Темная сторона материи. Дирак. Антивещество - Страница 10
Таким образом, алгебра q-чисел появилась как альтернатива матричной механике. С момента публикации первой статьи Гейзенберга Дирак почти все свое время посвящал разработке собственной системы, стремясь показать, что его подход способен объяснить основные результаты, полученные в субатомном мире. Однако он занимался столь упорно, что не успевал обращать внимание на новые формулировки квантовой механики. Работы Дирака этого периода были приняты научным сообществом физиков с большим уважением, но произвели меньшее впечатление, нежели работы Гейзенберга, Борна и Йордана. Вникнуть в суть работы Дирака было нелегко, многим коллегам его стиль казался непонятным. Например, физик Джон Слейтер не скрывал своей неудовлетворенности:
«Существует два типа теоретических физиков. Первый объединяет таких людей, как я, — прозаичных и прагматичных, всегда пытающихся говорить и писать как можно яснее. Второй состоит из «волшебников», жестикулирующих так, словно сейчас достанут из шляпы кролика (как Дирак), и находящих удовлетворение только тогда, когда их тексты и объяснения выглядят глубоко таинственными ».
Начиная с весны 1926 года внимание всех, кто интересовался квантовой теорией, было приковано к университету Цюриха. Именно там практически никому не известный физик Эрвин Шрёдингер (1887-1961), до этого времени не принимавший никакого участия в разработке квантовой теории, предложил свой формализм квантовой механики. Большинству физиков того времени его описание показалось гораздо более понятным, нежели сложные матричные и алгебраические языки, использовавшиеся до тех пор.
ВОЛНОВАЯ МЕХАНИКА ШРЁДИНГЕРА
Дирак, по всей видимости, впервые услышал о новой теории Шрёдингера тогда же, когда была опубликована его первая статья, — во время приезда Зоммерфельда в Кембридж в марте 1926 года. Но тогда он был слишком погружен в разработку собственного формализма квантовой теории, чтобы уделять достаточно внимания новым предлагаемым подходам. Кстати, Дирак не был впечатлен волновым уравнением Шрёдингера, которое поначалу счел обратной стороной теории Луи де Бройля, уже оставшейся в прошлом. Вот как Дирак писал об этом:
УРАВНЕНИЕ ШРЁДИНГЕРА

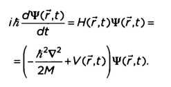
В теории Шрёдингера состояние квантовой системы определяется через сложную математическую функцию, называемую волновой функцией Ψ, которая зависит от времени и всех координат, определяющих наблюдаемую систему. Уравнение Шрёдингера представляет собой дифференциальное уравнение первого порядка. Оно включает зависимость от времени, которая выглядит следующим образом:

Переменная Н является функцией Гамильтона, которая включает в себя всю информацию об общей энергии системы — кинетической и потенциальной. Кинетическая энергия (связанная с движением) определяется дробью

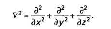
где М является массой системы, а
— оператором Лапласа:

Наконец, величина V(ŕ,t) означает потенциальную энергию. Когда гамильтониан не зависит от времени, уравнение Шрёдингера может быть решено через определение того, что мы называем «стационарными состояниями». Независимое от времени уравнение Шрёдингера позволяет определить волновую функцию, зависящую от пространственных переменных:

В данном случае (то есть в стационарном состоянии) гамильтониан, действуя на волновую функцию, выражает общую энергию системы. Иначе говоря, энергия Е составляет собственную величину гамильтониана. Уравнение Шрёдингера несовместимо с теорией относительности. Мы увидим, что способ введения пространственно-временных переменных в уравнение разнится. Если время появляется как производная первого порядка, то пространственные координаты выражаются производными второго порядка. Этот аспект противоречит неотъемлемому принципу теории относительности — симметричному обращению с четырьмя составляющими (тремя пространственными составляющими и одной временной), которые образуют «четырехмерный вектор пространство — время».
«Сначала я испытал некоторую враждебность по отношению к теории Шрёдингера. Зачем надо было возвращаться к состоянию, предшествовавшему Гейзенбергу, если уже была квантовая механика? Меня глубоко беспокоил риск возврата назад и, возможно, забвения всего прогресса, осуществленного квантовой теорией. На протяжении некоторого времени я испытал настоящую враждебность по отношению к идеям Шрёдингера».
Доказательством полного отсутствия интереса к формализму Шрёдингера служит тот факт, что Дирак никак не упомянул о нем в диссертации, которую представил в мае 1926 года.
Несмотря на сдержанность Дирака, волновую механику ждал огромный успех, большинство физиков того времени были рады забыть сложный и непонятный язык матриц и q-чисел ради простоты дифференциального уравнения Шрёдингера. В серии статей, опубликованных весной-летом 1926 года, Шрёдингер сформулировал основы своей новой теории, учитывающей энергетические уровни атома водорода. У него вся информация о системе заключалась в «волновой функции» — сложной математической функции, значение которой тогда не было очевидным.
Язык Шрёдингера сильно отличается от языка, используемого Гейзенбергом, Борном и Йорданом, а также Дираком. Это расхождение в теориях, описывающих и объясняющих одни и те же природные явления, особенно трудно было принять Дираку, который всегда пытался найти последовательное и единое описание субатомного мира. Физическую интерпретацию волновой функции дал Борн летом 1926 года. Сегодня она известна как «вероятностная интерпретация». Согласно ей «плотность вероятности нахождения частицы характеризуется квадратом волновой функции». Что касается соотношения обеих теорий — волновой и матричной механики, — сам Шрёдингер доказал их математическую эквивалентность в третьей статье. Похоже, Паули доказал это немного раньше, хотя ничего на данную тему не опубликовал.
ДИРАК И ВОЛНОВАЯ МЕХАНИКА
Доказательство математической эквивалентности волновой и матричной теории, или алгебры q-чисел, развеяло все сомнения, которые Дирак еще мог испытывать по поводу нового формализма. С тех пор ученый занял очень прагматичную позицию и признал, что некоторые проблемы значительно легче решаются с помощью волновой механики.
Так, очень скоро Дирак опубликовал новую статью под названием «О теории квантовой механики», в которой впервые использовал волновую теорию и применил ее к системам тождественных частиц.
Что такое «тождественные частицы» в квантовой теории и в чем именно состоит вклад Дирака? Чтобы ответить, нам надо ненадолго вернуться в предыдущий 1925 год и задаться другим вопросом: почему мы можем объединять химические элементы в определенные группы по их химическим свойствам? Паули объяснил, что химические свойства являются следствием того, каким образом электроны располагаются на соответствующих орбитах. Каждый электрон описывается серией квантовых чисел, характеризующих волновую функцию. Эти квантовые числа определяют энергию электрона, его орбитальный момент и новое свойство, которое пришлось ввести для объяснения результатов последних опытов, — «спин» (мы подробно рассмотрим его в следующей главе). Паули сформулировал следующий принцип: