Теоретические и экспериментальные методы исследования в химии - Страница 1
М.В. Ананьев
Теоретические и экспериментальные методы исследования
Предисловие
Физические и физико-химические методы анализа служат средством контроля производства и качества продукции, эффективности технологических процессов, широко используются в химической, нефтеперерабатывающей, фармацевтической, горнодобывающей промышленности, металлургии, электронике и др., составляют основу научно-исследовательской работы в области материаловедения. Учебно-методическое пособие предназначено для студентов, обучающихся по направлению 240100 «Химическая технология». При подготовке текста автор стремился обобщить представления о современных физических и физико-химических методах анализа в химии, которым традиционно уделяется мало внимания в общем курсе аналитической химии. Для закрепления пройденного материала разработаны контрольные задания.
При чтении научно-технической литературы у студентов довольно часто возникают проблемы с расшифровкой аббревиатур, обозначающих соответствующий метод исследования. Для решения этой проблемы в конце пособия приведен краткий словарь наиболее употребительных аббревиатур с расшифровкой на английском и русском языках.
Учебно-методическое пособие может быть полезно студентам и аспирантам, обучающимся по направлениям «Химия», «Фундаментальная и прикладная химия», «Химия, физика и механика материалов».
1. Введение в теорию планирования эксперимента
Эксперимент занимает главное место среди способов получения информации об исследуемом объекте в естественно-научной области знания, является критерием применимости большинства наших представлений об окружающем мире. Статистически достоверную информацию можно получить только из грамотно спланированного эксперимента.
За последние годы была создана достаточно строгая теория регрессионного анализа, основанная на современной теории вероятностей и математической статистики. Эти теоретические методы позволяют глубже понимать и оценивать результаты, получаемые из эксперимента. К сожалению, регрессионный анализ, несмотря на большие преимущества, не нашел широкого распространения для решения задач, в которых приходится иметь дело с большим количеством независимых переменных или измеряемых величин, а также с экспериментом, требующим значительных временных затрат на его проведение.
Большие возможности открылись после того, как в регрессионный анализ были внесены идеи планирования эксперимента. Планирование эксперимента (Design of Experiment, DoE) – это специальный подход к эксперименту, где математическим методам отводится ведущая роль, когда экспериментатор, основываясь на априорных данных, выбирает оптимальную модель, а на апостериорных – ее корректирует.
Методы планирования эксперимента могут решать принципиально две различные по типу задачи: 1) получить наиболее точную модель, описывающую экспериментальные данные; 2) минимизировать количество экспериментов, дающих возможность описать экспериментальные данные с приемлемой статистической значимостью.
Основными понятиями теории планирования эксперимента являются эксперимент как система операций, воздействий и (или) наблюдений, направленных на получение информации об объекте исследования; план эксперимента как совокупность данных, определяющих число, условия и порядок реализации опытов; отклик как случайная переменная, наблюдаемая в ходе эксперимента; фактор как переменная величина, по предположению влияющая на результаты эксперимента; уровень как фиксированное(ые) значение(я) переменной величины относительно начала отсчета. Совокупность всех точек плана, отличающихся уровнями хотя бы для одного из факторов, образует спектр плана, возможный для экспериментального воплощения. План, содержащий все возможные комбинации всех факторов на определенном числе уровней равное число раз, называется полнофакторным.
Задачей любого планирования эксперимента является подбор коэффициентов некоторой регрессионной модели, описывающей экспериментальные данные. Наиболее употребительными являются так называемые 2n-планы, в которых имеется n-факторов и по два уровня для каждого из факторов: минимальный и максимальный. Наиболее употребительной моделью или функцией отклика для регрессионного описания 2n-плана является полином первого порядка для n-переменных, простейшим случаем которого для одной переменной является уравнение прямой.
Рассмотрим задачу по исследованию влияния температуры и концентрации двух исходных компонентов А и Б в растворе на скорость протекания реакции между ними и выход продукта реакции В. Эксперимент планируется проводить при трех температурах (50, 60 и 70 °C), четырех различных концентрациях компонента А (0,01; 0,02; 0,05 и 0,10 г/л) и двух различных концентрациях компонента Б (0,1 и 0,2 г/л). В этом случае мы имеем два отклика (скорость реакции и выход продукта В); три фактора (температура и концентрации компонентов А и Б); три уровня для фактора-температуры, четыре и два уровня для факторов-концентраций компонентов А и Б, соответственно. Несложно посчитать, что полная комбинация условий будет насчитывать 24 эксперимента при одинарном повторе (реплике) каждого.
В зависимости от типа решаемой задачи с помощью методов планирования эксперимента планы могут отличаться насыщенностью, связанной с разностью между числом точек спектра плана и числом оцениваемых параметров модели. Возможность выполнять эксперимент последовательно, переходя от более простых моделей, как правило, первого порядка, к более сложным (второго и более порядков), определяется свойством плана, называемым его композиционностью.
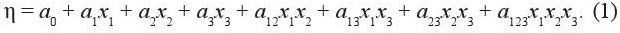
В качестве примера рассмотрим задачу об определении влияния трех факторов (x1, x2 и x3) с двумя уровнями для каждого на один отклик изучаемой системы. Полнофакторный эксперимент для описанного 2n-плана (n = 3) будет включать 8 точек плана. Вид экспериментального плана проще всего наглядно представить в форме так называемого латинского гиперкуба (рис. 1).

Рис. 1. Изображение 23-плана: латинский гиперкуб
Оси графика соответствуют трем факторам эксперимента, каждая точка плана встречается одинаковое количество раз на гранях латинского гиперкуба. Два уровня для каждого из трех факторов соответствуют минимальным и максимальным значениям, которые для удобства математической обработки кодируются как « – 1» и «+1». Использование 2n-плана (n = 3) позволяет применять регрессионную модель первого порядка для трех переменных. Таким образом, функция отклика, η, будет иметь вид (1) с некоторыми коэффициентами ai, требующими определения:
Дополнительные точки плана могут быть введены как для проверки найденной регрессионной модели, так и для ее развития в случае, когда модель первого порядка недостаточна для описания экспериментальных данных. При этом дополнительные точки могут как входить (например, центр плана), так и не входить в область плана первого порядка. В последнем случае эксперимент в них реализуется при установлении факторов за пределами варьирования. План с одной областью планирования можно перестроить в план с другой областью планирования. Чаще всего дополнительные точки подбирают, исходя из двух условий: 1) не выходить за пределы единичного гиперкуба; 2) не выходить за пределы единичной гиперсферы.
Построение плана эксперимента можно интерпретировать как выбор строк матрицы планирования, их числа и последовательности проведения. Этот выбор осуществляется различными способами, что приводит, соответственно, к различным результатам: коэффициенты могут быть оценены с разной точностью, а предсказанные регрессионной моделью значения отклика получатся с разными дисперсиями. В зависимости от того, какие требования предъявляет экспериментатор к модели, возможен переход к той или иной матрице планирования. Формализация этих требований связана с критериями оптимальности.