Статистика: конспект лекций - Страница 5
2. Построение дискретных вариационных рядов производится в следующей последовательности:
1) располагают варианты изучаемого признака в ранжированном порядке;
2) производят разноску единиц совокупности по вариантам (группировкам). Для этого строят таблицу;
3) подсчитывают количество единиц в каждой группе, т.е. определяют частоту каждого варианта. Частоты можно заменять частостями или использовать накопленные частоты (частости).
3. Построение интервального вариационного ряда производится в следующей последовательности:
1) выбирают оптимальное число групп (интервалов признака), на которые следует разбить совокупность. Число групп выбирается так, чтобы отразить многообразие значений признака в совокупности. Число групп устанавливается по формуле: к= 1 + 3,32lg N = 1,44 × lnN+ 1 (формула Стерджесса), где к– число групп; N — численность совокупности;
2) устанавливают длину интервала (шаг), которую рассчитывают по формуле:

3) определяют границы всех интервалов. Нижняя граница первого интервала принимается за хmin, верхняя граница первого интервала находится по формуле: xmin + h.
В качестве нижней границы второго интервала принимается верхняя граница первого, а верхнюю границу второго интервала получают прибавлением к верхней границе шага h. Процедуру повторяют до тех пор, пока не будут определены границы последней группы;
4) разносят единицы совокупности по интервалам;
5) подсчитывают единицы совокупности в каждом интервале.
Если полученные указанными выше способами группировки не удовлетворяют требованиям анализа, то производят перегруппировку. Ряды распределения используются в статистике как средство систематизации и упорядочивания материалов наблюдения, как метод изучения структуры явлений, анализа самих распределений и вариативности группировочного признака.
13. Графическое изображение вариационных рядов
Табличное распределение частот вариационного ряда обычно дополняют его графическим представлением. Схематически все множество графических представлений статистических данных разделяют на два класса: диаграммы и линейные изображения. К классу линейных графиков относятся полигон распределения, кумулятивная кривая, кривая концентрации, огива. К классу диаграмм относится гистограмма.
Вариационные ряды могут изображаться графически путем построения полигона распределения, гистограммы, кумуляты.
Для графического изображения дискретного вариационного ряда строится xmin полигон распределения xmin в прямоугольной системе координат. На оси абсцисс проставляются варианты, на оси ординат – частоты. На пересечении каждой абсциссы и ординаты строятся точки, которые затем соединяются отрезками прямой. Крайние точки соединяются с осью абсцисс в точках, отстоящих от минимального и максимального варианта на одно деление. Полигоном частот называют ломаную, отрезки которой соединяют точки (x1, f1, …,(xnfn). Иногда крайние точки соединяют с точками, имеющими нулевую ординату. Полигоном относительных частот называют ломаную, отрезки которой соединяют точки (x1, w1), …, (xn, wn), где

Интервальные вариационные ряды изображаются в виде гистограммы. На оси абсцисс откладываются отрезки, соответствующие длине интервала h. На каждом отрезке строятся прямоугольники, одна сторона каждого из них лежит на оси абсцисс, длина второй стороны соответствует частоте fi или плотности
Любой вариационный ряд можно изобразить графически в виде кривой накопленных частот – кумуляты. На оси абсцисс откладываются либо варианты, либо границы интервалов. Наоси ординат– накопленная частота. Получают точки при пересечении каждой пары абсциссы и ординаты, которые соединяют плавной кривой.
Кумулятивная кривая (кривая сумм) – ломаная, составленная по последовательно суммированным, т.е. накопленным частотам или относительным частотам. При построении кумулятивной кривой дискретного признака на ось абсцисс наносятся значения признака, а ординатами служат нарастающие итоги частот. Соединением вершин ординат прямыми линиями получают кумуляту. При построении кумуляты интервального признака на ось абсцисс откладываются границы интервалов и верхним значениям присваивают накопленные частоты. Кумулятивную кривую называют полигоном накопленных частот.
Если на ось ординат нанести значение признака, а на ось абсцисс – накопленные частоты, то получим кривую, называемую огивой.
14. Показатели, характеризующие вариационные ряды
Вариацией признака называется различие индивидуальных значений признака внутри изучаемой совокупности. Вариация возникает в результа-те того, что индивидуальные значения признака складываются под совокупным влиянием разнообразных факторов. Средняя величина дает обобщающую характеристику признака изучаемой совокупности, но не показывает строения совокупности, которое весьма существенно для ее познания.
Размах вариации – разность между наибольшим хmax и наименьшим хmin значениями вариантов изучаемого признака: R = xmax– xmin.
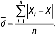
Чтобы дать обобщающую характеристику распределению отклонений, исчисляют среднее линейное отклонение
Среднее линейное отклонение определяется как средняя арифметическая из отклонений индивидуальных значений от средней, без учета знака этих отклонений:

Если данные наблюдения представлены в виде дискретного ряда распределения с частотами, среднее линейное отклонение исчисляется по формуле средней арифметической взвешенной:

Дисперсия – это средняя арифметическая квадратов отклонений каждого значения признака от общей средней. Дисперсия обычно называется средним квадратом отклонений и обозначается σ2. В зависимости от исходных данных дисперсия может вычисляться по простой или взвешенной средней арифметической:
1)

2)

Среднее квадратическое отклонение представляет собой корень квадратный из дисперсии и обозначается о. Вычисляется оно следующим образом:
1)

2)

15. Понятие о статистическом наблюдении
Статистическое наблюдение – массовое, планомерное, научно организованное наблюдение за явлениями социальной и экономической жизни, которое заключается в регистрации отобранных признаков у каждой единицы совокупности.