Стой, кто ведет? Биология поведения человека и других зверей - Страница 17
Стероиды отличаются от пептидов не только химически, но и физиологически. Во-первых, увеличение концентрации пептидных гормонов в крови можно зарегистрировать через несколько секунд после стимулирующего воздействия. Рост концентрации стероидов в крови отмечается только через несколько минут после стимуляции. Во-вторых, время полужизни пептидов в крови составляет от одной до двух минут, а стероидов – десятки минут. Это связано с тем, что распад пептидов происходит с помощью ферментов крови, а метаболизм стероидов протекает главным образом в печени. Большая химическая стабильность стероидов позволяет определять их содержание не только в крови, но и в слюне, моче и экскрементах, что очень удобно для полевых исследований физиологии диких животных. В-третьих, пептиды неэффективны при введении в рот, так как разрушаются пищеварительными ферментами, а стероиды, поступая в организм с пищей, всасываются в кровь в желудочно-кишечном тракте. Наконец, и это самое важное, стероиды свободно проникают в ЦНС, а пептидные гормоны – с трудом. Это связано с наличием гемато-энцефалического барьера, обеспечивающего постоянство химической среды ЦНС. Некоторые гормоны (например, адреналин) совершенно не проникают в ЦНС из крови, а для других (например, окситоцина) существуют специальные системы транспортных белков, которые работают с ограниченной скоростью.

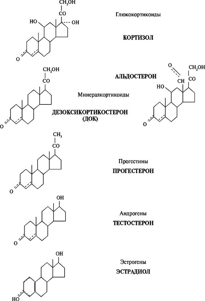
Рис. 2.4. Пять семейств стероидов. На основании строения молекул все стероиды разделены на пять семейств, биологические свойства которых тоже различны. Приведены химические формулы представителей пяти семейств стероидных гормонов. Следует обратить внимание на большое сходство строения гормонов, сильно различающихся по своему биологическому эффекту
Стероиды синтезируются из общего предшественника – холестерина – и делятся на пять семейств: глюкокортикоиды, минералокортикоиды, прогестины, андрогены (мужские половые гормоны) и эстрогены (женские половые гормоны) (рис. 2.4 и 2.5). Несмотря на общий план строения стероидов, почти каждое семейство является функциональным антагонистом остальных. Например, прогестины препятствуют проявлению эффектов всех остальных четырех групп стероидов.

Рис. 2.5. Схема биосинтеза стероидов. Заглавными буквами выделены основные представители семейств. Следует обратить внимание на метаболическую близость стероидов с различным биологическим действием, т. е. на потенциальную легкость превращения одного стероида в другой. Эта метаболическая близость имеет практическое следствие: при стрессе увеличивается секреция не только глюкокортикоидов, но и других стероидов. У разных индивидуумов при стрессе увеличивается секреция стероидов разных семейств
Стероидные гормоны синтезируются в двух железах: корковом слое надпочечников и гонадах (половых железах). В коре надпочечников синтезируются главным образом минералокортикоиды и глюкокортикоиды. Поэтому эти два семейства вместе называют кортикостероидами. Прогестины, андрогены и эстрогены в основном синтезируются в гонадах.
В коре надпочечников отсутствуют нервные окончания, соответственно, синтез гормонов в этом органе регулируется только гуморальным путем. Кора надпочечников делится на три слоя, в каждом из них синтезируется особый тип стероидных гормонов.
В клубочковой зоне синтезируются минералокортикоиды – альдостерон (основной у человека) и дезоксикортикостерон (с меньшим влиянием на солевой обмен, но с психотропной активностью).
Функции: как следует из названия, регуляция водно-солевого обмена (задерживают в организме натрий и увеличивают выделение калия); усиление воспалительных процессов.
Регуляция: основной регулятор содержание калия и натрия в крови. Стимуляция синтеза при снижении концентрации натрия в диете. Кроме того, в регуляции секреции минералокортикоидов участвуют и другие гуморальные агенты: факторы, синтезируемые в печени (ренин-ангиотензиновая система, которая активируется при стрессе), вазопрессин, окситоцин. Торможение минералокортикоидной активности коры надпочечников осуществляется эндорфинами.
В пучковой зоне синтезируются глюкокортикоиды, главными из которых у человека является кортизол, а у крыс и мышей – основных лабораторных животных – кортикостерон.
В коре надпочечников синтезируются минералокортикоиды и глюкокортикоиды. Синтезируются и все другие стероиды
Функции: обмен углеводов; противовоспалительное и противоаллергическое действие; множественные влияния на эффекты других гормонов, в первую очередь гормонов гипоталамо-гипофизарной системы. Кортизол – функциональный антагонист прогестерона.
Регуляция: АКТГ – основной стимулятор. Кроме того, синтез кортизола увеличивается вазопрессином и факторами, секретируемыми в мозговом слое надпочечников. Гуморальные факторы, тормозящие синтез и секрецию кортизола, неизвестны.
Уровень глюкокортикоидов в крови – самый распространенный показатель стресса.
Адаптивное значение глюкокортикоидов было показано Гансом Селье в 1930-е гг. (см. главу 4). Уже в годы Второй мировой войны экстракты коры надпочечников использовались в немецкой армии в качестве стимуляторов (например, летчиками перед пикированием). Материал – бычьи надпочечники – вывозили подводными лодками из Аргентины.
В сетчатой зоне коры надпочечников синтезируются мужские и женские половые гормоны. Половые стероиды делятся на три группы, которые удобнее рассмотреть отдельно – для мужского и женского организма.
В мужских гонадах синтезируются андрогены, в женских – эстрогены и прогестины
В мужском организме прогестерон, который относится к прогестинам, синтезируется только в надпочечниках; его функции и регуляция его синтеза изучены плохо. Известен только лишь противотревожный эффект прогестерона. Секреция эстрадиола, основного женского полового гормона, тоже происходит только в надпочечниках. Помимо влияния на обмен веществ, эстрадиол, возможно, участвует в организации родительского поведения.
На тестостерон приходится 90 % общей продукции андрогенов. Основное место синтеза – мужские гонады (половые железы). Под влиянием тестостерона идет созревание сперматозоидов, формируются вторичные половые признаки, проявляется половое поведение. Тестостерон усиливает обмен веществ, в частности синтез белка, в первую очередь в нервной и мышечной ткани. Тестостерон играет ключевую роль в процессе формирования организма – на эмбриональном этапе, в детстве и во время полового созревания. Секреция тестостерона усиливается под действием ЛГ.
В женском организме прогестерон является основным гормоном, который вырабатывается во время беременности, в частности он расслабляет мускулатуру матки. Прогестерон усиливает основной обмен веществ и повышает температуру тела. Основной психотропный эффект прогестерона (точнее, его метаболитов) – противотревожное действие.
Эстрадиол, помимо влияния на женскую репродуктивную систему, воздействует на обмен веществ, в частности на рост костной ткани, усиливает задержку азота в организме, участвуя в водно-солевом обмене, обладает противовоспалительной активностью и стабилизирует работу сердечно-сосудистой системы. Психотропные эффекты эстрадиола у женщин обусловлены в первую очередь его организующим влиянием на созревающий мозг женского организма (см. главу 8). Основной регулятор, стимулирующий секрецию эстрадиола, – лютеинизирующий гормон.
Тестостерон обеспечивает у женщин половое влечение, стимулирует рост волос на лобке и в подмышечных впадинах, а также увеличение мышечной массы.