Стратегический менеджмент: учебное пособие - Страница 4

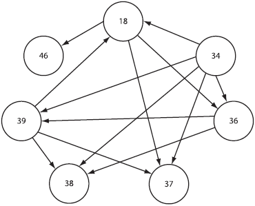
Выявление корневой проблемы предприятия (номера обозначают место конкретной проблемы в общем неупорядоченном перечне проблем предприятия): 18 – нет стратегии, обеспечивающей подготовку и повышение квалификации кадров; 34 – низкая требовательность и слабая ответственность руководителей снижают экономические результаты; 36 – система оплаты труда недостаточно мотивирует работников; 37 – отсутствие сопричастности к общему делу не формирует социокультурных ценностей; 38 – неравномерна загрузка ИТР, есть «случайные» люди; 39 – отдел кадров не ведет базу данных «лучших» сезонных рабочих; 46 – расположение ДРСУ в г. Владимире при подъеме экономики ведет к оттоку квалифицированных кадров
В результате получаем граф проблем организации, из которого следует, чем заниматься организации в первую, во вторую и в третью очередь.
Главная проблема организации требует стратегических решений, что предопределяет формулирование соответствующих целей.
2.2. Целеобразование в организациях
Если целеполагание системы определяется как сочетание целей существования каждого ее элемента (создание системы целей), то создание структуры целей системы позволяет описать структурно-функциональную зависимость элементов в целом образовании (системе). Определение такой зависимости является основой для выявления закономерностей структурного образования конкретной системы и описания ее формальными методами системного анализа.
Описание системы в виде структуры целей, их связей и отношений лежит в основе системного исследования любого сложного объекта, изучения его состояния, поведения и управления процессом его движения к образу идеального состояния[8].
Организация как смешанная система относится к многоцелевой системе. Одна из возможных моделей целей системы приведена в табл. 1.3. Назначение указанной таблицы состоит в том, чтобы продемонстрировать положение, в соответствии с которым, содержание целей системы меняется в зависимости от того, что становится объектом и предметом целеобразования. Другая задача – показать, на что могут быть направлены цели.
Таблица 1.3
Модель состава целей

Содержание таблицы показывает, что организация как система стремится к пассивной устойчивости и функционированию независимо от существования внешней среды. Внешняя среда организации в лице конкурентов и потребителей продукта (услуги) вынуждает ее реагировать на их запросы методами оперативного управления. Если субъекты управления ставят перед собой цели, ориентированные на будущее и способные изменить внешнюю среду, то организация способна инициировать необходимые ей события для совершения прорыва и наступления на конкурентов.
Таким образом, содержание целей определяется не только субъектом управления, но и самим объектом и предметом целеобразования. Например, цель «Повышение производительности труда» определяется не только амбициями менеджеров, но и квалификацией работников организации и техническим оснащением менеджеров и работников.
2.3. Построение «дерева целей»
Универсальных правил постановки целей не существует. Основные требования, предъявляемые к формулированию целей, сводятся к тому, что они должны быть конкретными, точными, полными и непротиворечивыми.
Конкретность целей обеспечивается предметной направленностью, адресностью и временной определенностью (задаются начало, конец и порядок достижения целей), например рост производительности труда в технологии упаковки товара на 6% в течение двух лет.
Состав и полнота целей зависят от специфики объекта и условий внешней среды, которая служит источником формирования целей, например рост производительности труда на 6% в течение двух лет посредством использования новых материалов, появившихся на рынке в текущем году.
Цели должны рассматриваться во взаимосвязи с сопряженными задачами, для того чтобы обеспечить их непротиворечивость и согласованность в стремлении рационально распределить имеющиеся ресурсы. Пример такого рода: рост производительности труда на 6% в течение двух лет за счет использования новых материалов, что обеспечит отгрузку в срок возрастающего объема производимой продукции.
Достижимость целей проверяется с помощью оценки имеющихся экономических, юридических, социальных психологических и иных препятствий. Продолжим пример: рост производительности труда на 6% в течение двух лет должен сопровождаться получением банковского кредита и страхованием лизинга нового оборудования, а также повышением квалификации технологов упаковочного производства.
Для оценки степени достижения цели необходимо обеспечить измеримость поставленной цели, которая может быть как количественной, так и качественной, например предусмотреть рост производительности труда на 6% в течение двух лет, для чего разработать бизнес-план модернизации упаковочного производства и показатели успешности его реализации.
Гибкость целей проявляется в возможности их корректировки в силу изменений, происходящих во внутренней и внешней среде системы, например в обеспечении роста производительности труда на 6% в течение двух лет реализации бизнес-плана модернизации упаковочного производства, предусмотрев закупку оборудования, которое может быть использовано универсально.
Рассматривая цель как целостный объект, важно установить ее структуру, графическая модель которой представляет собой древовидный граф («дерево целей»). В этом случае цель декомпозируется на подцели, а число иерархических уровней определяется субъектом целеполагания, исходя из стоящей перед ним задачи.
Процедура структуризации цели состоит в вычленении в решаемой проблеме базовых элементов и в установлении связей между ними, что позволяет формализовать проблемную ситуацию.
Процедура разработки «дерева целей» представляет собой длительный процесс с различными уточнениями и согласованиями, а выбор самой процедуры зависит от специалиста, решающего проблему.
• Начинается построение «дерева целей» с формулирования главной цели, которая отражает проблемную ситуацию в целом.
• Соблюдая принцип «от общего к частному» – выполняют редукцию (разделение) цели на части (подцели).
• Иерархичность целей обеспечивается тем, что цели нижнего уровня вытекают из вышестоящих целей и подчиняются им, т.е. средства к достижению цели являются ее подцелями и, в свою очередь, становятся целями для следующего ниже уровня иерархии.
• Полнота декомпозиции обеспечивается тем, что на каждом уровне иерархии формулируется полный перечень подцелей. Понятно, что каждая цель декомпозируется не менее чем на две подцели.
• Необходимо стремиться к тому, чтобы иметь общую шкалу измерений для каждого уровня иерархии.
Цели, представленные на уровнях иерархии, должны быть гибкими, предусматривать возможность корректировок и изменений (и в процессе построения «дерева целей», и в процессе изменений внешней и внутренней среды, и в процессе реализации).
Завершается процедура построения «дерева целей» на том уровне декомпозиции, на котором удается разработать альтернативные способы достижения цели.
2.4. Стратегическая система целей
Игорь Ансофф[9], рассматривая отличительные черты стратегии, приводит такое определение ее самой и ее ориентира (видения): «Ориентир представляет собой цель, которую стремится достичь фирма, а стратегия – средство для достижения цели».
Но из теории систем известно, что, перефразируя определение, средство для достижения цели есть система. Отсюда следует, что стратегия есть система достижения цели. Попробуем выдвинутый тезис обосновать, анализируя структуру целей организации.