Транзистор?.. Это очень просто! - Страница 49
Среди микросхем, которые обычно делают на подложке из изоляционных материалов, в зависимости от метода изготовления различают: тонкопленочные микросхемы, получаемые вакуумным напылением или катодной бомбардировкой, и толстопленочные, получаемые путем нанесения соответствующих материалов по заранее созданному рисунку.
Сами интегральные микросхемы занимают ничтожный объем. Но их необходимо соединить золотыми проволочками (проволочки припаиваются под бинокулярным микроскопом) с контактами корпусов, в которые они помещаются. В этом-то и заключается драма! Объем корпуса, который может достигать одной пятой части кубического сантиметра, в тысячу раз больше объема самой МС. Не находишь ли ты в этом сходство с пауком, лапки которого занимают больше места, чем тело?.. Я добавлю, что в производстве интегральных микросхем дороже всего обходятся припайка выводов и монтаж микросхемы в корпус.
Тем не менее, дорогой Незнайкин, не будем злословить по поводу МС, являющихся прекрасной победой человеческого разума в области технологии.
В дополнение к своей исключительной портативности они обладают многочисленными достоинствами. Прежде всего следует назвать их высокую надежность. Этот термин означает, насколько можно полагаться на исправную работу устройства. А вероятность отказа у МС очень низкая, так как они сделаны из одного куска твердого тела. В них нет паек, нет и более или менее надежных контактов… Это прочная конструкция, и на нее можно положиться!
При производстве в больших количествах МС обходятся дешевле эквивалентных схем, собранных из дискретных компонентов. Применение МС позволяет существенно снизить затраты на рабочую силу.
И, наконец, малые размеры МС дают еще одно преимущество, о котором часто забывают — очень малое время перехода. В современных электронных вычислительных машинах некоторые операции производятся за время, измеряемое наносекундами, т. е. миллиардными долями секунды. Но какой путь за такую долю секунды может пройти луч света или электрический ток в прекрасном проводнике? Попробуй ответить на этот вопрос, не читая моего письма дальше и не приступая к расчетам, учитывающим скорость 300 000 км/с.
Согласен поспорить, Незнайкин, что твоя оценка далека от истины, а она гласит, что за одну наносекунду свет или электрический ток проходит 30 см. Это означает, что в ЭВМ, насчитывающих тысячи микросхем, их нужно расположить достаточно близко одну к другой, чтобы время прохождения тока не замедляло выполнения операций.
Новая философия
Появление МС настоятельно требует новой философии конструирования электронной аппаратуры. Некогда разрабатывали схемы включения компонентов, из которых собиралась аппаратура. В наши дни инженер должен придумать цепочку функций, каждая из которых выполняется одной МС.
Эволюция МС продолжается; возможности их становятся все более разнообразными. ЭВМ выступают в качестве крупных потребителей так называемых бинарных схем, обладающих двумя устойчивыми состояниями: они открыты для прохождения тока или закрыты. Я тебе уже говорил, что их называют также «вентилями».
Другие схемы называются линейными, так как их выходное напряжение изменяется пропорционально изменениям сигнала на входе.
Ничто не останавливает прогресса в этой области, мой дорогой друг Незнайкин. Если ты перечитаешь-это письмо через несколько лет, то невольно улыбнешься, так как многое несомненно изменится. Лишь одно останется неизменным — дружба, в которой заверяет тебя
Твой Любознайкин

* * *

notes
Примечания
1
Внимание! В связи с тем что электрический ток образуется перемещением электронов, которые движутся по внешней цепи от отрицательного полюса к положительному, именно такое направление тока и принято на страницах этой книги (оно обратно общепринятому условному направлению тока).
2
Некоторые мощные транзисторы выдерживают температуру, близкую к 100 °C. Это достигается введением в полупроводниковый материал относительно больших доз примесей.
3
Ядро атома углерода содержит 6 протонов и 6 нейтронов; этот атом имеет 6 электронов, из которых 2 находятся на оболочке К и 4 на оболочке L.
4
Музей в Париже, аналогичный Политехническому музею в Москве. — Прим. перев.
5
В этом месте Любознайкин допускает неточность. Ток насыщения, о котором идет речь ниже, проходит при приложении обратного напряжения только к одному р-n переходу, т. е. между средним выводом транзистора (базой) и одним из крайних. — (Прим. ред.).
6
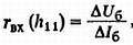
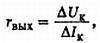
Сопротивления, о которых говорит Любознайкин, рассчитываются путем деления малых изменений напряжений на вызываемые ими изменения тока.
Следовательно, входное сопротивление
где ΔUб _ малое изменение напряжения между эмиттером и базой, а ΔIб — возникающее в результате этого изменение тока базы.
Точно так же выходное сопротивление
где ΔUк — изменение напряжения, приложенного между коллектором и эмиттером, а ΔIк — соответствующее изменение тока коллектора.
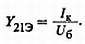
Иногда при расчетах используют параметр выходная проводимость транзистора, представляющий собой отношение изменения выходного тока к вызвавшему его изменению выходного напряжения:

(Прим. ред.).
7
Все эти рассуждения касаются транзистора структуры n-р-n. Для транзисторов структуры р-n-р полярности всех напряжений обратные. — Прим. ред.
8
Строго говоря, частотный предел работы транзистора определяется не временем пробега носителей через базу (это привело бы лишь к задержке усиливаемого сигнала), а различием времени пробега для отдельных носителей, в результате чего происходит «размывание» усиливаемого сигнала. Однако разброс времени пробега прямо пропорционален идущему в расчет среднему значению времени пробега, так что в конечном счете это время ограничивает частотный предел транзистора. — Прим. ред.
9
Емкость коллекторного перехода у тетрода остается такой же, как у триода о аналогичной геометрией. Уменьшение роли этой емкости на высоких частотах обусловлено снижением сопротивления области базы из-за того, что активная часть базы размещается в непосредственной близости от основного вывода базы. — Прим. ред.
10
Иногда пользуются понятием статической крутизны прямой передачи транзистора — отношением постоянного тока коллектора к постоянному напряжению база — эмиттер: