Справочник по морской практике - Страница 20
Тросы тросовой работы обычно изготовляются правой крутки (прямого спуска). Тросы левой крутки (обратного спуска) изготовляются только по особому заказу. Т р о с ы к а б е л ь н о й р а б о т ы (рис. 4.11, б) получаются путем крутки в левую сторону трех или четырех тросов тросовой работы правой крутки – стренд-ней. В 4-стрендном тросе имеется центральный сердечник того же назначения, что и в 4-прядном тросе.

Рис. 4.11. Растительные тросы:
а – трехпрядный трос тросовой работы правой крутки (прямого спуска); б – четырехпрядиый трос правой крутки; в – трехстрендный трос кабельной работы (отворотный); 1 – пряди; 2 – волокна; 3 – стрендь; 4 – каболки; 5 – сердечник
В зависимости от длины окружности и способа изготовления растительные тросы называются:
– шнуры – с длиной окружности от 8,8 до 37,7 мм;
– лини – с длиной окружности до 25 мм тросовой и до 35 мм кабельной работы;
– тросы – с длиной окружности от 25 до 100 мм тросовой и от 35 до 100 мм кабельной работы;
– перлини – тросы тросовой работы с длиной окружности от 100 до 150 мм;
– кабельтовы – тросы кабельной работы с длиной окружности от 150 до 350 мм;
– канаты – тросы кабельной работы с длиной окружности свыше 350 мм.
Растительные тросы применяются практически всюду, где требуется значительная гибкость.
Пеньковые тросы изготовляются из пеньки (обработанные волокна конопли). Тросы тросовой работы бывают бельными (из непросмоленных каболок) и смолеными. Тросы кабельной работы бывают только смолеными.
Каболки смолятся горячей древесной смолой. При нормальном просмоле вес смоленого троса увеличивается по сравнению с несмоленым до 18%. Излишнее содержание смолы делает трос хрупким, менее гибким и более тяжелым. Несмоленый трос по сравнению со смоленым больше подвержен воздействию влаги и быстрее загнивает.
По техническим показателям в зависимости от сорта и качества сырья пеньковые тросы тросовой работы как несмоленые, так и смоленые подразделяются на четыре группы: особого назначения, специальные, повышенные и нормальные. Тросы кабельной работы изготовляются только двух групп: повышенные и нормальные.
Наибольшее распространение на кораблях имеют 3-прядные тросы тросовой работы прямого спуска несмоленые и смоленые особого назначения и специальные.
Пеньковые тросы тросовой работы несмоленые и смоленые вырабатываются окружностью от 30 до 350 мм. Тросы окружностью до 275 мм изготовляются длиной 250±10 ж, а окружностью свыше 275 мм – длиной 200±8 м. Тросы кабельной работы изготовляются окружностью от 150 до 450 мм и длиной одного конца 100 ±4 м.
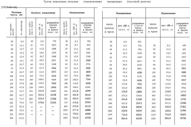
Относительное удлинение тросов без нарушения прочности 8–10%. Это делает их пригодными для работ с резкими изменениями натяжения. Пеньковые тросы выпускаются по Г О С Т 483–55 (табл. 4.11–4.13).

Т а б л и ц а 4.11

Т а б л и ц а 4.12

Т а б л и ц а 4.13
Манильские тросы изготовляются из манильской пеньки – волокон дикорастущего банана – абака. Они выпускаются несмолеными. Цвет золотисто-коричневый. Тросы мало намокают и не тонут в воде, под влиянием влаги не теряют эластичности и гибкости, быстро сохнут и поэтому мало подвержены гниению. Прочность их несколько больше прочности пеньковых несмоленых тросов. Манильские тросы удлиняются без потери прочности на 20–25%.
По техническим показателям манильские тросы подразделяются на повышенные и нормальные и изготовляются 3- и 4-прядные окружностью от 30 до 350 мм. Длина бухты (целого конца) 250±10 м. Выпускаются по Г О С Т 1088–41 (табл. 4.14).

Т а б л и ц а 4.14
Сизальские тросы изготовляются из сизальской пеньки – волокон листьев тропического растения агавы. Выпускаются несмолеными. Цвет светло-желтый. От манильских тросов отличаются меньшей упругостью и прочностью, большей хрупкостью и способностью впитывать влагу. Относительное удлинение тросов около 20%.
По техническим показателям сизальские тросы подразделяются на повышенные и нормальные и изготовляются окружностью от 20 до 350 мм. Длина бухты 250±10 м. Выпускаются по Г О С Т 1088–41 (табл. 4.15).

Т а б л и ц а 4.15
Лини – крученые изделия в виде тонких отдельных прядей или тросов тросовой работы. Лини изготовляются из несмоленых и смоленых каболок; каболки в линях называют нитями.
Все лини, за исключением шкимушгара, изготовляются из пеньки хорошего качества, ш к и м у ш г а р – из низкосортной пеньки. Ш к и м у ш к а – линь, скрученный вручную из любого числа нитей. В о р с а – обрубок старого троса, распущенного на каболки. Лини толщиной 18, 20, 22, 25 мм, диплотлини и лаглини изготовляются длиной не менее 200 м, остальные – не менее 100 м. Лини выпускаются по Г О С Т 1091–41 (табл. 4. 16).

Т а б л и ц а 4.16
Шнуры плетеные льняные (фалы) изготовляются путем переплетения 8 прядей, состоящих из нескольких льняных ниток. Толщина шнуров от 8,8 до 37,7 мм, длина – от 200 до 600 м. Шнуры в зависимости от назначения и сорта ниток делятся на особо ответственные – из пошивочных ниток № 14, 5/4 и ответственные – из пошивочных ниток № 10/3. Шнуры выпускаются по О С Т Н К Л П 7628/778 (табл. 4.17).

Т а б л и ц а 4.17
Измерение растительных тросов, их вес, разрывная и рабочая крепость. Т о л щ и н а растительного троса измеряется по длине окружности в миллиметрах. В е с 1 пог. м троса W в кг можно выбрать из Г О С Т и определить по формулам: – пенькового несмоленого особого назначения и специального
– пенькового смоленого особого назначения и специального
– манильского
– сизальского
где С – длина окружности троса, см. Р а з р ы в н а я к р е п о с т ь троса R в кгс
где К – коэффициент прочности (табл. 4.18);
С – окружность троса, мм.

Т а б л и ц а 4.18. П р и м е ч а н и е . Большие значения коэффициента К соответствуют меньшим окружностям троса.
Величину разрывной крепости троса можно выбрать из ГОСТ.
П о д б о р т р о с о в для конкретного вида работы производят по формуле (4.4). Согласно правилам Морского регистра С С С Р коэффициент запаса прочности п для растительных тросов берется в пределах 6–10; для подъема людей – 14.
Правила приемки растительных тросов. Растительные тросы на фабриках скатываются в бухты и стягиваются в четырех местах вязками. В одной бухте троса толщиной от 30 до 75 мм может быть собрано от одного до четырех отдельных концов по 250 м каждый; тросы толщиной 90 и 100 мм могут иметь до двух отдельных концов по 250 м; тросы толщиной 115 мм и более собирают по одному концу в бухту. Бухты тросов толщиной от 34) до 50 мм упаковываются в паковочную ткань или рогожу и обшиваются.