Софья Васильевна Ковалевская - Страница 51

2. Случай Лагранжа, для которого А—В, х0=у0=01 т. е. рассматривается тело с симметричным эллипсоидом инерции, центр тяжести которого лежит на оси z. Здесь последнее из уравнений (1) выглядит очень просто: C(dr/dt)= 0, откуда г=С4 является новым, четвертым алгебраическим интегралом. Решение также сводится к обращению эллиптических интегралов.
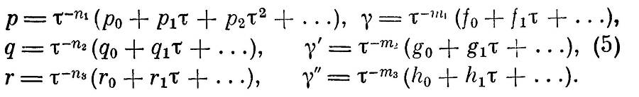
Ковалевская подошла к задаче о вращении по-новому: она стала рассматривать, как это сделал Пуанкаре в задаче п тел, время t как комплексное переменное (для каждой конкретной задачи рассматриваются его действительные значения) и применила аппарат теории функций комплексного переменного. Она ищет решение, предполагая, что функции р, q, г, 7, 7', 7" имеют полюсы на комплексной плоскости переменного t. Если один из этих полюсов есть t=tu то, обозначая т=?—?4, можно искать решение в виде рядов

Подставляя эти ряды в уравнения (1), (2), Ковалевская нашла порядок возможных полюсов:



Оказалось, что в этом случае существует, кроме трех интегралов (3), также алгебраический четвертый интеграл.

185
Эти результаты в краткой форме и приведены Ковалев^ ской в указанном письме к Миттаг-Леффлеру. Далее она излагает часть работы, относящейся к отысканию p(t), q{t), ..., 4(f), ..., и добавляет, что последние из приведенных в письме формул она еще не успела развить.
Это очень досадно, потому что, как Вы видите, моя работа стала довольно интересной. Самое худшее это то, что я так устала, так изнемогла, что я сижу, сижу и размышляю в течение целых часов о какой-нибудь простой вещи, которую я при других обстоятельствах легко могла бы решить в полчаса.
Я буду Вам очень благодарна, если Вы напишете Эрмиту^ как Вы это предложили, и сообщите ему, как обстоит дело со мной и с моей статьей. У меня еще есть одна неделя работы над нею. Но я все же думаю, что едва ли успею.
Если статья не будет готова до тех пор, то придется ее отложить до следующей осени, потому что летом вряд ли я смогу много заниматься математическими работами. Досадно быть так близко к цели и все же не достигнуть ее! Но придется утешиться тем, что я, во всяком случае, сделала хорошую работу, и не слишком горевать о премии. Но будьте добры написать Эрмиту. Я, впрочем, сама напишу ему, чтобы дать отчет в своей работе. Но хорошо, чтобы Вы тоже написали.
Во всяком случае, утешением может служить то, что мне не в чем упрекнуть себя, по крайней мере за последнее время, потому что я была так прилежна, как только это было возможно [СК 273].
Письмо, написанное летом 1888 г., также относится к работе Ковалевской над задачей о вращении.
Дорогой Гёста!
Я сегодня исправляла свою статью: tant bien que mal, plutot mal que bien b Проблема совершенно разрешена. Все теоретические трудности преодолены. Я показываю, что все шесть величин р, q, г, 7, ч', ч" могут быть выражены рационально через отношения вида (^1^2)/тЭ1 (^1^2), где ut и 1/2 являются линейными функциями времени. Что это было не так легко, это Вы можете видеть из того, что Венерштрасс, которому я писала, до и после того как я нашла, что проблема решается через ультраэллиптические й-функции, и который, по-видимому, серьезно думал об этом деле, пе смог доказать этого. Он пишет мне, чтобы сказать, что он начинает думать, что это вещь невозможная и что, вероятно, я ошиблась в своих размышлениях о том, что р, q, г являются однозначными функциями времени. Но я пе успела по-настоящему выполнить все вычисления. Последние ведь чисто механические и, вероятно, могут быть выполпепы меньше чем за неделю каждым, кто сколько-нибудь привык обращаться с й-функциями. Но в данное время я так устала, что не могу ничего больше сделать. Поэтому я не решилась послать статью прямо в Академию наук и адресую ее Эрмиту в сопровождении длинного письма, в котором я подробно излагаю ему все причины, задержавшие меня в моей работе. Я рассказываю о
1 Худо ли, хорошо ли, скорее плохо, чем хорошо (франц.),
186
некоторых, как мне кажется, удивительных и интересных результатах, которые я нашла относительно общего случая. Теперь Эрмит должен решить, что следует сделать со статьей. В качестве девиза я выбрала
Dis ce que tu sais,
Fais ce que tu dois,
Advienne ce qui pourra 2.
Сегодня вечером я еду в Лондон. Я напишу Анне-Шарлотте из Копенгагена хотя бы несколько строчек.
Преданная Вам Сопя.
Мой адрес в Лондоне G. Russel street 90 [CK 274].
После научного триумфа за границей, после избрания в члены-корреспонденты Петербургской академии наук, летом 1890 г. Ковалевская приехала в Россию. Посетив
B. Г. Имшенецкого, она записала в своем дневнике 18 мая (1890 г.): «Марков публично заявил, что мой мемуар полон ошибок, но что он покажет их лишь тогда, когда господа академики, представившие меня членом, потрудятся прочесть мой мемуар... После того как М[аркова] сделали экстраординарным] акад[емиком], он был так милостив, что заявил в частном разговоре, что мемуар мой не так плох, как ему сначала показалось» [64, с. 181].
Для лучшего понимания сущности нападок А. А. Маркова сформулируем теорему.
Теорема Ковалевской. Уравнения движения тяжелого твердого тела вокруг неподвижной точки в общем случае не имеют однозначных мероморфных решений, допускающих пять произвольных постоянных, за исключением трех указанных выше случаев, включая новый случай, найденный Ковалевской.
Впоследствии (письма Маркова не датированы), в письме А. М. Ляпунову, А. А. Марков писал:
«Первоначальное мое заявление о § 1 мемуара
C. В. Ковалевской имело только одну цель — доказать, что П. Л. Чебышев вовсе не знаком с работами С. В. Ковалевской и ценить их не может» 3.
В письме П. А. Некрасову, которое А. А. Марков написал уже после смерти С. В. Ковалевской, он говорит по поводу работы Ковалевской следующее:
«Вот подлинные слова ее, которые я считаю неосновательными: „Легко убедиться, сравнивая показатели
* Говори, что знаешь, делай, что должен, пусть будет, что может быть (фр.).
187
первых членов в левых и правых частях рассматриваемых уравнений, что должны иметь

Итак, мое возражение сводится к тому, что из одного сравнения показателей первых членов нельзя вывести заключения.
Я сомневаюсь, как Вы видите и может быть слышали от меня и раньше, не в самом случае, найденном С. В. Ковалевской, а только в единственности его» 4.
Приходится пожалеть, что А. А. Марков не высказал своих сомнений самой Софье Васильевне. Ученик П. А. Некрасова Г. Г. Аппельрот предпринял после смерти Ковалевской более подробные вычисления к § 1 мемуара Ковалевской. Но А. А. Марков объявил, что выкладки Аппельрота «лишены значения, так как построены они на ложном основании, состоящем в замене предложенной системы уравнений другою». На самом деле Аппельрот только видоизменил запись рядов (5) Ковалевской [194]. Марков же обратился за посредничеством к А. М. Ляпунову.
В архиве Академии наук сохранились три письма
А. А. Маркова А. М. Ляпунову с двумя ответными письмами А. М. Ляпунова.
А. А. Марков выставил два основных возражения.
Первое возражение. Из сравнения показателей нельзя заключить, что значения ni=n2=n3=l, mi=m2^=m3==2