Удивительная физика - Страница 13

В Пизанском университете Галилей получает жалованье в 60 флоринов в год, но ему этого показалось мало и он, бросив «альма-матер», переезжает в Падую, где ему предложили втрое больший оклад. И вдруг ему назначают оклад аж в 1 тысячу флоринов и пожизненно закрепляют за ним кафедру в университете за то, что он «изобрел» подзорную трубу и предоставил ее в распоряжение венецианского правительства. Это произошло в 1609 г., а за год до этого подзорную трубу изобрел (но уже без кавычек) голландец Иоганн Липпершей (1570—1619) и запатентовал ее в Нидерландах, о чем Галилею было известно, а венецианскому правительству – нет (рис. 35). Это что касается мифа о подзорной «Галилеевой» трубе.

Им действительно открыты спутники Юпитера (с помощью «Галилеевой», а вернее, Липпер-шеевой трубы). Он верноподданически посвятил их герцогу Тосканскому Козимо II Медичи, назвав после многочисленных согласований с администрацией герцога «Медичиевыми звездами». Это не вызвало восторга ученых – коллег Галилея, но акции Галилея сильно возросли, и уже последовал заказ от самого короля Генриха IV на название следующей звезды…
И на всякий случай: Иисуса Христа называли «галилеянином» не за то, что он был (чего не могло быть хронологически) последователем Галилея, а за то, что происходил из иудейской провинции Галилея.
Об ошибках Галилея в определении «инерционного» движения уже говорилось выше. Да и доказательство того, что тяжелые и легкие тела падают одинаково быстро, сформулированное Галилеем, также оказалось неверным.
Тяжелые тела падают быстрее, чем легкие, – эта совершенно правильная мысль Аристотеля уже почти 500 лет, со времени Галилея, считается ошибочной. Не верьте на слово даже Галилею, проверьте сами. Что, пушинка и гиря, выброшенные из окна, приземлятся за одно и то же время? Ах, сопротивление воздуха мешает? Тогда проведите этот же опыт хоть на Луне, где почти нет атмосферы, да только время падения измеряйте поточнее. И увидите, что даже в вакууме тяжелые тела падают быстрее легких, а детям в школах уже сотни лет морочат голову, что гиря и пушинка падают за одно и то же время.
Что же такое «время падения тела?» Это время, прошедшее между моментом освобождения тела (отпусканием груза) и его приземлением (прилунением и т. д.). Определим его. По закону всемирного тяготения на груз и на саму планету (Землю, Луну, астероид, и т. д.) действуют одинаковые по величине и направленные друг к другу силы:
F = γ Mm/ r 2,
где γ – гравитационная постоянная; М, m – массы планеты и груза;
r – расстояние между центрами масс этих тел.
Ускорение груза: aгр =F, ускорение планеты: aпл = F(ускорения mM для простоты считаем постоянными). Скорости груза и планеты:
V гр = a гр t; V пл = a пл t,
где t – время.
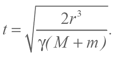
Скорость сближения этих тел (скорость падения): Vпад = (агр + апл)t, при этом средняя скорость падения:
V пад. ср = V пад. к. / 2
где Vпад. к – скорость приземления тела. Время падения (оба тела приближенно считаем точками): t = 2r / Vпад. к. Подставляя Vпад. к., получим:

Запомните эту формулу – вот истинное время падения одного тела на другое. Так как в знаменателе под корнем сумма масс тел, то при постоянной массе планеты М чем больше масса груза m, тем меньше время падения, т. е. тем быстрее тело падает. Уж если мы хотим быть корректными, то надо говорить, что ускорение одновременно падающих в пустоте тел одинаковое, но при падении порознь тяжелое тело даже в пустоте шлепнется с высоты быстрее, чем легкое, согласно Аристотелю. Потому что сама планета, или пусть даже астероид, на который падает тело, будет тем быстрее двигаться навстречу, чем тяжелее (массивнее) падающее тело.
Так что не стоит слепо верить мнениям, даже авторитетным. Правильно говорил Козьма Прутков, что если на клетке слона прочтешь «буйвол», не верь глазам своим!
Но позвольте, если Галилей не проводил опытов по бросанию шаров с наклонной Пизанской башни, то откуда его доказательство, что быстрота падения тел не зависит от их тяжести?
Доказательство это построено на формальной логике, и, на взгляд автора, это чистой воды софистика. Посудите сами, вот цитата из Галилея: «Уважаемые сеньоры, представьте, что вы взошли на башню, имея две монеты в 5 и 3 скудо. Первая должна падать быстрее, вторая – медленнее. Если вы свяжете монеты бечевкой, вес возрастет, и они должны падать быстрее, но, с другой стороны, монета в 3 скудо, как более легкая, должна тормозить 5 скудо. Получаемое противоречие снимается одним утверждением – вес предмета не влияет на скорость свободного падения».
Давайте задумаемся, какое падение Галилей имел в виду: в воздухе или пустоте? Конечно, в воздухе, потому что пустота, или вакуум, был открыт только его учеником Торричелли, причем гораздо позже; да и никому в голову еще долго после этого не могла прийти мысль бросать тела в пустоте – об аэродинамике тогда не имели понятия, а пустота существовала только в крохотном верхнем конце трубочки ртутного барометра Торричелли. Но тогда быстрее всего будет падать монета в 5 скудо, медленнее – связка из двух монет, а наиболее медленно – монета в 3 скудо, причем в связке эта последняя аэродинамическим сопротивлением будет именно тормозить монету в 5 скудо. Таким образом, рассуждение Галилея неверно, можно сказать, «скудно».
А теперь послушайте предложенное автором доказательство того, что тяжелые тела падают быстрее легких, и опровергните, если можете: «Представьте себе, что вы взошли на башню, имея две матрешки: большую тяжелую, и маленькую полегче. При этом большая падает быстрее меньшей – так выбраны массы и аэродинамика этих матрешек. Если мы вложим меньшую в большую, то полученное тело будет падать быстрее всего, так как большая матрешка „берет на себя“ все аэродинамические сопротивления, в этом можно убедиться экспериментально. Значит, тяжелые тела падают быстрее легких».
Что же произойдет в пустоте или вакууме? И в первом (Галилеевом), и во втором (автора) случаях связка монет или две матрешки упадут на Землю быстрее, чем эти тела порознь, причем более тяжелое тело упадет быстрее. Почему – уже было сказано выше.
Что же касается падения тел в так называемой трубке Ньютона, то тут, простите, все правильно (рис. 36). И дробинка, и пушинка приземлятся в вакууме одновременно, потому что летят вместе, притягивая к себе Землю совместно, общей массой. А вот попробуйте сбросьте на Землю легкий астероид с высоты Луны, а потом и саму Луну (предварительно остановив ее, конечно, и убрав с земли астероид, для точности!) И измерьте разницу во времени падения, которую, кстати, несложно вычислить. А потом и говорите, кто прав: Аритотель или Галилей!
