Ремонт часов - Страница 1
ПРЕДИСЛОВИЕ
И.С.БЕЛЯКОВ
С.Е.КРЕПС
П.Д.СУРИН.
«РЕМОНТ ЧАСОВ»
Госбытиздат, Ленинград
1964 г.
В книге рассматриваются методы ремонта часов различных типов; излагаются способы разборки, чистки, смазки, сборки и регулировки часов; объясняются приемы изготовления основных часовых деталей; приводятся необходимые расчетные данные и сведения справочного характера.
Книга предназначается в качестве практического пособия для часовых мастеров.
ПРЕДИСЛОВИЕ
Партия и правительство уделяют большое внимание развитию часовой промышленности в нашей стране. После Великой Октябрьской социалистической революции построено бол
ьшое количество заводов по производству часов. Появилась масса разнообразных типов часов — от простейших ходиков, карманных и наручных часов до сложных приборов измерения времени типа секундомеров, хронографов, хронометров и других.
В 1961 г. в Советском Союзе было изготовлено свыше 26 миллионов часов различных марок; значительное количество часов продано в зарубежные страны. Советские часы экспортируются в 50 стран мира.
В этой книге авторы поставили перед собой задачу дать пособие по ремонту часов различных типов.
Несмотря на то, что в большинстве случаев изношенные или поврежденные детали в часах отечественного производства заменяются новыми, часовым мастерам приходится ремонтировать часы иностранных марок и часы отечественных марок, снятых с производства, для которых готовых деталей нет. Поэтому в книге изложены также методы изготовления и исправления ряда деталей с учетом индивидуального характера их производства.
Учитывая, что ремонт часов производится не только в специализированных часовых мастерских, но и в отдельных небольших мастерских часовыми мастерами, не имеющими большого опыта работы, предлагаемая книга послужит для них руководством по ремонту часов различных марок.
В книге описаны приемы работ, основанные на опыте многих мастеров-рационализаторов, обеспечивающие высокое качество ремонта часов (М. И. Лебедевой, И. М. Кременецкого и других).
Авторы выражают признательность старейшему часовому мастеру Б. И. Иофинову за ценные советы и просмотр отдельных глав книги.
Все замечания и предложения по книге просьба направлять по адресу: Москва, К-31, Кузнецкий мост, дом 22, Издательство «Легкая индустрия».
ГЛАВА I
ТЕОРЕТИЧЕСКИЕ ОСНОВЫ И ПРИНЦИП ДЕЙСТВИЯ ЧАСОВ
1. ОПРЕДЕЛЕНИЕ И НАЗНАЧЕНИЕ
Применяемые в быту и технике часы и часовые механизмы отличаются большим разнообразием принципиальных схем и конструктивных форм, что объясняется различным назначением их и эксплуатационными условиями.
Часы — прибор для измерения времени с помощью достаточно постоянного по своей продолжительности периодического колебательного процесса. Часовой механизм — автомат, измеряющий промежутки времени различной длительности.
По своему назначению часы и часовые механизмы разделяются на следующие основные группы:
1) для измерения времени (бытовые часы и хронометры);
2) для измерения промежутков времени различной продолжительности (секундомеры, хроноскопы, хронографы);
3) для измерения промежутков времени заданной продолжительности (реле времени, таймеры);
4) для регистрации моментов текущего времени (табельные часы, штемпели времени).
Механизм обычных механических часов состоит из следующих основных частей:
1) колебательная система (баланс с волоском или маятник);
2) спусковой механизм;
3) зубчатая передача;
4) двигатель (пружинный или гиревой);
5) узел завода и перевода стрелок.
2. ПРИНЦИП ДЕЙСТВИЯ ЧАСОВ И
ОСНОВНЫЕ ФОРМУЛЫ ДЛЯ РАСЧЕТА ИХ КОЛЕБАТЕЛЬНОЙ СИСТЕМЫ
Баланс или маятник в работающих часах совершает колебательные движения. Двигаясь в одну сторону, он закручивает спиральный волосок, затем останавливается и под влиянием упругой силы волоска, стремящейся придать волоску первоначальную форму, совершает движение в другую сторону.
Отрезки времени, в которые осуществляется каждое из последовательных колебаний баланса, равны между собой, и это свойство использовано для измерения времени.
Время, в течение которого совершается одно полное колебание баланса, называется периодом колебания баланса.
Угол, на который максимально отклоняется баланс от положения равновесия, называется амплитудой колебаний баланса. Величина периода измеряется в секундах, а амплитуда — в градусах.
Число полных колебаний баланса за одну секунду называется частотой колебаний.
Период Ти частота f связаны между собой отношением
f= 1/T.
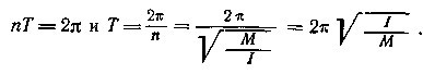
Различают еще циклическую или круговую частоту n, т. е. число колебаний, совершаемых за 2лсекунд (п = 3,14).
Циклическая частота колебаний баланса зависит от параметров баланса и волоска и может быть представлена следующим выражением:
где: I — момент инерции баланса относительно оси вращения (равный массе баланса т, умноженной на квадрат радиуса инерции р); -
М— упругая жесткость волоска (момент, развиваемый спиралью при закручивании ее на угол, равный одному радиану, т. е. 57,17 градусов). Если период колебаний выразить через циклическую частоту, то

Упругая жесткость волоска, выражается формулой:
M= Ebh3/12L,
где: L— длина волоска;
b— его ширина;
h— толщина;
Е— модуль упругости материала волоска.
Подставляя в формулу периода колебаний значение М, получим
т. е. период колебания баланса прямо пропорционален квадратному корню из момента инерции баланса и длины волоска и обратно пропорционален квадратному корню из модуля упругости материала волоска, ширины волоска и его толщины, взятой в кубе. Момент инерции баланса в свою очередь равен
тогда
Но так как масса т = — , где Р = вес баланса, a g— ускорение силы тяжести, то
Приведенная формула несколько упрощена и неполно характеризует работу реального часового механизма, в частности не отражает зависимости периода колебаний от амплитуды.
Баланс, кинематически и динамически связанный с реальным часовым механизмом и обладающий неуравновешенностью, колеблется с погрешностью, отмечаемой как нарушение хода часов, зависящее от положения центра тяжести баланса и от величины амплитуды его колебаний.
Спусковой регулятор колебательной системы, работающий совместно с механизмом часов, как правило, дает период колебания, зависящий от амплитуды, т. е. колебания системы не изохронны.
Профессором Ф. В. Дроздовым установлено, что чем больше кинетическая энергия колеблющейся системы и амплитуда колебаний баланса, тем меньше суточная ошибка хода, даваемая спусковым регулятором.
В процессе работы часового механизма колебательная система совершает незатухающие колебания с относительно постоянной частотой. Амплитуда колебаний поддерживается за счет расхода потенциальной (запасенной в двигателе) энергии, например, энергия заведенной пружины или поднятой гири. При этом энергия сообщается колебательной системе периодически, определенными по величине импульсами. Периодичность подачи энергии на колебательную систему зависит от частоты колебаний баланса или маятника и от конструкции спускового механизма. Обычно в бытовых часах применяются спусковые механизмы, посредством которых передача энергии от двигателя производится дважды за период колебания баланса или маятника. За время передачи энергии колеблющийся баланс или маятник поворачивается на определенный угол, что сопровождается также поворотом всех колес зубчатой передачи на определенные углы. В это время постепенно раскручивается пружина или опускается гиря, а стрелки движутся по циферблату. Таким образом, колебания баланса или маятника поддерживаются за счет расхода энергии двигателя, создающего постоянную по направлению движущую силу, а процессом передачи энергии от двигателя к колебательной системе управляет сама колебательная система посредством спускового механизма. Системы, в которых незатухающие колебания поддерживаются за счет источника энергии, создающего движущую силу постоянного направления, называются автоколебательными системами.