемые).