Путеводитель в мир электроники. Книга 2 - Страница 25
Цепочка R6, С13 — простейший фильтр низких частот (ФНЧ), выделяющий звуковой сигнал. Резистор R8 — регулятор громкости. На микросхеме DA1 построен УНЧ. Эту схему вы уже встречали по ходу чтения книги. Каких-либо особенностей она не имеет. При желании настроить подходящий уровень громкости в верхнем (по схеме) положении движка резистора R8 нужно подобрать величину R10. Увеличение этого резистора увеличивает общий коэффициент усиления микросхемы.
Очень важный каскад выполнен на, элементах VT3, R3, R7, С10, С11, С12. Как вы помните, степень регенерации в значительной степени зависит от напряжения питания регенеративного каскада. В качественном сверхрегенеративном приемнике необходимо подстраивать степень регенерации, поскольку детектирование осуществляется на одном из скатов резонансной кривой. Чем «круче» будет скат, тем большую громкость звука удастся получить. Однако слишком большая крутизна ската внесет искажения — проявится ее нелинейный характер. Учитывая это, в приемник была введена регулировка регенерации, построенная на основе управляемого источника напряжения на транзисторе VT3. Резистор R7 желательно использовать многооборотный для плавности настройки. Транзистор VT3 включен эмиттерным повторителем.
Особое внимание читателя хочется обратить на катушку L2 (рис. 11.38).

Рис. 11.38. Конструкция катушки L2
Она выполняется без сердечника, способом намотки на оправке диаметром 6 мм. Количество витков провода ПЭВ-2 или ПЭТВ диаметром 0,5 мм — 3,5. После намотки катушку следует растянуть так, чтобы ее длина между крайними выводами составила порядка 25 мм. Середину катушки необходимо зачистить от, лака и припаять к этой точке конденсатор С6. Длину свободных крайних выводов рекомендуется оставить 18 мм. В качестве катушек L1 и L3 можно использовать дроссели серии ДМ или ДПМ, а также импортные аналоги (индуктивностью 10…20 мкГн),
Монтаж приемника лучше всего осуществлять на двухсторонней печатной плате, у которой одна сторона сохранена полностью, а другая — содержит «пятачки» для пайки элементов. Естественно, должны быть просверлены отверстия для «общего проводника», которым выступает полностью сохраненная сторона.
Печатная плата приемника показана на рис. 11.39, сборочный чертеж — на рис. 11.40.

Рис. 11.39. Печатная плата

Рис. 11.40. Сборочный чертеж и внешний вид монтажа
Настраивать приемник нужно, предварительно подобрав величину конденсатора С5 до установки границ диапазона УКВ при перестройке конденсатором С4. Звук в этот момент может быть каким угодно. Затем, отрегулировав максимально возможное качество звука резистором R7, резисторами R2 и R5, добиться улучшения качества звука. Приемник настроен. Его можно поместить в подходящий корпус, вывести на переднюю панель оси С4, R7, R8. Катушку L2 желательно максимально удалить от металлических предметов, так как любой металлический предмет влияет на резонансную частоту контура.
Приемник прямого преобразования
Этот вид радиоприемников очень популярен у радиолюбителей, ведь при весьма простой реализации он позволяет добиться высоких показателей селективности и чувствительности. Кроме того, приемник прямого преобразования не нуждается в постоянной подстройке уровня регенерации, так как построен он не по принципу прямого усиления сигнала, а с использованием методов частотного преобразования сигналов. Чтобы понять, как работает приемник прямого преобразования, или гетеродинный приемник, как его по-другому называют, обратим внимание на рис. 11.41.

Рис. 11.41. К пояснению работы гетеродинного радиоприемника
Мы опять видим знакомый детекторный приемник, правда, несколько модернизированный. В контур введен генератор гармонического (синусоидального) колебания G, называемый гетеродином. Имеется также нелинейный элемент — полупроводниковый диод VD. Наличие нелинейности — принципиально важный момент для гетеродинного приемника, так как только нелинейный элемент может осуществлять преобразование сигналов. Чтобы показать, как это преобразование осуществляется, заглянем в школьный курс тригонометрии.
Для простоты будем считать, что приемник получает из антенны гармонический сигнал, который математически можно записать так:
где Uam — амплитуда сигнала, получаемого из антенны;
fa — частота принимаемого сигнала.
Генератор G создает другой синусоидальный сигнал, который записывается так:
где UGm — амплитуда сигнала, получаемого от генератора;
fG — частота сигнала генератора.
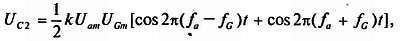
Оба сигнала, складываясь, воздействуют на нелинейный элемент — полупроводниковый диод — и в результате на конденсаторе С2 выделяется сигнал, который можно записать в виде:
где k — коэффициент пропорциональности, характеризующий качество преобразования.
Замечаем, что выходной сигнал будет содержать как очень высокую частоту — суммарную, складывающуюся из частоты гетеродина и несущей сигнала, так и низкую, состоящую из разности этих частот.
Здесь, чтобы понять процессы., происходящие в гетеродинном приемнике, сделаем небольшое отступление и разберемся в спектрах модулированных колебаний.
Помните, мы не раз уже говорили о том, что любой сигнал можно схематически изобразить как во временной, так и в частотной системах координат. Сейчас вы без труда изобразите синусоидальный сигнал во временной области — это «змейка», колеблющаяся относительно горизонтальной оси.
А вот как выглядит этот же синусоидальный сигнал в частотной области? Удивительно, но — очень просто! Взгляните на рис. 11.42.

Рис. 11.42. Вид синусоидального сигнала в частотной области (спектр)
Сигнал показан вертикальной палочкой, размер которой равен амплитуде сигнала и расположенной на частоте fc — частоте сигнала.
Все довольно просто, когда в электрической цепи мы наблюдаем одиночный синусоидальный сигнал. А если в этой цепи имеется несколько разночастотных синусоидальных сигналов? Рассмотреть их во временной области «в лоб» мы не сможем — увидеть удастся только малопонятное их переплетение. Выручит информация, представленная в частотной области, — спектр сигналов. На рис. 11.43 показан спектр трех синусоидальных сигналов с разными частотами и амплитудами.

Рис. 11.43. Спектр трех синусоидальных сигналов
Примерно так же выглядит распределение сигналов радиостанций в эфире. Чтобы выделить нужный Сигнал на фоне мешающих, нужно «вырезать» его из всего спектра фильтром, роль которого в простейшем случае выполняет одиночный колебательный контур или регенеративный каскад. На рис. 11.44 видно, что с помощью операции селекции частота f2 будет принята, а соседние частоты — нет.