Системная технология - Страница 5
Среда М содержит людей, коллективы из людей, преследующие определенные цели, природные, энергетические, информационные и другие ресурсы и изделия из них. В среде М постоянно возникают, удовлетворяются и отмирают различные проблемы, намерения и цели. Для разрешения проблем, реализации намерений и для достижения целей нужны определенные изделия, продукты. Эти изделия и продукты – результат деятельности информационных, энергетических, промышленных и других систем. Так, для целей утоления физического голода нужна пища – изделие промышленных, сельскохозяйственных или природных систем, для целей утоления информационного голода нужна информация в виде изделий (продуктов) систем образования, средств массовой информации.
Можно сформулировать следующее утверждение.
Аксиома 5. Для достижения цели деятельности необходим результат деятельности.
С позиций системы-объекта деятельности система-результат является объектом деятельности по воздействию на окружающую среду, с позиций некоторой части внешней среды, инициирующей создание этого изделия, система-результат является объектом ее деятельности по воздействию на какую-то другую часть внешней среды. Поэтому к системе-результату применимо то же требование, как и к системе-объекту, а к совокупности «система-объект и система-результат» применимы те же требования, что и к совокупности «система-субъект и система-объект». Таким образом можно сформулировать следующие утверждения.
Аксиома 6. Результат системной деятельности необходимо представлять моделью общей системы.
Аксиома 7. Объект и результат системной деятельности необходимо представлять одной моделью общей системы.
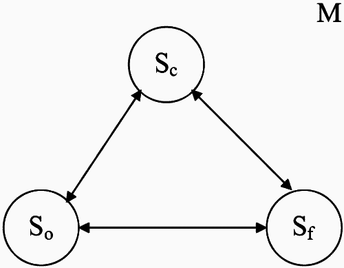
* Итак, в общем, случае, в соответствии с некоторой целью F (или системой ценностей или системой целей разрешения определенной проблемы) среда М выделяет некоторый объект для изготовления изделия (продукта), т.е. результат деятельности объекта, обеспечивающий достижение цели. Для формирования, управления функционированием и для управления развитием объекта среда выделяет некоторый субъект деятельности, ответственный за соответствие функционирования объекта и за соответствие результата поставленной цели. Среда, теперь уже внешняя по отношению к триаде «объект-субъект-результат», представляет себе эту триаду на основе одной модели общей системы по той причине, что, в конечном счете, у всех трех компонент триады имеется общий системообразующий фактор – некоторая цель, в соответствии с которой среда М вычленяет эту триаду. Эту триаду, если она осуществляет системную деятельность, можно назвать системной триадой, триадой систем, так как в этом случае и объект, и субъект, и результат должны быть представлены моделями систем. Вначале среда М выступает в виде субъекта деятельности, поэтому сама среда, а также объект и результат будут описываться на основе некоторой модели общей системы. Затем система-субъект становится «представителем» внешней среды и, далее, возникает необходимость в общей модели триады «объект-субъект-результат» (рис. 1.2).

Рис. 1.2. Системная триада
Можно, для иллюстрации, привести следующий пример. Множество М – это множество человеко-машинных, машинных, человеческих элементов народного хозяйства. Одна из целей F, для достижения которых создаются системы, – это, например, удовлетворение потребностей в производстве измерений определенных параметров технологических процессов. Цель эта реализуется некоторой системой измерительных средств (система-результат), для производства которой создается производственная система-объект. Создание, управление и развитие производственной системы осуществляется системой-субъектом, выделяемой из среды М, напр., системой проектирования, строительства, управления системой-объектом.
Изложенное доказывает следующий результат.
Теорема 1. Объект, субъект и результат системной деятельности необходимо представлять одной моделью общей системы.
В совокупности этот результат и аксиомы системности 1,2,3,4,5,6,7 составляют впервые сформулированный в таком виде Принцип системности:
для создания и осуществления системной деятельности объект этой деятельности необходимо представлять моделью общей системы;
для реализации деятельности необходим субъект деятельности;
субъект системной деятельности необходимо представлять моделью общей системы;
объект и субъект системной деятельности необходимо представлять одной моделью общей системы;
для достижения цели деятельности необходим результат деятельности;
результат системной деятельности необходимо представлять моделью общей системы;
объект и результат системной деятельности необходимо представлять одной моделью общей системы;
объект, субъект и результат системной деятельности необходимо представлять одной моделью общей системы.
На основе общего принципа системности можно сформулировать принцип системной технологии деятельности:
для создания и реализации системной технологии деятельности систему-объект деятельности необходимо представлять общей моделью технологической системы;
для реализации системной технологии деятельности необходима система-субъект деятельности;
систему-субъект системной технологии деятельности необходимо представлять общей моделью технологической системы;
систему-объект и систему-субъект системной технологии деятельности необходимо представлять одной общей моделью технологической системы;
для реализации системной технологии деятельности необходима система-результат деятельности;
систему-результат системной технологии деятельности необходимо представлять общей моделью технологической системы;
систему-объект и систему-результат системной технологии деятельности необходимо представлять одной общей моделью технологической системы;
систему-объект, систему-субъект и систему результат системной технологии деятельности необходимо представлять одной общей моделью технологической системы.
* Принцип системности отражает те черты объективной действительности, которые необходимо учитывать при осуществлении любой деятельности, приводя ее, по возможности, к системной технологии деятельности. Так, в частном случае, описание триады «объект, субъект, результат» одной моделью общей системы проводится при математическом моделировании систем автоматического регулирования с обратной связью (САР), например, температуры в каких-либо технологиях. Модель температуры – модель результата деятельности САР, описывает температуру, как функцию времени. При этом модель объекта регулирования – функция, устанавливающая правила его регулирования; модель субъекта регулирования – модель регулятора, определяет «закон регулирования». Таким образом, общая модель триады дает описание взаимодействия объекта, субъекта и результата регулирования в форме обыкновенного дифференциального уравнения.
Вынужденное движение человека в направлении системной деятельности наблюдается во всех сферах жизнедеятельности человека. Представим себя в роли гипотетического наблюдателя, который имеет возможность оценить это вынужденное движение к системности деятельности «со стороны». Такой гипотетический наблюдатель может установить, что человеческая деятельность должна соответствовать некоторой объективно существующей природной закономерности. Эта природная закономерность стимулирования человеческой деятельности со стороны объективной действительности, а также и реакции со стороны объективной действительности на человеческую деятельность частично заключается, видимо, в том, что это воздействие и эта реакция осуществляются некоторыми объективно существующими системами. Можно предположить, что объективная действительность организована в виде систем, имеющих происхождение либо природное, естественное (без вмешательства человека) либо искусственное (под влиянием человека), либо смешанное. Вполне обоснованно можно заключить, что в объективной действительности действует, наряду с другими законами, некий Закон системности.