Том 27. Поэзия чисел. Прекрасное и математика - Страница 26

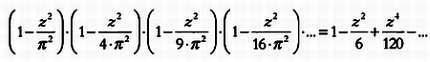
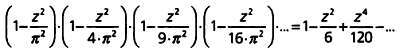
Эйлер последовательно рассмотрел два разложения функции синуса в ряд. Один из этих бесконечных рядов открыл сам Эйлер:

где знаменатели дробей — квадраты натуральных чисел, умноженные на квадрат числа 71. Второе разложение синуса в бесконечный ряд открыл Ньютон:

Здесь знаменатели представляют собой факториалы последовательных чисел. Напомним, что факториал произвольного числа n определяется как произведение всех чисел, меньших n: n·(n — 1)·(n — 2)· … ·3·2·1. Следовательно, знаменатели в представленной выше формуле равны факториалам показателя степени z плюс 1.
Иными словами, если показатель степени z равен 2, то знаменатель будет факториалом 3: 3·2·1 = 6; если показатель степени z равен 4, то знаменатель будет равен факториалу 5: 5·4·3·2·1 = 120, и так далее.
Так как оба этих ряда представляют собой разложение одной и той же функции синуса, они должны быть равны, в частности:

Согласно изложенному в предыдущем абзаце, получим:
или, что аналогично:
Таким образом, суммой чисел, обратных квадратам натуральных чисел, будет квадрат числа π, разделенный на 6.
Размышления Харди применительно к практике
Теперь вернемся к рассуждениям Харди о двух основных свойствах, которые наделяют математическую идею эстетической ценностью. Харди писал: «Два качества играют существенную роль: общность и глубина идеи, но ни одно из них не поддается определению легко и просто».
Говоря об общности математической идеи, Харди уточнял: «Значительная математическая идея, серьезная математическая теорема должна обладать "общностью" в каком-то следующем смысле. Идея должна быть составляющей частью многих математических конструкций, используемых в доказательствах многих теорем различного рода. Теорема должна быть такой, что даже если первоначально она сформулирована в весьма частном виде (как теорема Пифагора), она должна допускать существенное обобщение и быть типичной для целого класса теорем аналогичного рода. Отношения, выявляемые в ходе ее доказательства, должны связывать многие различные математические идеи». Чтобы у читателя не осталось никаких сомнений относительно того, насколько сложно точно определить «общность», Харди писал: «Всё это очень смутно и требует многочисленных уточнений».
Рассмотрим пример, приведенный Эйлером: обладает ли ряд Эйлера общностью в том смысле, в каком трактовал это свойство Харди? Да, этот ряд действительно обладает общностью, причем в нескольких значениях.
Основная идея Эйлера заключалась в том, чтобы использовать для вычисления некоторых бесконечных сумм два представления одной и той же функции: одно в виде произведения, другое — в форме ряда. В представленном выше случае Эйлер с помощью функции синуса нашел сумму чисел, обратных квадратам натуральных чисел. Применив другие функции, Эйлер во «Введении в анализ бесконечно малых» с помощью аналогичного метода вычислил множество сумм бесконечных рядов, в частности:
В этой сумме с противоположными знаками записаны числа, обратные кубам нечетных чисел, за исключением кратных 3.
Однако общность идеи Эйлера не ограничивается одной лишь заменой функции синуса на другие. В его методе рассматривается выражение
Число, на которое последовательно умножается z2, связывается с суммой чисел, на которые умножается z2 в левой части равенства. В слегка видоизмененном виде идея Эйлера становится еще более плодотворной. Достаточно обратить внимание на числа, которые умножаются на остальные степени переменной в правой части равенства и выразить их через коэффициенты при z2 в левой части равенства (см. врезку на следующей странице). Применив эту идею, Эйлер вычислил не только сумму чисел, обратных квадратам натуральных чисел, но и чисел, обратных четвертым, шестым и восьмым степеням:

Ему удалось дойти до 26-й степени:
Надеемся, что читатель смог оценить всю общность рассуждений Эйлера и, как следствие, лучше понять, что хотел сказать Харди, когда писал об общности математической идеи: именно общностью, помимо гениальности, отличается рассмотренная идея Эйлера.
Согласно Харди, другое неотъемлемое свойство, наделяющее математическую идею эстетической ценностью, — это глубина. «Второе свойство, которое я потребовал от значительной идеи, — ее глубина. Определить его еще труднее. Оно каким-то образом связано с трудностью; "более глубокие" идеи обычно труднее постичь, но вместе с тем это не одно и то же. Создается впечатление, что математические идеи "стратифицированы", то есть расположены как бы слоями, идеи в каждом слое связаны целым комплексом отношений между собой и с идеями, лежащими в верхних и нижних слоях. Чем ниже слой, тем глубже (и, как правило, труднее) идея».
* * *
ЭЙЛЕР И БЕСКОНЕЧНЫЕ РЯДЫ
Эйлер уточнил свою исходную идею следующим образом. Вернемся к произведению
(1 — az2)·(1 — bz2)·(1 — cz2)·… = 1 — Az2 + Bz4 - Cz6 +…
Теперь рассмотрим число 8, на которое умножается z4. Нетрудно видеть, что это число В образуется попарным умножением с последующим сложением чисел а, Ь, с которые умножаются на z2 в левой части равенства: B = ab + ac + bc + …
Таким образом, если мы запишем Р = а + Ь + с +… и Q = а2 + Ь2 + с2 + …. путем простых подсчетов имеем: Р = A и Q = A·P — 2·B.
Если мы вновь рассмотрим два разложения для функции синуса:

и примем во внимание, что в этом случае А = 1/6, B = 1/120 и, как мы уже вычислили, Р = π2/6, получим значение суммы чисел, обратных четвертым степеням натуральных чисел: 1 + 1/24 + 1/34 + 1/44 + … = π4/90.
Нечто подобное можно выполнить для z6 и последующих степеней. Благодаря этому Эйлер вычислил суммы чисел, обратных четным степеням натуральных чисел, начиная от второй и заканчивая двадцать шестой. Несколько лет спустя Эйлер обнаружил общую формулу суммы чисел, обратных произвольной четной степени натуральных чисел. О сумме чисел, обратных нечетным степеням натуральных чисел, ничего не известно и поныне. Мы знаем лишь, что первые несколько подобных сумм являются иррациональными числами.
* * *
И вновь суммы Эйлера помогут нам понять, что Харди имел в виду, когда говорил о «глубине» математических идей. Эйлер связал математические понятия из разных областей. В методе Эйлера скрывается понятие бесконечности, принадлежащее, можно сказать, к метафизике. Этот метод относится и к арифметике, так как в его задаче рассматриваются натуральные числа — требуется сложить квадраты чисел, обратных им. При вычислении суммы на сцену выходит геометрия, так как значение суммы выражается с помощью квадрата числа π, описывающего геометрию окружности. Наконец, весь метод Эйлера вращается вокруг представления функции в виде бесконечной суммы и бесконечного произведения — эти методы относятся к математическому анализу. И все это богатство взаимосвязей между столь разными «стратами» проявилось в одной идее Эйлера, которая на первый взгляд кажется простой. Именно это имел в виду Харди, когда говорил о глубине идеи: он рассуждал о ее способности неизбежно и плодотворно самым блестящим образом связывать между собой разные математические «страты».