Рынок продовольственных товаров - Страница 5
Признаками развитого продовольственного рынкаявляются: удовлетворенный спрос, организационное объединение производителей, посредников и поставщиков, активизация спроса потребителей, гибкость системы отношений в цепочке «производство – потребление», сочетание невмешательства государства в хозяйственную деятельность субъектов рынка с его регулированием на региональном и национальном уровнях.
Относительная неопределенность и неуправляемость процессами производства создают множество проблем для исследования конъюнктуры продовольственного рынка. Необходимо считаться с тем, что невозможно быстро прекратить или начать сельскохозяйственное производство. Длительное время уходит на процесс смены производства некоторых видов товаров. Например, плодовые насаждения создаются за много лет до начала их плодоношения. За этот период положение на рынке может измениться. Медленным процессом также является расширение производства молока. Даже существенное сокращение производства – дело медленное и трудное. Если осуществлены капиталовложения в здания, оборудование и поголовье изменения очень нелегки и недешевы.
Невозможность быстрой адаптации сельского хозяйства к изменяющимся условиям создает на продовольственном рынке элемент высокого риска. Изменение спроса потребителей может привести к тому, что останется невостребованным большое количество сырьевых и товарных ресурсов, предназначавшихся для производства продукции. В свою очередь высокие цены из-за нехватки товара способны сохранить потребительский рынок этого продукта, до тех пор, пока он не поступит в нужном объеме.[2]
Снижение уровня доходов населения, рост цен на основные виды продовольствия, не адекватный повышению заработной платы, во многом определяют покупательную способность и уровень потребления продовольственных товаров.
Продовольственное обеспечение по-прежнему остается в числе самых сложных проблем, решение которых требует принятия комплекса мер, обеспечивающих эффективное развитие агропромышленного комплекса как основного источника формирования продовольственного фонда, обеспечивающего физическую и экономическую доступность продовольствия.
Физическую доступность продовольствия следует гарантировать посредством обеспечения наличия в торговой сети требуемого населением количества и ассортимента продовольствия в соответствии с принятыми нормами.
Экономическую доступность продовольствия, характеризующую возможность приобретения различными социальными группами населения продовольственных товаров, необходимо гарантировать посредством поддержания равновесия уровня цен на продукты питания и доходов.
1. Какие факторы являются конъюнктурообразующими?
2. На каких принципах базируется исследование конъюнктуры рынка?
3. Дайте определение экономической конъюнктуры.
4. Назовите факторы, влияющие на изменение спроса.
5. Назовите факторы, влияющие на изменение предложения.
6. Назовите объекты и субъекты конъюнктурных исследований.
7. Назовите аспекты анализа конъюнктуры рынка продовольственных товаров.
Задание 1. Выявить типичные предприятия в группе фермерских хозяйств, при необходимости осуществить их ранжирование (порядок).
Методика выполнения:
Задачу выбора типичного предприятия из группы их специализации можно решить при допустимых ограничениях. Из множества i-х объектов (i=1, 2,…, n), каждый из которых характеризуется множеством j-х параметров (j=1, 2,…, m), следует выбрать тот, параметры a которого наиболее близки к их средним значениям для всей группы. Информация задаётся матрицей ij и вычисляется среднеарифметическое значение:

И среднеквадратическое отклонение параметров типизации:

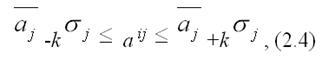
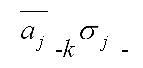
Задача выбора типичного объекта по всем параметрам сводится к определению доверительных границ интервалов, из которых не должны выходить фактические значения i-го объекта:

где нижняя граница интервала;


верхняя граница интервала.
Значение коэффициента пропорциональности k одинаково для всех заданных параметров выборки и определяется из выражения где f(k)– интегральная нормированная функция Лапласа;

k=1.
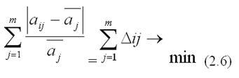
Каждый из параметров a проверяется на попадание в заданный доверительный интервал. Если параметр попадает в этот интервал, то около него ставиться знак (+), если нет, тот знак (-). В практических расчётах может возникать ситуация, когда сразу несколько i-х строк в матрице имеют все знаки (+), т. е. любой из этих объектов может быть выбран за типичный. Тогда его проверяют на минимальную сумму отношений абсолютных отклонений параметров типизации к их средним значениям:

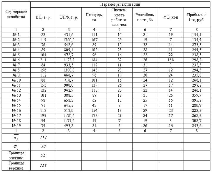
Исходные данные:
Выбор наиболее типичного объекта из претендентов проводится по результатам расчётной таблицы 2.1. 1 ранг выбора объекта присваивается строке, имеющей наименьшее значение Σ отношений абсолютных отклонений. Ранжирование объектов проводится по возрастанию суммарных значений отклонений.

Примечание: Курсивом выделены расчётные данные.
На основе полученных данных производится типизация исследуемых предприятий.
Глава 3. Конкуренция и конкурентоспособность товаров и предприятий на рынке продовольственных товаров
3.1. Понятие и виды конкуренции
Конкуренция – основная регулирующая сила рыночного товарного производства, форма экономической борьбы за максимальную реализацию личных интересов продавцов и покупателей товаров на рынке.
Основными условиями существования на рынке свободной конкуренции являются:
1) господство частной собственности на экономические ресурсы и преобладание в обществе идеологии индивидуализма;
2) обеспечение товаропроизводителям полной свободы для вхождения в любую отрасль и на любой рынок, а также свободы покидать их;
3) наличие большого числа самостоятельно принимающих решения товаропроизводителей и покупателей на рынке; благодаря многочисленности субъектов рынка решения каждого из них не могут оказать существенного влияния на рыночные цены.
Различают внутриотраслевую и межотраслевую конкуренцию, неценовую конкуренцию товаропроизводителей.
Внутриотраслевая конкуренция выражается в том, что каждый товаропроизводитель стремится продать свой товар с максимальной выгодой для себя. На рынке побеждают товаропроизводители, способные быстро адаптироваться к изменяющимся условиям, воспринимать и использовать достижения научно-технического прогресса, поэтому конкуренция способствует развитию экономики. В результате внутриотраслевой конкуренции устанавливается средняя цена предложения.