Том 12. Числа-основа гармонии. Музыка и математика - Страница 3
* * *
Отношение между длинами двух струн обратно отношению между частотами звуков, издаваемых этими струнами. Например, если звуки разделены квинтой, то есть их частоты относятся как 3:2, то длины этих струн относятся друг к другу как 2:3. Далее мы не будем упоминать о длинах струн, а будем говорить только о частотах звуков.
Так, две ноты, частоты которых равны 440 Гц и 880 Гц, разделены интервалом в одну октаву и настроены в точном соответствии со стандартом для ноты ля. Ноты, частоты которых равны 442 Гц и 884 Гц, также разделены интервалом в одну октаву, хотя настроены не по стандарту. И наконец, ноты, частоты которых равны 443 Гц и 887 Гц, не разделены интервалом в одну октаву. На слух они распознаются как «ненастроенная октава».
* * *
ПРОКЛЯТИЕ АБСОЛЮТНОГО СЛУХА
Абсолютный слух — это способность, позволяющая на слух определять ноты. Если мы нажмем любую клавишу пианино, человек с абсолютным слухом сможет назвать прозвучавшую ноту. Абсолютный слух и музыкальное дарование не связаны между собой. На самом деле многие музыканты страдают от своего абсолютного слуха. Например, в хоровой музыке партитуры часто транспонируют, подстраивая их под тон, в котором будет лучше звучать хор. Песня может исполняться в полном соответствии с партитурой, но на полутон ниже. Исполняемые ноты не совпадут с нотной записью, и музыкант с абсолютным слухом придет в замешательство.

* * *
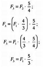
Соотношение между частотами нот позволяет на основе одного известного звука найти другой, отделенный от исходного любым интервалом. Для этого нужно умножить частоту исходного звука на соответствующий коэффициент. К примеру, зная частоту F1 можно найти частоту F2 звука на одну кварту выше, то есть в 4/3 раза больше, следующим образом:
Эту формулу можно последовательно применять несколько раз, используя необходимые множители. Например, если F3 на одну большую терцию больше (отношение частот звуков будет равняться 5/4), чем F2 можно вычислить отношение между F3 и F1 следующим образом:

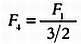
Эти расчеты можно производить и в обратном порядке, используя деление вместо умножения. Например, частота F4, которая на одну квинту ниже F1, вычисляется так:
Музыкальная и численная формы представления интервалов тесно связаны между собой. Далее мы будем использовать и ту, и другую форму в зависимости от контекста.
Настройка пианино
Попробуем определить частоты 12 нот одной октавы пианино.

Будем действовать следующим образом: определив частоту одной ноты ре, зададим частоты всех остальных ре путем умножения или деления этой частоты на 2. Выполним аналогичные действия для всех остальных нот.
Нота до будет иметь нормализованное начальное значение, равное 1. Всем остальным нотам будут соответствовать числа в интервале от 1 (начальное до) до 2 (следующее до). Эти числа будут соответствовать отношению частоты заданной ноты и начального до. Чтобы настроить пианино, нужно определить эти значения для всех нот. В качестве начального значения для расчетов можно выбрать любое число (например, 440 Гцдля ноты ля).
12 нот означают, что начальное и следующее до разделяют 12 «шагов». Каждый из этих шагов называется полутоном. Сначала попробуем решить эту задачу, используя результаты, применяемые пифагорейцами при настройке инструментов той эпохи.
Пифагорейский строй
Пифагорейский строй основывался на простых отношениях между различными звуками. В его основе лежали два интервала: октава, соответствующая отношению между частотами звуков 2:1, и квинта, соответствующая отношению 3:2. Пифагорейцы получали различные звуки с помощью последовательности квинт, затем использовали перенос на одну или несколько октав, чтобы найти частоты звуков в необходимом диапазоне.
В качестве примера начнем с ноты до. Сначала найдем частоту звука, отделенного от этой ноты восходящей квинтой, и получим ноту соль. Повторив эти же действия, получим ре, затем ля, затем ми и, наконец, си. Выполнив смещение на одну нисходящую квинту с начального до, получим ноту фа. Так получаются семь звуков пифагорейского строя:
фа <— до —> соль —> ре —> ля —> ми —> си.
* * *
НАЗВАНИЯ НОТ
Греки дали названия нотам по первым буквам ионийского алфавита. Один и тот же звук, измененный на половину тона или сдвинутый на одну октаву, обозначался разными буквами. Например, нота фа обозначалась буквой альфа, бета обозначала фа-диез, гамма — фа-дубль-диез. Звуки пифагорейского строя располагались в порядке убывания, в современном музыкальном строе они расположены с точностью до наоборот.
Римляне также использовали буквы алфавита для обозначения звуков. Боэций, который в V веке н. э. создал пятитомный труд по теории музыки, рассматривал строй из пятнадцати нот, охватывавших две октавы. Каждую из этих нот Боэций обозначил своей буквой, не учитывая цикличность октав. На следующем этапе, разумеется, эта цикличность стала учитываться в названиях нот, и одни и те же ноты разных октав стали обозначаться одинаковыми буквами.
В так называемой английской (или немецкой) нотации семь нот обозначались заглавными латинскими буквами от А до G, ноты следующей октавы — строчными буквами от а до g, ноты третьей октавы — удвоенными строчными буквами (аа, bb, сс, dd, ее, ff, gg). Так свои названия получили семь звуков, соответствующие белым клавишам фортепиано. Остальные пять звуков, соответствующие черным клавишам, получили производные от основных звуков названия позднее, с появлением понятий «бемоль», «бекар» и «диез».
В XI веке тосканский монах Гвидо д'Ареццо (ок. 995 — ок. 1050) разработал набор мнемонических правил для чтения нот. Возможно, самым известным из них является так называемая гвидонова рука. В этом методе ноты условно располагаются в алфавитном порядке на пальцах руки. Гвидо д'Ареццо также дал названия всем нотам. Он обозначил каждый звук первым слогом в каждой строке очень известной в то время молитвы Иоанну Крестителю:
Utqueant laxis,
resonare fibris,
Mlra gestorum,
famuli tuorum,
Solve polluti,
Labii reatum,
Sancte lohannes.
Позднее слог ut заменился на do. Так появились названия нот, которые используются и сейчас.

Рисунок «гвидоновой руки» из средневековой рукописи.
* * *
Если продолжить цепочку квинт, получится 12 звуков так называемого хроматического строя, составляющие квинтовый круг:
где знаки бемоль (