Софья Васильевна Ковалевская - Страница 68
Далее Кронекер угрожает пожаловаться королю Оскару II:
По поводу дела о премиях я просто обращусь непосредственно к Вашему королю. Если правда то, что Вы мне по его поручению раньше написали, то он, конечно, найдет совершенно естественным, что я обращусь к нему. Я буду опираться на мою более вескую компетентность в алгебраических исследованиях, которую я выявил в целом ряде моих работ и особенно в моем юбилейном сборнике. Тот факт, что комиссия, ни один из членов которой не знаком с этой фундаментальной работой, будет ставить алгебраический вопрос и затем давать оценку алгебраической работы, является беспримерной аномалией. Ваш король узнает от меня то, что Вы от него скрыли,—что я уже при моем вступлении в Академию 25 лет тому назад доказал невозможность того, что явным образом послужило исходной точкой для вопроса № 4. Но Ваш король при этом должен узнать еще больше об истинном положении математики, дабы его добрая воля действительно осуществила нечто хорошее. Л. К. [МЛ 41].
Ковалевская написала Миттаг-Леффлеру, что, читая письмо Кронекера, она не могла удержаться от дикого смеха. «Нельзя представить себе что-либо настолько идеально-комическое, как это письмо Кронекера. Начиная с его отказа дать рекомендательное письмо к врачу... для бедной Сигне, к которой г-жа Кронекер внешне проявляет столько симпатии, и кончая угрозой пожаловаться нашему бедному королю и изложить ему действительное положение математики,— все настолько превосходно, что это письмо поистине шедевр в своем роде» 5*
247
Кронекер скоро понял, что он «пересолил», и стал писать Миттаг-Леффлеру примирительные письма.
Ковалевская лишь посмеялась над причудами Кроне- кера; Миттаг-Леффлер сердился на него и говорил Софье Васильевне, что, несмотря на большое уважение к Кроне- керу как одному из своих учителей он считает, что должен бороться с вредным влиянием Кронекера на математику. Трагично обстояло дело с Вейерштрасеом и Кантором.
Кронекер с некоторого времени стал громко выступать против основных понятий современной математики: природа вещественных чисел была исследована трудами Больцано и Вейерштрасса, а в последнее зрг?мя —• Кантора. Кронекер восставал против этих работ, заявляя, что в математике все должно быть построено лишь на понятии целых чисел, и обещал— сам или с помощью своих учеников — «арифметизировать» математику, исключив из нее «неконструктивные понятия» [255, с. 40]. Идеи Кронекера не получили признания. Однако он не ограничивался критикой, а выступал с личными нападками на математиков, чьи идеи он не одобрял. Вейерштрасс тяжело переносил эти выпады и хотел даже уйти на пенсию и уехать из Бер- лийа. Про Кантора же Констанс Рид говорит так: «Легко возбудимый, чувствительный Кантор из-за нападок Кронекера на теорию множеств был полностью сломлен духовно и должен был искать убежище в психиатрической лечебнице» (Там же).
Вейерштрасс не покинул Берлина. О Кронекере он писал Ковалевской: «Я глубоко сожалею, что такой духовно одаренный человек, с такими неоспоримыми научными заслугами вместе с тем настолько мелочно тщеславен и завистлив» [125, с. 267].
Письма Г. Кантора Миттаг-Леффлеру полны жалоб па Кронекера [256].
О письмах Георга Кантора Ковалевской, связанных с юбилеем Вейерштрасса, мы уже говорили. Приведем здесь выдержки из его замечательного письма Ковалевской от 7 декабря 1884 г., в котором он, сообщив, что послал Миттаг-Леффлеру для «Acta mathematica» свои «Принципы» (не опубликованные), говорит об их содержании: «В первых параграфах речь идет лишь о типах просто упорядоченных множеств; но подобным же образом существуют и типы двукратно, трехкратно, и ^-кратно, даже со-крат- но и т. д. упорядоченных множеств, благодаря которым, по-
248
видимому, проливается много света на старые и новые вопросы арифметики и космологии» [125, с. 123].
Здесь интересна, но не ясна мысль Кантора о возмож- ности применения его теории к космологии. Дальше он в восторженном тоне пишет о философском значении созданной им теории типов бесконечных множеств: «Если уже конечные типы имеют невыразимую прелесть для всякого, кто способен к восприятию законов вечных истин,— а отсюда и произошла теория чисел,— то еще более высокую ступень в удовлетворении этого научного интереса представляют типы бесконечных множеств» (Там же).
Гильберт сказал о созданной Георгом Кантором теории множеств: «Я считаю, что она представляет собой высочайшее проявление математического гения, а также одно из самых высоких достижений чисто духовной деятельности человека» [265, с. 228].
К первому году работы С. В. Ковалевской в Стокгольме относится ее оживленная переписка с молодым немецким математиком Карлом Рунге. Имя Карла Рунге известно всем занимающимся приближенными вычислениями (способ Рунге-Кутта интегрирования дифференциальных уравнений) . В начале своей научной деятельности оь занимался теорией аналитических функций, в частности функций с существенно особыми точками.
Познакомилась Ковалевская с Рунге в Берлине в 1883 г., где он слушал лекции Вейерштрасса и Кронекера. Летом этого года Рунге писал своей матери из Берлина в Бремен, откуда он был родом, восторженное письмо о Софье Васильевне:
В субботу мы провели у нее очень интересный вечер. Общество состояло из г-жи Ковалевской и четырех молодых математиков, и разговор проходил, как обычно среди нас. Ей около 30 лет, у нее тонкое, думающее, немного грустное лицо, прелестное, когда она улыбается. Мне было странно с дамой вести беседу о математике и иметь возможность беседовать с полной свободой. Она вполне на высоте предмета. Это я в особенности заметил, когда она спросила меня о моих работах, по отличным вопросам, которые она предлагала. Перед тем я представлял себе ее остроносой, старообразной, очкастой и был изумлен, найдя, что научное образование может соединиться с совершенной женственностью [133, с. 43].
По словам Ирис Рунге, ее отец в те годы, о которых идет речь, был красивым, веселым молодым человеком и любил кататься на коньках. Писательница Маргарита фон Бюлов просила его разрешения изобразить его в рассказе «Адонис на коньках», придав ему, однако, плохой характер, что не соответствовало действительности.
249
Софья Васильевна делала сообщения группе молодых берлинских математиков по теории абелевых функций, и в числе ее слушателей были Рунге и Селиванов.
Первое из имеющихся писем, от 28 января 1884 г., состоит из двух частей: 1) совместного с Селивановым письма, написанного последним по-немецки, содержание которого мы уже привели, и 2) письма самого К. Рунге.
Рунге рассматривает ряд математических вопросов. Начинается письмо так: «Уважаемая фрау. Я ;уже давно собираюсь написать Вам. Я часто вспоминаю наше совместное пребывание летом, и хотелось бы, чтобы Вы были здесь, чтобы мы имели возможность сообщать друг другу что-либо интересное. В письменной форме это у меня плохо получается. Ваше письмо к Селиванову от 12 декабря я прочитал с интересом. Оба примера очень хороши. До сих пор я об этом никогда не думал» [Р 1]. Рунге не согласен только с одним пунктом в рассуждениях Ковалевской — речь идет

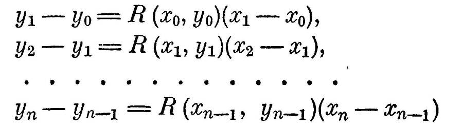
На примерах он высказывает свои соображения. Далее он спрашивает, знакома ли Ковалевская с доказательством существования решения дифференциального уравнения, восходящим как будто к Коши. Пусть дано уравнение
dy/dx=R(x, у),
ищется его решение при условии, что г/=7/0 при х=х0.
Рунге делит промежуток (х0, х) точками х0, хи ... х2, ... на части и составляет равенства

вует для достаточно малых значений хп — хп_! и представляет функцию от Xj у, которая удовлетворяет дифферев-
250
циальному уравнению при условии, что R (х, у) непрерывна вблизи (х0, у о,) и имеет первые производные. Это доказательство применимо и для неаналитических функций R(x,y), применимо и в более общих случаях [Р 1]. Рунге добавляет, что у него возникают и соображения о возможности практического вычисления интеграла.