Пять нерешенных проблем науки - Страница 21

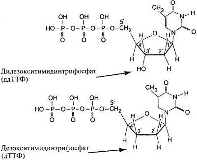
Рис. 4.9. Дезокситимидинтрифосфат (дТТФ) и дидезокситимидинтрифосфат (ддТТФ)
Сенгеровский метод обрыва цепи дидезоксидными основаниями для секвенирования ДНК начинается с того, что посредством рестрикционных ферментов расщепляют подвергаемую секвенированию ДНК на меньшие участки, а ДНК нагревают до полного разделения обеих ее нитей. Затем к этим однонитевым участкам ДНК добавляют трифосфаты с дидезоксидным основанием, после чего вводится белковый фермент ДНК полимераза, который приступает к сборке копий исходной ДНК. Из-за дидезоксидных оснований собранные молекулы представляют собой не копии исходной ДНК, а смесь из полученных прежде участков ДНК. Предварительно дидезоксидные основания помечаются (маркируются) либо радиоактивным изотопом фосфора, либо чувствительным к ультрафиолетовому свету красителем, так что конец каждой оборванной цепи становится видимым.
Затем эту смесь цепей ДНК помещают в лунки пластины геля и дают электрическое напряжение. Более короткие участки испытывают меньшее сопротивление среды (обычно желе из водоросли агароза, схожее с желатином «Джелло» [10]вещество, с той лишь разницей, что молекулы там образуют дополнительные связи, делая гель прочным) и поэтому движутся быстрее. Часто в качестве образца в одну из лунок помещают цепи известной длины. После достижения наиболее короткими цепями края пластины геля напряжение снимают. По радиоактивным или флуоресцентным маркерам определяют нуклеотидное основание в конце каждой молекулярной цепи. Поскольку электрофорез распределяет молекулы в соответствии с возрастанием длины цепи, при просмотре виден порядок расположения парных оснований нуклеотидов в исходной ДНК.
Данный метод широко применялся до середины 1980-х годов, и работа над диссертацией у многих аспирантов заканчивались участием в многолетнем проекте по секвенированию определенной части ДНК одного из модельных организмов. Приходилось брать пробы у организма, очищать, смешивать с химическими реактивами, выращивать, помещать в гель и проводить исследование, после чего собирать и толковать данные. Работа была тяжелой и продвигалась медленно. Обычно в ходе написания диссертации удавалось выстроить участок в 40 тыс. парных оснований ДНК.
Секвенирование генома человека
Озвучивая мнения многих влиятельных биологов, в номере Science за 7 марта 1986 года Ренато Дульбекко, глава Института биологических исследований им. Солка, [11]призвал к претворению в жизнь грандиозной программы по расшифровке генома человека. Он доказывал, что столь огромные усилия необходимы для понимания роли генов в развитии рака. Некоторые биологи, вроде Уолтера Гилберта (известного гипотезой РНК — мира), с радостью восприняли это предложение. Гилберт сказал: «Полный геном человека — Грааль генетики человека» (подробнее об этом сравнении далее).
Другие выразили озабоченность, что подобный гигантский проект исказит биологию до неузнаваемости. Расшифровка 3 млрд. пар азотистых оснований с помощью имеющихся на тот час средств потребует 15 — летней непрерывной работы 10 тыс. аспирантов и обойдется примерно в 3 млрд. долларов. При таких затратах человеческих и денежных ресурсов ничего не останется на все остальные биологические проекты.
Луч надежды блеснул с появлением автоматизированных устройств секвенирования. Центр исследования человеческого генома [ныне Национальный институт генома человека], подразделение [сети институтов, объединенных общим названием] Национального института здоровья (НИЗ), официально приступил к работе в октябре 1990 года под руководством Джеймса Уотсона — да, самого Джеймса Уотсона. Данный проект задумывался как международный: большинство работ поручалось различным государственным лабораториям и университетам в США, и около трети приходилось на долю Великобритании, Франции, Германии и Японии.

Все усилия были сосредоточены на создании устройств автоматизированного секвенирования, что привело к наплыву в биологию приборостроителей. В конце 1986 года биохимик, доктор медицины Лерой Худ и биохимик — технолог Майкл Ханкапиллер создали компанию Applied Biosystems Inc. (ABI) и разработали устройство, способное секвенировать в день 12 тыс. парных оснований нуклеотидов. В начале 1987 года лаборатория молекулярной биологии, возглавляемая Дж. Крейгом Вентером, испытала секвенатор ABl 375A Sequencer вместе с рабочей станцией по катализу ABl 80 °Catalyst для приготовления проб. Лаборатория Вентера занималась секвенированием двух участков, которые, как считалось, содержали гены, ответственные за крайне важные наследственные заболевания. Несмотря на отменную работу самих устройств, гены, поиском которых занимался Вентер, найдены не были. К тому же программное обеспечение выявило значительное число ошибочных результатов, так что многое пришлось сверять вручную.
Вентеру слишком уж не терпелось пролистать длинные последовательности из генетических букв в поисках немногих нужных генов или участков генома, где закодированы белки. И его осенило, как нарастить усилия. Чтобы отыскать активные гены в определенной клетке, он сначала извлекал из клетки РНК. Раз РНК строится прежде всего на основе ДНК, она содержит последовательность парных оснований нуклеотидов, относящуюся к активным частям (генам) исходной ДНК. Затем исследователи преобразовывали РНК в более устойчивую ДНК (именуемую комплиментарной ДНК — кДНК) и для хранения присоединяли ее к хромосоме какой-нибудь бактерии, используя прием резания и склеивания с помощью рестрикционных ферментов. Комплиментарной ДНК пользуются в биологических лабораториях по всему миру, так что недостатка в ней нет. Следующий шаг связан с секвенированием кДНК и сравнением ее с другими секвенированными генами. Данный подход, названный экспрессируемыми ярлыками, [12]был не нов для Вентера. О нем впервые написал химик-биолог Пол Шиммел в 1983 году, а известный генетик Сидни Бреннер и другие ученые широко использовали в конце 1980 — х. Но благодаря ABI Sequencer и электронно-вычислительным рабочим станциям по возможностям секвенирования лаборатории Вентера не было равных.
В июне 1991 года Вентер написал, что при секвенировании посредством экспрессируемых ярлыков он определил около 330 активных генов в человеческом мозге. Одним словом, Вентер определил и расшифровал более 10 % известных миру человеческих генов — и все это за несколько месяцев. Со свойственной ему прямотой Вентер заявил, что «усовершенствования в технике секвенирования ДНК теперь сделали, по существу, доступным полное обследование хромосомного набора организма по экспрессируемому гену».
Следующая статья Вентера, опубликованная в журнале Nature, еще больше подогрела недовольство некоторых биологов. В этой статье он сообщал об очередных 2375 человеческих генах, выявленных в мозге, что в 2 раза превышало число генов, расшифрованных к тому времени остальным научным сообществом. Ученые опасались, что секвенирование кДНК начнут финансировать вентеровским методом экспрессируемых ярлыков как более дешевой альтернативы расшифровке всего человеческого генома. Данный подход избегал бы искусных приемов экспрессии генов вроде lac-оператора, поскольку места соединения активаторов и репрессоров не будут секвенироваться.
Угроза патентования
Причиной дополнительных беспокойств стало патентование метода экспрессируемых ярлыков. Служба передачи технологии НИЗ подала заявку на патентование первых 330 генов еще до первой публикации Вентера в Science и присовокупила к патентованию еще 2421 ген до появления статьи в Nature. Поднялся шум, не утихающий доныне. Французский министр по науке Юбер Курьян сказал, что «нельзя предоставлять патент на то, что является нашим общим достоянием». Джеймс Уотсон, глава международного консорциума Human Genome Project, заявил, что метод экспрессируемых ярлыков «доступен обезьянам».