Солнечный луч - Страница 33
Полеты на высоту в несколько десятков, сотен и даже тысяч километров над Землей позволили изучить особенности солнечного спектра вне экранирующего влияния земной атмосферы. Непрерывный спектр излучения Солнца, пересеченный линиями Фраунгофера, сохраняя полностью свой обычный характер, продолжается до волн длиной 2100 А. Еще дальше в направлении коротких волн интенсивность непрерывного спектра снижается, и на его фоне появляются уже не темные линии Фраунгофера, а яркие полосы излучения (см. рис. VI на вклейке).
Наиболее яркая линия излучения в этой области — линия водорода 1216 А (первая линия спектральной серии Лаймана). Другая очень яркая линия (с длиной волны 303,8 А) принадлежит ионизированному гелию. В интервале от 1000 до 84 А обнаружены многочисленные спектральные линии ионов гелия, кислорода, азота, Углерода, кремния и других элементов, а также все линии серии Лаймана до 919 А.
В активных участках фотосферы Солнца, особенно во время хромосферных вспышек, интенсивность ультрафиолетового излучения резко возрастает. В области линии 1216 А она увеличивается в два с лишним раза, более коротковолновое излучение возрастает значительно сильнее, а рентгеновское излучение (с длиной волны короче 20 А) усиливается в 10—100 раз. Даже небольшая хромосферная вспышка создает иногда более интенсивный поток ультрафиолетового излучения, чем обычно дает все Солнце.
Ультрафиолетовые лучи, охватывающие огромный диапазон излучений, от 4000 до 20 А, граничат с видимым светом и рентгеновскими лучами. В земных условиях ультрафиолетовая радиация Солнца ограничена озоновым порогом (2900—2950 А). Но с помощью искусственных источников ультрафиолетовых лучей (ртутно-кварцевых, водородных, дуговых ламп и др.), дающих как линейчатый, так и непрерывный спектр, можно получить ультрафиолетовые лучи с длиной волны до 1800 А. Первый вакуумный спектрограф, сконструированный немецким оптиком В. Шуманном, позволил открыть область далекого ультрафиолетового излучения, простирающуюся от 1800 до 1270 А. Эта область излучения получила название вакуумной, или шуманновской радиации. Пользуясь вогнутой дифракционной решеткой, Лайман получил в 1914 г. линию водорода с длиной волны 1216 А. В дальнейшем он исследовал область лучей до 500 А.
Какое значение для жизни на Земле имеют волны ультрафиолетового спектра? Вся наиболее коротковолновая область спектра, начиная с вакуумной радиации, легко поглощается молекулами воздуха, воды, стекла, кварца и не достигает биосферы. В диапазоне 4000—1800 А роль лучей различных участков спектра не одинакова. Наиболее богатые энергией коротковолновые лучи сыграли, как мы знаем, существенную роль в образовании первых сложных органических соединений на Земле. Однако эти лучи способствуют не только образованию, но и распаду сложных веществ. Поэтому значительный прогресс форм жизни на Земле наступил лишь после того, как благодаря деятельности зеленых растений наша атмосфера обогатилась кислородом и образовала защитный озоновый шатер. Под его сводами и развернулась эволюция живого, в которой определенную роль играют наиболее длинноволновые ультрафиолетовые лучи (4000—2950 А).
Итак, если иметь в виду не только излучение Солнца, но и земные источники ультрафиолетовых лучей, то интерес и важность для нас представляет лишь диапазон 4000—1800 А. В 1932 г. по рекомендации Второго международного конгресса по физиотерапии и фотобиологии внутри этого диапазона выделено три области: область А — 4000—3200 А, область В — 3200—2750 А, область С — 2750—1800 А. В действии волн каждого из этих диапазонов на живой организм есть существенные различия.
Ультрафиолетовые лучи действуют на вещество, в том числе и живое, по тем же законам, что и видимый свет. Какая-то часть поглощенной лучистой энергии постоянно превращается в тепло, но тепловой эффект ультрафиолетовых лучей не оказывает на организм серьезного влияния. Более распространенный и важный путь отдачи поглощенной энергии ультрафиолетовых лучей — люминесценция. Фотохимические реакции под влиянием этих лучей совершаются особенно легко. Энергия фотонов ультрафиолетового света очень велика, поэтому при их поглощении молекула может распадаться на части. Иногда фотон выбивает электрон за пределы атома. Но чаще всего происходит возбуждение атомов и молекул, облегчающее вступление их в химические реакции. При поглощении одного кванта лучей с длиной волны 2537 А энергия молекулы возрастает до уровня, соответствующего энергии теплового движения молекул при температуре 38 000° С.
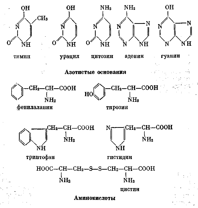
В живых организмах нас больше всего интересует влияние ультрафиолетовых лучей на биополимеры — белки и нуклеиновые кислоты. Участие фотосенсибилизаторов в этом случае пока точно не установлено. Вероятно, оно невелико, ибо белки и нуклеиновые кислоты сами интенсивно поглощают ультрафиолетовые лучи. Очень хорошо поглощают свет молекулы, в которых атомы углерода и азота образуют кольцевые структуры. Такие кольца имеются и в молекулах биополимеров. В нуклеиновых кислотах — это азотистые основания, в первую очередь пиримидиновые (тимин, урацил, цитозин) и пуриновые (аденин, гуанин), поглощающие в основном лучи с длиной волны 2600—2650 А. В белках циклические аминокислоты триптофан, тирозин, фенилаланин, гистидин хорошо поглощают лучи длиной 2800 А.
Группировки атомов

образующие пептидные связи между аминокислотами, поглощают более коротковолновые лучи (1800—2300 А), а дисульфидные мостики цистина — лучи промежуточной энергии — 2537 А.

Поглощенная энергия может мигрировать (перемещаться) по цепи атомов, образующих данную молекулу, без существенной потери, пока не достигнет слабых связей между атомами. Мигрирующая энергия расходуется на разрыв слабых связей. При разрыве пептидных и дисульфидных связей размеры молекулы белка уменьшаются. В ходе данного процесса, называемого фотолизом, образуются осколки молекул, оказывающие сильное действие на организм. Так, из аминокислоты гистидина после отделения группировки — СОО— образуется гистамин — вещество, расширяющее кровеносные капилляры и увеличивающее их проницаемость. Образование гистамина, по-видимому, играет важную роль в действии ультрафиолетовых лучей на организм.
Кроме фотолиза в биополимерах под действием ультрафиолетовых лучей происходят и другие изменения. Обычно молекулы белка имеют одинаковый электрический заряд. При облучении заряд молекул уменьшается, они легко слипаются, выпадают в осадок, теряют свою активность — ферментную, гормональную, антигенную и др. Все эти сдвиги, вместе взятые, носят название денатурации.
Процессы фотолиза и денатурации белков идут параллельно и независимо друг от друга. Они вызываются ультрафиолетовыми лучами разной длины волны: лучи 2800—3020 А вызывают главным образом фотолиз, лучи 2500—2650 А — преимущественно денатурацию. Различное сочетание этих процессов определяет картину действия на организм ультрафиолетовых лучей.
Самая чувствительная к действию ультрафиолетовых лучей функция клетки — деление. Лучи в дозе 10 эрг/мм2 уже вызывают остановку деления примерно 90% бактериальных клеток. Но рост и жизнедеятельность клеток при этом не прекращаются. Со временем восстанавливается и деление. Чтобы вызвать гибель 90% клеток, подавление синтеза нуклеиновых кислот и белков, образование мутаций, нужно довести дозу излучения до 100 эрг/мм2.
На рис. 16 видно, что кривые бактерицидного и генетического действия ультрафиолетовых лучей, их влияния на рост и деление клеток очень сходны между собой и почти совпадают с кривой поглощения лучей нуклеиновыми кислотами. Значит, ультрафиолетовые лучи вызывают в нуклеиновых кислотах изменения, которые влияют и на рост, и на деление, и на наследственность клеток, и на их существование, т. е. на основные проявления жизнедеятельности клеток. Как известно, действуют на организм, клетку, вещество только то излучение, только те фотоны света, которые поглощаются этим веществом (клеткой, организмом). А нуклеиновые кислоты поглощают кванты невидимого ультрафиолетового излучения гораздо сильнее, чем белки, даже в области максимума адсорбции света белками (около 2800 А). Не удивительно, что именно в нуклеиновых кислотах происходят наиболее важные процессы, характеризующие биологическое действие ультрафиолетовых лучей.