Софья Васильевна Ковалевская - Страница 63
228
ствами своими для достижения по возможности большей выгоды?» [220, т. III, с. 264].
В переписке Ковалевской и Миттаг-Леффлера часто фигурирует имя Чебышева. Когда Софья Васильевна стала работать в Стокгольме, то при своих поездках в Россию во время каникул она обязательно посещала Чебышева, передавала ему просьбы Миттаг-Леффлера о поддержке журнала «Acta mathematica» и беседовала с ним о математике и механике.
Одной из тем таких бесед была задача о формах равновесия вращающейся жидкости. По свидетельству А. М. Ляпунова, Чебышев предлагал Золотареву и Ковалевской задачу о переходе, при некоторой величине угловой скорости, эллипсоидальных форм вращения в какие-либо новые формы равновесия [233, с. 328]. Этой задачей потом занялся Ляпунов.
Когда вышел первый номер журнала, Миттаг-Лефф- лер послал экземпляр его Чебышеву с сопроводительным письмом от 2 декабря 1882 г., в котором просил от имени короля Швеции и Норвегии Оскара II, покровителя журнала, представить этот журнал Петербургской академии наук и напечатать в «Известиях Академии» несколько слов по поводу этого представления. С аналогичной просьбой Миттаг-Леффлер обратился к Эрмиту и Вейерштрассу относительно Парижской и Берлинской академий наук. Он предложил в дальнейшем обмениваться своим журналом с «Известиями Петербургской академии наук» и, «может быть, с еще иными будущими печатными трудами Академии по математике» [220, т. V, с. 449].
Чебышев исполнил просьбу своего шведского коллеги. На заседании физико-математического отделения Академии наук (18 января 1883 г.) он дал высокую оценку работе журнала и редактора. В частности он сказал: «Г. Миттаг-Леффлер, знаменитый математик, которому трансцендентный анализ обязан чрезвычайно важными исследованиями, является главным редактором нового математического журнала, выходящего в Стокгольме под названием „Acta mathematica“». Он отметил, что в редколлегию входят А. Беклунд, Г. Дауг, Г. Гюльдён, Г. Хольмгрен, К. Мальмстен, К. Бьеркнес, О. Брок, С. Ли, Л. Силоз, Л. Лоренц, Дж. Петерсен, Г. Цейтен и Л. Лин- делёф, и добавил, что этот новый журнал «будет способствовать развитию математических наук не только в Шве-
229
дии и Норвегии, но и прогрессу этих наук во всей Европе» [220, т. V, с. 384].
Миттаг-Леффлер в письме от 8 апреля 1884 г. выражает благодарность за благожелательные слова, с которыми Чебышев представил журнал Петербургской академии наук. Называя Чебышева «одним из величайших мастеров анализа всех времен», Миттаг-Леффлер просит его прислать одну из своих статей в «Acta mathematica». Он пишет, что изучает блестящие исследования Чебышева о максимуме и минимуме. Посылая ему три тома журнала, он просит Чебышева принять их «в качестве скромного дара гению, так обогатившему нашу науку своими бессмертными открытиями» [220, т. V, с. 450].
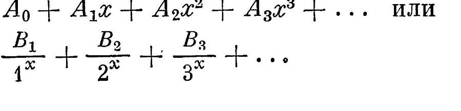
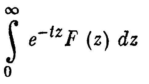
Но Чебышев медлил с присылкой работ. Миттаг-Леффлер решил перепечатать в своем журнале статью Чебышева, опубликованную в Известиях Петербургской академии наук в 1885 г. под названием «О представлении предельных величин интегралов посредством интегральных вычетов» [234]. В этой статье Чебышев поднимает вопрос о высшем и низшем пределах интеграла

С. В. Ковалевская перевела эту статью на французский язык, и она была опубликована в девятом томе «Acta mathematica» в 1886 г. [69].
Интерес, проявленный к его работе, побудил Чебышева к дальнейшим размышлениям, результат которых он изложил в письме к Софье Васильевне от 20 сентября
230
1886 г. Это письмо было напечатано в том же томе «Acta mathematica» под заглавием «О суммах, составленных из коэффициентов ряда с положительными членами. Письмо г-же Софье Ковалевской» [70]. Письмо начинается так: «Я весьма обрадован честью, которую Вы мне оказали, пожелав перевести заметку о предельных величинах интегралов. Интерес, с которым Вы отнеслись к моим исследованиям по этому предмету, побуждает меня сообщить Вам один результат, который я только что извлек из них, относительно определения пределов, между которыми остается сумма какого-нибудь числа первых коэффициентов ряда

в случае, когда все члены числа положительные» [70, с. 182].
Далее Чебышев приводит неравенства, «наиболее замечательные по своей простоте» [19, с. 183], которые он получил между различными другими неравенствами для интеграла от некоторой неотрицательной функции. Эти неравенства затем искусно применяются к отрезкам рядов указанного выше вида.
Письмо Чебышева, посланное Ковалевской 8 октября 1886 г., связано с печатанием статьи в «Acta mathematica». Чебышев пишет: «Я очень рад, что Вы находите возможным напечатать мое письмо в Вашем журнале. Теперь я занят работою, где первая из сообщенных мною формул оказывается крайне необходимою». Далее он сообщает: «Вчера в заседании Академии наук сделаны представления о трех новых членах: Маркове, Бейль- штейне и Бекетове Буду ждать с нетерпением праздников в надежде, что Вы доставите мне честь видеть и поговорить с Вами о математике и механике.
Примите уверения в истинном моем почтении, с которым пребыть честь имею
Ваш, Милостивая Государыня, всепокорный слуга П. Чебышев. Потрудитесь передать мое почтение Г. Мит- таг-Леффлеру» [РМ 17]. 11 Марков А. А.— математик, Бейлыптейн Ф. Ф. и Бекетов. Н. Н.—» химики.
231
Секретарь редакции «Acta mathematica» сообщил Чебышеву, что желательно изменить название его статьи (первоначальное название статьи не установлено). В от-* вет на это Чебышев пишет Ковалевской:
14 октября 1886 г,
Многоуважаемая Софья Васильевна! На корректуре статьи, составленной из письма моего к Вам, я, по просьбе г. Енестрема, изменил заглавие в такое: Sur les sQpames composees des coefficients des series a termes positifs. Если Вы находите это заглавие достаточно хорошо определяющим характер той задачи о рядах, решение которой, собственно, имелось в виду при рассмотрении интеграла

и которая имеет особенный интерес, пусть так и печатают. Если же Вы предпочтете иначе озаглавить, я вперед даю овое согласие и считаю излишним присылать ко мне вновь корректуру с измененным Вами заглавием. Других изменений и поправок я не имею никаких предложить, кроме нескольких опечаток, указанных мной на корректуре. Еще раз приношу Вам глубочайшую благодарность и за сделанный Вами перевод, и за присланную Вами фотографию и всепокорнейше прошу передать мое почтение г. Миттаг-Леффлеру и мою искреннюю благодарность г. Енестрему за труд по пересылке корректуры и оттисков, о которых он меня уведомляет в последнем письме.
Примите уверение в истинном моем почтении и глубочайшем уважении
Ваш покорнейший слуга П. Чебышев [РМ 22].
Через два года Чебышев решил опубликовать еще одну статью в журнале Миттаг-Леффлера и по этому поводу написал Софье Васильевне:
20 октября [1888]
Многоуважаемая Софья Васильевна!
Лестное внимание, которым Вы удостоили мою первую работу о предельных величинах интегралов, подает мне надежду, что Вы окажете содействие для появления в свет на французском языке второй моей работы по тому же предмету, представляющей продолжение первой. Перевод ее, при сем прилагаемый, сделан молодым математиком [Ж. Лионом, учеником Дарбу.— /7. /Г.], получившим высшее математическое образование в Париже, и сделан отлично. Из различных заграничных журналов, где этот перевод мог бы быть напечатан, я предпочитаю «Acta mathematica», и это не потому только что там напечатан перевод первой статьи и письмо мое к Вам касательно того же предмета. Потрудитесь передать мое глубочайшее почтение г. Миттаг-Леффлеру вместе с ожиданием видеть перевод моей статьи в его журнале. Новостей математических У нас никаких нет; сам сижу за мемуаром о простейших суставча¬