Рабочая книга супервайзера - Страница 23
Рассмотрим случай, когда заказчик скрывается от вас.
Создайте проблему для заказчика. Каждый из нас платит за проблему, которая возникает вокруг нас. И чем серьезнее проблема, тем охотнее мы расстаемся со своими деньгами. Узнайте окружение, в котором живет этот человек, и создайте ему психологический дискомфорт в этом окружении. Действуйте по принципу: «Куда бы он ни пошел, везде его должны ждать проблемы, везде он должен испытывать дискомфорт».
Позвоните в магазин и попросите его к телефону. Его, конечно же, не окажется на месте, но вы скажите продавцу: «Ваш директор согласно договору должен нам 5000 у. е. Передайте ему, что мы хотим видеть свои деньги сегодня».
Съездите к нему домой. Если его не будет, то позвоните соседу и скажите, что вы разыскиваете своего заказчика, который должен нам 5000 у. е. Как вы думаете, сообщит ли сосед эту информацию нашему заказчику?
Все это необходимо для того, чтобы заказчик каждую минуту помнил, что он должен вам деньги, и вы очень настойчивы в своем намерении забрать эти деньги.
Ведите себя настойчиво и уверенно (см. «Как выработать в себе уверенность?») и забирайте деньги как свои личные.
1. Определите вид манипуляции.
2. Требуйте погашения долга сегодня.
3. Требуйте возврата долга настойчиво.
Часть 4. ЛИЧНОСТНОЕ РАЗВИТИЕ
Глава 25: Кем вы хотите быть?
Каждый из нас в школе мечтал о том, кем стать. Вся наша деятельность была направлена на поиск информации, которая могла бы нам помочь стать тем, кем мы мечтали. Но у многих из нас мечты разрушились, поскольку изменилось внешнее окружение. В этом окружении появились новые профессии, о которых мы даже не знали. Одной из таких профессий является профессия супервайзера. Кто такой супервайзер?
Многие становятся супервайзерами автоматически после успешного опыта работы рядовым сотрудником. Но, к сожалению, не все добиваются успеха на этой должности. Так почему одни добиваются успеха, а другие бегают из одной организацию в другую в поисках лучших условий и в конце концов становятся невостребованными на рынке труда?
Как добиться успеха на должности супервайзера?
Прежде чем избрать профессию, вам необходимо понять, кем вы хотите стать и в какой области добиться успеха.
ПРОЧТИТЕ ЭТО ВНИМАТЕЛЬНО!
Всем кандидатам на должность супервайзера я задаю вопрос: «Ваша мечта или цель в жизни?» Многих этот вопрос ставит в тупик, и после некоторого размышления они отвечают: «Улучшить материальное положение, добиться карьерного роста».
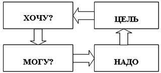
Главный принцип достижения успеха состоит в том, чтобы превратить свои желания в четкое видение результатов, которых вы хотите добиться. Это и называется постановкой цели.
Оксфордский словарь английского языка определяет слово «цель» как «объект личных устремлений и усилий, предназначение, назначенный пункт». У каждого человека есть некие намеченные пункты, предназначение, которое он пытается реализовать. Человек, который никуда не идет, никуда не придет.
ПРОЧТИТЕ ЭТО ВНИМАТЕЛЬНО!
Один из кандидатов на должность супервайзера на вопрос: «Ваша мечта или цель в жизни?» ответил, что у каждого человека есть две мечты — американская и японская. Американская мечта — построить карьеру и стать высокооплачиваемым менеджером, который будет востребован в любой компании. Японская — построить свой собственный бизнес и стать успешным предпринимателем.
Прежде чем избратьпрофессию, определите, кем вы хотите быть — успешным собственником или успешным менеджером.
У каждого из нас есть цель. Конечно, бывают и исключения. Некоторые люди не думают ни о чем, кроме сегодняшнего дня. Для кого-то целью является алкоголь, для других цель — прожить этот день. Все это можно назвать целями выживания.
На другом полюсе находятся величайшие человеческие достижения: создание компании с многомиллионным оборотом, преодоление мирового рекорда.
Между этими двумя крайностями пребывает большинство из нас, тех, кто, к сожалению, плохо различает цели выживания и цели достижений. Смысл, назначение нашей жизни не в том, чтобы внешние обстоятельства тянули нас в разные стороны. Именно вы должны решать, какой вы хотите видеть свою жизнь. Мы часто думаем: «Если бы я только мог это» или «Если бы я только имел это». Но задайте себе вопрос: «Я действительно хочу именно этого?»
Пример из личной жизни. Однажды мы с женой пошли на день рождения к нашей знакомой. После двухчасового застолья гости вышли покурить на балкон, а я остался дома и стал свидетелем разговора трёх мужчин, которые разговаривали об автомобилях. (Для справки: ни у кого из них не было автомобиля.)
Первый мужчина: «Да, хорошо иметь автомобиль, с ним можно быстро и комфортно решать все свои вопросы. Я хотел бы иметь автомобиль».
Второй мужчина: «Да, автомобиль — это хорошо. Кстати, подержанный автомобиль можно купить за 1000 у. е.».
Третий мужчина: «Я тоже хочу автомобиль и могу собрать деньги на подержанную машину, но надо ли это делать?»
Двое мужчин удивились, а третий продолжал: «Я слышал недавно песню, где есть такие слова: «я не имею машину, машина имеет меня». Это значит, что на день рождения я покупаю машине новые колеса, на Новый год — новые тормозные колодки. Так кто кого имеет: я машину или машина меня?» Мужчины согласились с ним, что машина им не нужна, и присоединились к гостям за столом, где уже был и совсем другие разговоры.
Задайте себе вопрос, действительно ли вы хотите быть руководителем? Действительно ли вы готовы взять ответственность за результат и деятельность своих подчиненных?

ПРОЧТИТЕ ЭТО ВНИМАТЕЛЬНО!
«Желания, а не способности являются залогом успеха. Вы можете получить что угодно, вы можете сделать что угодно, если вы действительно хотите этого, и единственным ограничением является то, которое вы сами себе поставите» (Питер Риггз).
Если вы хотите построить свой бизнес или стать ведущим менеджером, то работа супервайзером — это первая ступень в вашей карьере или первый шаг в построении собственного бизнеса, поскольку вы начинаете развивать мышление более высокого уровня.
Те руководители, которые «выросли» из рядовых работников, могут вспомнить, как развивалось их сознание.
1-й уровень — «служащий». Мышление «служащего» направлено на удовлетворение своих потребностей — как заработать деньги для решения своих бытовых проблем. Свое окружение он рассматривает в качестве предметов своих потребностей. Нормы, которые получает «служащий», он стремится изменить под свое собственное удобство, даже в ущерб решению задач предприятия. При возникновении затруднений «служащий» теряет значимость выполнения нереализуемой, по его мнению, задачи и ищет новую работу, где он сможет удовлетворить свои потребности. На этом уровне мышления находятся грузчики, водители, секретари, торговые представители и многие другие. «Служащие» трансформируют поставленные им задачи в конкретные действия.
2-й уровень — «исполнитель». Мышление «исполнителя» направлено на оценку своих действий и всего окружения с точки зрения функциональных требований (должностной инструкции). Основной акцент его деятельности — исполнительство. В случае возникновения трудностей «исполнитель» корректирует свою деятельность или ставит об этом в известность свое руководство и ждет дальнейших инструкций. «Исполнители» строго следуют нормам предприятия и стремятся к профессиональному росту. Это уровень мышления линейных руководителей (супервайзеров), которые «выросли» из «служащего». «Исполнитель» трансформирует поставленную ему общую задачу в подзадачи для «служащих».