Сенсационная история Земли - Страница 65
Тем более, если вспомнить, что одной из самых первых стратиграфических шкал (а стратиграфические шкалы – самая что ни на есть базовая основа геохронологической шкалы) была шкала Смита, созданная им для… каменноугольного периода! Периода, которого, как теперь выясняется, просто не было!..
Более того, именно «каменноугольный период» (из-за его весьма характерных признаков в виде отложений угля) во все времена с момента Смита, считался несомненным (пусть его протяженность и границы и менялись). Следовательно, вполне логично предположить, что какие-то из образцов, использованных Холмсом, также могли относиться к не существовавшему в реальности «каменноугольному периоду». И пусть построенная им шкала тут же стала «уточняться и пересматриваться», но ведь нет никаких гарантий того, что образцы пород из того же «каменноугольного периода» не служили дли «уточнения и пересмотра» шкалы Холмса в более позднее время. А ведь помимо «каменноугольных» отложений есть еще и отложения солей, которые также могли попасть в число тех самых «опорных столбов», послуживших частью «остова» геохронологической шкалы.
Представляется более чем вероятным, что в процессе «уточнения и пересмотра» никто не будет выдергивать из остова опорные столбы. И в таких условиях вполне возможно, что ошибки, связанные с этим, могли дойти и до современного момента. А если опорные столбы установлены неправильно, то что можно сказать о качестве всей конструкции?.. Естественно, ничего хорошего…
Но в конце концов, необходимых данных у нас все-таки нет. И поэтому допустим (просто хотя бы исходя из принципа презумпции невиновности), что ошибок в опорных столбах нет – все они взяты «правильно», то есть из числа тех пород, которые не должны выпасть из «достоверно установленных на геологической шкале» при переходе к новой концепции расширяющейся Земли и ее гидридного ядра.
Посмотрим, нет ли где еще возможных ошибок.
Для этого нам придется обратиться к методологии изотопного датирования геологических пород.
* * *
В датировании геологических пород наиболее часто используются следующие пары материнских и дочерних изотопов:
238U – 206Pb
87Rb – 87Sr
235U – 207Pb
147Sm – 144Nd
232Th – 208Pb
187Re – 187Os
40K – 40Ar
176Lu – 176Hf
Табл. 5. Пары материнских и дочерних изотопов
Процесс радиоактивного распада, как ныне считается, является независящим от окружающих условийи характеризуется так называемым периодом полураспада Т 1/2– временем, за которое распадается половина атомов исходного (материнского) изотопа. Хотя в практике датирования чаще используется другой параметр – l, который связан с периодом полураспада простым соотношением: l .Т 1/2= ln2.
Для замкнутой системы, в которой в некий начальный момент времени был только материнский изотоп, из законов радиоактивного распада следует, что количество атомов дочернего изотопа D, образовавшегося за некое время t, прошедшее с этого начального момента, связано с количеством атомов оставшегося материнского изотопа М следующим соотношением:
D = M (e λt– 1)
Откуда легко определяется время, прошедшее с начального момента – момента образования такой замкнутой системы:
Это соотношение может быть использовано для определения возраста какого-либо минерала t при соблюдении двух весьма важных условий.
Во-первых, в течение всей своей историисистема должна быть замкнутой – в минерале не должно происходить ни выноса, ни привноса как дочерних, так и материнских изотопов.
А во-вторых, в момент своего образования (например, при кристаллизации) минерал не должен содержать атомов дочернего изотопа.
Это очень жесткие условия, которые в реальности, мягко говоря, далеко не всегда соблюдаются…
Попытки минимизировать возможные ошибки, связанные с нарушением первого условия, сводятся главным образом к использованию для определения абсолютного возраста лишь ограниченной группы минералов – тех, которые, по современным представлениям, считаются в достаточной мере «консервативными» (если так можно выразиться), то есть минералов, которые сохраняют свой состав неизменным, несмотря на потенциально возможные в прошлом внешние воздействия.
Поскольку второе условие соблюдается крайне редко, для минимизации ошибок, связанных с его нарушением, часто применяют метод изохрон, в котором используется тот факт, что помимо радиогенного (получившегося в результате радиоактивного распада) изотопа в минерале практически всегда присутствует какое-то количество стабильного изотопа того же химического элемента.
Если система замкнута (то есть первое условие выполняется), то количество стабильного изотопа со временем не меняется, что ясно из вполне элементарных соображений.
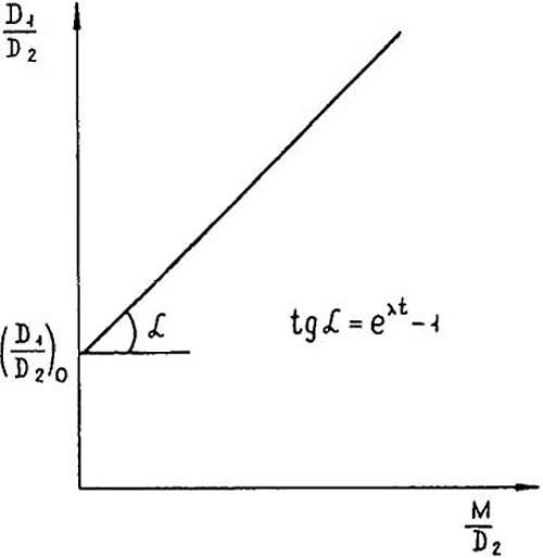
Пусть количество стабильного изотопа равно D 2, а радиогенного D 1. Допустим, что в самый начальный момент времени в минерал попало некоторое количество дочернего изотопа (D 1) 0. Тогда для текущего содержания дочернего и материнского изотопов будет справедливо соотношение:
D 1/ D 2= (D 1/ D 2) 0+ M/D 2(e λt- 1)
Изохроной называется прямая линия, проведенная в координатах D 1/D 2и M/D 2по точкам изотопных составов одновозрастных минералов, различающихся по содержанию материнского элемента М (Рис. 143). Эта прямая, как очевидно, пересекает ось ординат в точке, соответствующей составу захваченного при кристаллизации элемента (D 1/D 2) 0. Угол наклона прямой α будет функцией возраста минерала. Таким образом, метод изохрон позволяет по нескольким образцам, имеющим общее происхождение, определить возраст минерала и начальное изотопное отношение дочернего элемента в нем. Если же образцы имеют неодинаковый возраст, точки их изотопных составов не ложатся на одну прямую…

Рис. 143. Изохрона
Для широко распространенного уран-торий-свинцового метода проходят еще несколько дальше, поскольку в нем задействовано сразу несколько процессов распада.
Первичные изотопы урана и тория 238U, 235U и 232Th в процессе радиоактивных превращений образуют длинные цепочки переходящих друг в друга изотопов – радиоактивные ряды распада. Конечными продуктами распада всех трех рядов являются изотопы свинца. Поскольку геология работает с довольно продолжительными интервалами времени, сравнительно короткоживущими промежуточными членами рядов можно пренебречь и рассматривать упрощенные системы: 238U – 206Pb, 235U – 207Pb и 232Th – 208Pb.

Рис. 144. Цепочка распада 235U
Основные параметры этих систем следующие:
Материнский нуклид
Период полураспада, годы
Константа распада l, годы
Дочерний нуклид
238U
4,468 · 10 9
1,55125 · 10 -10
206Pb
235U
0,7038 · 10 9
9,8485 · 10 -10
207Pb
232Th
1,4008 · 10 10
4,9475 · 10 -11