Том 27. Поэзия чисел. Прекрасное и математика - Страница 19
* * *
ДЛИНА КРИВОЙ КОХА
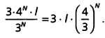
Чтобы убедиться, что кривая Коха имеет бесконечную длину, выполним следующие действия. Заметим, что на каждом шаге построения кривой Коха число отрезков, составляющих ее, увеличивается в 4 раза: каждый из отрезков, построенных на предыдущем шаге, делится на три части, одна из которых заменяется двумя отрезками. Иными словами, на смену каждому отрезку приходит четыре. Так как построение начинается с равностороннего треугольника, общее число отрезков на шаге N будет равно 3·4N. По той же причине длина каждого из этих отрезков (все они имеют одинаковую длину) на каждом шаге делится на 3, поэтому на шаге N длина каждого ее отрезка будет равна I/3N, где I — длина стороны исходного равностороннего треугольника. Длина кривой на шаге N будет равна числу образующих ее отрезков, умноженному на их длину:

Так как 4/3 больше 1, степень (4/3)N с увеличением N будет неограниченно возрастать и в итоге будет равна бесконечности. Аналогичным образом можно убедиться, что любая часть кривой Коха имеет бесконечную длину.
* * *
Как и в случае с ковром Аполлония, стандартная размерность совершенно не подходит для описания кривой Коха: нельзя говорить, что эта кривая имеет размерность 2, то есть ту же размерность, что и содержащая ее плоскость; однако учитывая сложность этой кривой, произвольный участок которой имеет бесконечно большую длину, было бы ошибкой полагать, что ее размерность равна 1. Размерность Хаусдорфа позволяет в точности понять, в какой степени кривая Коха сочетает в себе кривую и поверхность. Ее размерность равна ln4/lnЗ (см. врезку на следующей странице).
Мандельброт показал, что геометрия фракталов может быть невероятно сложной, однако очень часто эту сложность порождает простое подобие различных частей кривой, сохраняющееся вне зависимости от масштаба.
* * *
ФРАКТАЛЬНАЯ РАЗМЕРНОСТЬ КРИВОЙ КОХА
Вычислить фрактальную размерность кривой Коха сравнительно просто. Напомним, что общее число отрезков этой кривой на шаге N равно 3·4N, а длина каждого из этих отрезков равна I/3N (см. предыдущую врезку). Учитывая особенности построения кривой, впишем ее в квадрат со стороной I (где I — длина стороны исходного треугольника). Будем делить квадрат на равные части так, чтобы их число отвечало степени тройки: сначала на 3 части, затем на 3·3 = 32 частей, затем на 3·3·3 = 33 и так далее. Теперь подсчитаем, сколько маленьких квадратов необходимо для покрытия кривой Коха, если мы разделим сторону исходного квадрата, например, на 3N частей. Для этого заменим кривую Коха кривой, полученной на N-м шаге построения. Так как длина стороны маленького квадрата равна I/3N, каждый из них покроет примерно один отрезок кривой, который также имеет длину I/3N. Так как число отрезков кривой равно 3·4N, нам потребуется примерно 3·4N маленьких квадратов. Согласно определению размерности Хаусдорфа, мы разделили сторону квадрата на n = 3N частей, а для покрытия всей кривой требуется nF = 3·4N маленьких квадратов. Используем свойства логарифмов, чтобы упростить дробь, определяющую размерность Хаусдорфа:
Когда число частей, на которое мы делим квадрат, то есть n, или, что аналогично, N, становится бесконечно велико, размерность Хаусдорфа будет равна ln4/lnЗ.
* * *
Фракталы — редкие, удивительные множества, которые, как «кажется», далеки от привычных нам физических ощущений. Мы взяли слово «кажется» в кавычки, поскольку фракталы присутствуют повсеместно, мы видим их так часто и настолько привыкли к их особенностям, что даже не распознаем их. В природе фрактальная геометрия обнаруживается буквально повсюду. Береговая линия Испании или Норвегии, изрезанная фьордами, точнее всего описывается именно фрактальной кривой, подобной кривой Коха. Ничто не описывает сложную сеть нейронов нашего мозга лучше, чем фракталы. Именно математический взгляд и острота взора Хаусдорфа и Мандельброта позволили увидеть, как часто фракталы встречаются в природе.

Фракталы — это не только математические объекты; они присутствуют и в окружающем мире. Слева — аэрофотосъемка норвежских фьордов, справа — фрагмент фрактала Мандельброта.
* * *
ФРАКТАЛЫ В ПОЭЗИИ
Присутствие фракталов в природе уловили не только математики, но и поэты. Среди бесчисленного множества примеров, которыми можно проиллюстрировать совпадение поэтического и математического взгляда на реальность, мы выбрали первые строки поэмы № 18 из серии «Двадцать поэм любви и одна песня отчаянья» Пабло Неруды. Чтобы описать нереальность любви на расстоянии, Неруда в своей поэме «Здесь я тебя люблю, напрасно даль тебя прячет» описывает предметы, легкая и эфемерная сущность которых контрастирует с твердостью их физического воплощения:
Здесь я тебя люблю.
Над темными соснами ветер расправляет свой стяг.
На блуждающих водах лунные пересветы.
Похожие дни теснятся, гонят друг друга во мрак.
Распадается сумрак на пляшущие виденья.
Серебристую чайку закат роняет во тьму.
Порой объявится парус. Высокое небо в звездах[8].
В этих семи строчках поэт соединил три трехмерных объекта. Представьте себе хитросплетение сосновых иголок, над которыми ветер расправляет свой стяг; пенистые воды, освещаемые луной, или неуловимое дыхание пляшущих видений в тумане. К этой картине следует добавить вездесущие звезды, эти светящиеся точки, сложный узор которых в небе кажется почти двухмерным. В действительности эта неоднозначность — следствие фрактальной природы объектов. Наши скудные органы чувств неспособны оценить реальность в ее дробной размерности; реальность, которая, напротив, проявляется во всей полноте только тогда, когда ее рассекает отточенный скальпель размерности Хаусдорфа или пронзает острый взор Пабло Неруды.
* * *
Среди многочисленных примеров использования фракталов мы расскажем об одном, занимающем поистине особое место, в котором фракталы связаны с абстрактным экспрессионизмом Джексона Поллока.
Поллок был художником непростой судьбы, он злоупотреблял алкоголем и так далее — все в соответствии со стереотипом. Погиб в автомобильной катастрофе в 1956 году, когда ему было всего 44 года. Меценатом Поллока стала Пегги Гуггенхайм. «Современный художник, — как-то сказал Поллок, — не может изобразить эпоху самолетов, атомных бомб и радио в старом стиле Возрождения. Каждая эпоха имеет свою технику». Верный этой максиме, он в середине 1940-х основал новое направление в живописи — абстрактный экспрессионизм. Свои картины он рисовал на больших полотнах, используя созданную им технику разбрызгивания красок.

Джексон Поллок за работой в своей студии. Конец 1940-х.