Том 27. Поэзия чисел. Прекрасное и математика - Страница 18
Представьте, что дана плоская фигура, вписанная в квадрат, для которой мы хотим рассчитать размерность Хаусдорфа. Разделим сторону квадрата на несколько равных частей, например на 10. Квадрат окажется разделен на 100 мелких квадратов. Теперь посчитаем, сколько этих квадратов нужно для того, чтобы покрыть рассматриваемую фигуру, и адекватно сравним их число с числом частей, на которые мы разделили сторону квадрата (в нашем случае на 10).
Ключ к задаче — в том, что мы вкладываем в слова «адекватно сравним». Проясним смысл этих слов на простом примере. Пусть рассматриваемой фигурой будет квадрат целиком. Для того чтобы покрыть его, потребуются все квадраты, на которые мы разделили исходный квадрат. Таким образом, если мы разделим сторону квадрата на n равных частей, получим n·n = n2 мелких квадратов. Обратите внимание на число 2 в показателе степени n2 — именно это число и будет размерностью квадрата.
Теперь рассмотрим диагональ квадрата. Разделим сторону квадрата на 4 части. Сколько мелких квадратов понадобится для того, чтобы покрыть его диагональ? Немного подумав, читатель увидит, что для этого потребуется четыре мелких квадрата, так как именно столько квадратов лежит на диагонали большого квадрата. Если мы разделим сторону квадрата на n частей, нам потребуется n квадратов, чтобы покрыть диагональ. Однако n можно записать как n1, то есть n, возведенное в степень 1. Эта степень 1 и будет размерностью диагонали квадрата. Таким образом, любой отрезок будет иметь размерность 1.
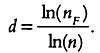
Теперь обозначим через F плоскую фигуру, заключенную внутри квадрата, для которой мы хотим определить размерность Хаусдорфа. Разделив сторону квадрата на n частей, подсчитаем, сколько мелких квадратов потребуется, чтобы покрыть фигуру F. Обозначим их число через пр. «Адекватное» сравнение числа nF с числом частей n, на которые мы разделили сторону квадрата, означает определение степени n, соответствующей этому числу nF. Так, в примере с квадратом nF = n2 соответствующей степенью будет 2. В примере с диагональю квадрата nF = n1 соответствующей степенью будет 1. Если мы обозначим этот показатель степени через d, то n, nF и d будут связаны следующим тношением: nF = nd . Применив логарифмы, выразим d через n и nF : d — это логарифм nF разделенный на логарифм n:

Чем больше n, то есть число частей, на которые мы делим сторону квадрата, тем ближе число d будет к размерности Хаусдорфа для фигуры F. Размерность Хаусдорфа будет пределом, рассчитываемым при делении стороны квадрата на бесконечно большое число бесконечно малых равных частей.
Пример с окружностями Аполлония
Построим пример фрактала. Для этого вновь рассмотрим окружности Аполлония, о которых мы говорили в главе 2, так как мы будем строить фрактал на основе касательных окружностей. Построим три окружности, касающиеся друг друга (см. рисунок слева внизу). Как мы уже отмечали в предыдущей главе, существуют две другие окружности, касающиеся этих трех. Имеем пять окружностей (см. рисунок справа внизу).

Построение фрактала на основе трех касающихся окружностей.
Выберем три из них, касающиеся друг друга, и построим две соответствующие касательные окружности (их существование следует из теоремы Аполлония). В конечном итоге, с учетом повторений, получим шесть новых окружностей. Вкупе с пятью исходными имеем 11 окружностей (см. рисунок слева внизу). Повторим построение для этих 11 окружностей, затем — для окружностей, построенных на следующем этапе (см. рисунок справа внизу), и так далее до бесконечности. Полученные окружности носят название «ковер Аполлония» и представляют собой пример фрактала.

Построение фрактала на основе трех касающихся окружностей.
Сложно представить, что неимоверно сложный ковер Аполлония образуется простым построением окружностей, касающихся друг друга. Если читатель использует воображение, то увидит, что каждая окружность на ковре Аполлония находится среди бесконечного множества касательных окружностей, за исключением внешней, которая содержит в себе все прочие окружности. Более того, на любой дуге любой окружности, сколь малой бы она ни была, находится бесконечно много касающихся ее окружностей. Стандартное обозначение размерности абсолютно неприменимо для описания ковра Аполлония: было бы излишне говорить, что эта кривая имеет размерность 2, то есть ту же размерность, что и содержащая ее плоскость. Тем не менее, учитывая сложность этой кривой, в которой произвольной дуги любой окружности касается бесконечное множество окружностей, было бы преуменьшением сказать, что ее размерность равна 1. Вычислить точную размерность Хаусдорфа для ковра Аполлония невероятно сложно. На данный момент известно лишь ее приближенное значение, равное 1,305688.

Этот ковер Аполлония колоссальных размеров изобразил художник Джим Деневан в пустыне штата Невада.
Пример на основе треугольника
Построим другой фрактал, для которого можно точно определить размерность Хаусдорфа. Это кривая Коха, названная в честь шведского математика Нильса фон Коха, определившего ее в 1906 году. Существует несколько разновидностей этой кривой.
Мы построим кривую Коха, взяв за основу равносторонний треугольник. Для этого разделим каждую его сторону на три равные части и заменим центральный отрезок на каждой стороне двумя сторонами равностороннего треугольника, основанием которого будет этот отрезок. Получим шестиконечную звезду. Повторим построение снова, то есть разделим каждую из двенадцати сторон звезды на три равные части и заменим центральный отрезок на каждой стороне двумя сторонами равностороннего треугольника, основанием которого будет этот отрезок. Для построения кривой Коха эти действия нужно повторить бесконечное число раз.

Четыре первых этапа построения кривой Коха.
Теперь представьте, что кривая Коха — это дорога. Рассмотрим две любые точки на этой кривой (представьте, что это две деревни, расположенные у дороги). Сядем в воображаемую машину и поедем из одной деревни в другую вдоль кривой. Какое расстояние покажет счетчик пробега в конце пути? Если читатель ответит, что расстояние будет зависеть от выбранных точек кривой, то ошибется: независимо от того, какие точки мы выберем, пройденное расстояние всегда будет равно бесконечности.
Иными словами, любой участок кривой Коха имеет бесконечно большую длину — она содержит так много поворотов, что проехать по ней от начала до конца невозможно (см. врезку на следующей странице). Похожими свойствами обладает дорога, проходящая вдоль побережья Галисии в Испании. Расстояние, отделяющее устье реки Миньо и мыс Эстака де Барес, по прямой составляет чуть больше 200 километров. Но попытайтесь проделать этот путь, следуя вдоль побережья, и он покажется вам бесконечным: автомагистраль будет петлять возле каждой реки, идти в объезд всех гор, мысов и заливов. Десять километров, разделяющие устье реки и мыс, превращаются в сто и даже больше, и путь кажется бесконечным. Именно это (пусть и в несколько преувеличенном виде) произойдет, если мы попытаемся проехать вдоль кривой Коха.