Темная сторона материи. Дирак. Антивещество - Страница 16
Si = ħ/2 σi
где показатель i относится к любой из трех составляющих х, у, z, а σi представляет собой «матрицы Паули»:

Два возможных значения числа
ms:±ħ/2.
Следующий этап после определения операторов спина был относительно простым для Паули. Электрон на орбите имеет орбитальный кинетический момент и также собственный момент импульса, связанный со спином. Этот момент импульса может приспосабливаться к любому внешнему магнитному полю. Паули приложил свою модель к атому водорода, установив, что наличие спина в гамильтониане приводит к взаимодействию с орбитальным кинетическим моментом электрона.
Теорию Паули ждал большой успех, поскольку она объясняла многие явления, среди которых — аномальный эффект Зеемана и опыт Штерна — Герлаха. Однако сам Паули осознавал слабые места своей теории. Он ввел спин в изначальное уравнение Шрёдингера как простую релятивистскую поправку. Кстати, теория Паули может воспроизвести лишь приближенное выражение (первого порядка) постоянной тонкой структуры Зоммерфельда. Кроме того, уравнение Паули противоречило принципу относительности. Он сам признавал, что «мы вправе требовать от окончательной теории, чтобы она была сформулирована в инвариантной релятивистской форме и позволяла делать расчеты более высокого порядка». Этой дорогой пошел Дирак: он хотел сформулировать уравнение, исходя из основополагающих принципов двух теорий — теории относительности и квантовой теории.
ВОЛЬФГАНГ Э. ПАУЛИ
Вольфганг Эрнст Паули (1900-1958) родился в Вене. В 1918 году он поступил в университет Мюнхена (Германия), где учился под руководством Зоммерфельда. Через два месяца после защиты диссертации Паули опубликовал монографию об общей теории относительности, которую сам Эйнштейн назвал прекрасной.
В 1921 году ученый перебрался в университет Геттингена, где ассистировал Борну. Там он познакомился с Гейзенбергом, с которым после этого у него возникли дружеские отношения на всю жизнь. Через год его пригласили на работу в Институт теоретической физики в Копенгагене, где Паули познакомился с Нильсом Бором. Между 1923 и 1928 годами он преподавал в университете Гамбурга. Именно в этот период были совершены его самые важные открытия в области квантовой теории. В 1924 году Паули ввел квантовое число, относящееся к спину, а в 1925-м опубликовал свою самую знаменитую статью о принципе запрета.

Квантовая физика и строгость
После появления первой работы Гейзенберга по квантовой механике Паули активно участвовал в выстраивании новой теории: он описал спектр атома водорода, развил собственную версию квантовой теории электромагнитного поля и ввел первое описание спина. В 1928 году его назначили профессором теоретической физики в Цюрихской высшей электротехнической школе (Швейцария), где после этого Паули провел всю оставшуюся жизнь (за исключением периода 1940-1945 годов, когда он эмигрировал в США и преподавал в Институте высших исследований Принстона). В 1930 году Паули выдвинул гипотезу существования новой частицы — нейтрино, — однако ее обнаружения пришлось ждать более 20 лет. Среди коллег Паули пользовался репутацией «очень критичного» ученого. Один из его типичных комментариев по поводу работ, которые он считал недостаточно обоснованными, был таким: «Это даже не дотягивает до ошибочного». Паули был одержим всем тем, что было связано с основами квантовой теории. Суровый критический взгляд, касающийся и его собственных трудов, а также глубочайшие познания в физике, наверное, помешали ему создать более оригинальные работы.
УРАВНЕНИЕ ДИРАКА
Журнал Proceedings of Royal Society 2 января 1928 года получил через Фаулера статью Дирака под названием «Квантовая теория электрона», где автор писал:
«В статье показано, что недостатки предыдущих теорий (уравнение КГ и теория спина Паули) связаны с их несовместимостью как с относительностью, так и с общей теорией преобразований квантовой механики. Похоже, что самый простой гамильтониан для точечного электрона, соблюдающий основополагающие принципы относительности и теории преобразований, позволяет объяснить все экспериментальные результаты без дополнительных допущений».
Приведенный выше абзац раскрывает ход рассуждений Дирака в процессе выстраивания релятивистского уравнения. С одной стороны, уравнение должно соблюдать основополагающие принципы квантовой теории в том виде, в котором они сформулированы в теории преобразований: «Изначальное состояние системы полностью определяет ее состояние в последующий момент». Это означает, что волновое уравнение должно было быть дифференциальным уравнением первого порядка по времени. Так волновая функция в любой момент четко определяет волновую функцию в последующий момент. Данная формулировка, согласующаяся с уравнением Шрёдингера, но уводящая в сторону от уравнения КГ, ведет к вероятностной плотности, определяемой положительным значением. Этот результат кроме того связан с другим важным аспектом теории преобразований Дирака: гамильтониан системы должен быть самосопряженным оператором (эрмитовым оператором). Такое свойство гарантирует, что собственные значения оператора, то есть значения полной энергии системы, будут действительными.
С другой стороны, Дираку следовало учитывать принцип относительности. Квантовое релятивистское уравнение должно было действовать для любой инерциальной системы отсчета. Но как этого добиться? Решение Дирака своей красотой и простотой подтверждает его огромный творческий гений. В рамках релятивистской теории время и пространственные координаты являются составляющими «четырехмерного вектора пространство — время». Дирак заключил из этого, что нет причин обращаться по-разному с двумя видами переменных в квантовом волновом уравнении. Наоборот, если волновое уравнение должно было быть, согласно квантовой теории, уравнением первого порядка по производной по времени, то релятивистская теория требовала введения пространственных переменных в виде их первых производных. Это симметричное обращение со временем и пространством согласовывалось с релятивистской формулировкой, но уводило от нерелятивистского уравнения Шрёдингера, в котором временные и пространственные переменные появлялись по-разному: производная первого порядка по времени и второго порядка по пространственным переменным. Дирак считал симметрию главным условием релятивистской теории, которая в свою очередь должна согласовываться с релятивистским выражением для энергии:
E = √(c2 р2 + m2с4) (свободная частица).
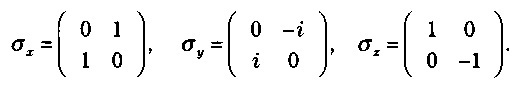
САМОСОПРЯЖЕННЫЕ ОПЕРАТОРЫ (ЭРМИТОВЫ ОПЕРАТОРЫ) И МАТРИЦЫ ПАУЛИ
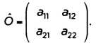
Самосопряженные операторы (эрмитовы операторы) важны для квантовой теории, поскольку присущее им собственное значение является действительным. В случае оператора Гамильтона «самосопряженность» гарантирует нам, что энергия системы, которую мы изучаем, будет действительной. Оператор называют самосопряженным, когда он совпадает со своим сопряженным. Возьмем общий случай квантового оператора, представленного в матричной форме матрицы 2x2:

Сопряженный оператор задан матрицей, выстроенной из изначальной матрицы, в которой изменяются строки и столбцы, и каждый элемент заменен комплексно-сопряженным ему элементом. Такая матрица называется сопряженной:
