Psycho-cosmic energies and Russia - Страница 6
So are Russian sports achievements more dependent on cosmic energies in the year of birth? Are we a cosmic dependent nation?
Peculiar data. From these data, along with the related evidence, follows the conclusion of our greater dependence on cosmic energy. Therefore, we shall be comprehensively evidential, statistically and factually valid. Athlete lists from the Internet. LOD data from laboratories around the world. Everything can be easily crosschecked.
Let's calculate correlation coefficients between the various parameters listed in the table.
The correlation coefficient between the average LOD value for a given year and the number of born women-world champions (between columns 8 and 11) equals -0.1 (minus 0.1).
The correlation coefficient between the LOD and the number of born men-champions (columns 7 and 11) equals – -0.16 (minus 0.16).
The correlation coefficient between the LOD and the number of born athletes-champions in Russia for a given year equals – 0.45 (minus 0.45).
Are Russian male athletes more dependent on cosmic energies related to the Earth's rotation than women? From this (along with the related evidence) follow important conclusions about Russian women in general. If the necessary cosmic energies are absent – men are discouraged, whereas Russian women can overcome difficulties in this period, too… According to some data, they pump cosmic energy more effectively, according to the other – they less depend on it.
This is important. Let's present the data in the form of graphs.


Consider that Russian men are more dependent in their achievements on cosmic energies of this type than women.
Let's present the obtained data by comparing more conventional graphs.

The relationship is not random. As well as the most well-known terrorists in the world, outstanding world athletes in track-and-field athletics and weight-lifting were more often born during the high Earth's rotational velocity. However, records were more often set during the low Earth's rotational velocity. Considering terrorists around the world, the attacks were committed by the representatives of Islamic countries more often during the years of the low Earth's rotational velocity as well.
This affords ground for efforts in understanding the differences of how the nations and nationalities perceive cosmic energies. We are interested in how Russia does it. By years of birth we differ from the rest of the world (time of birth bears the imprint of cosmic energies of that time). And what about the time of setting the records?
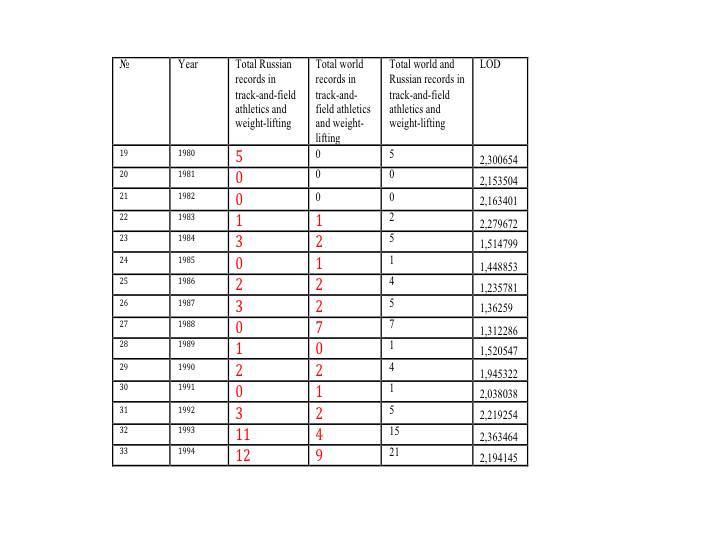
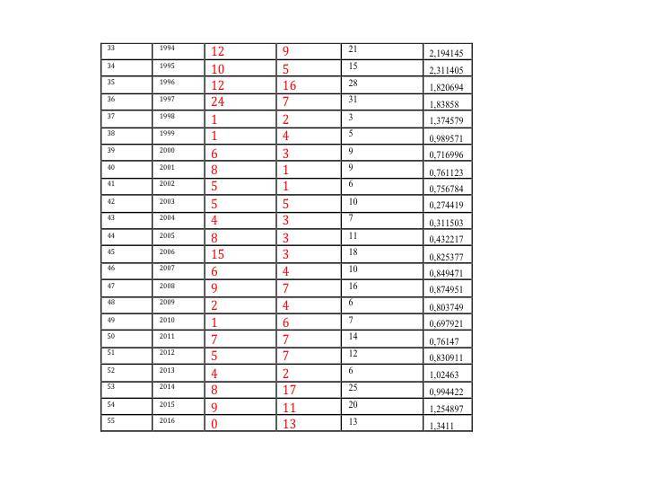
2.3 A relationship between the time of setting the outstanding sports records in the world and in Russia, and the Earth's LOD in annual cycles



Data agreement (correlation) between these indicators at different time periods is different.



Correlation coefficients fluctuate partly due to a small amount of data for each year. This is true.
Adding data by considering not only the champions but also the prizewinners that took 2-3 places will unwittingly lead to "noising" the selection criteria. In this case it is better to sacrifice quantity to analyze really outstanding records.
But the prudent conclusion is: "we are very different from the others". Russian relationships are more closely related to the Earth's rotational velocity, and sometimes in the opposite way than for the rest of the world.
Let's combine data on the world and Russian records (however, among the world champions there are Russians). Let's make a combined graph of the number of world and Russian sports records in a given year and the average Earth's LOD value this year.
In the given example, the correlation coefficient between the Earth's LOD and the number of records set during that year equals zero. R = 0.
Let's show this relationship on a graph.

There are statistical relationships between the variables. This is a classic case where the linear correlation coefficient is worse than the graphic relationship representation. Since for the different historical periods we have different relationships.
Therefore, we provide graphs for the periods from 1980 to 1991 and from 1992 to 2016.


By breaking the data into two time periods we obtain the correlation coefficients worthy of our reflection.

In one case, correlation coefficient is negative, in the other – positive.
Remember that 1991 is the year of collapse of the USSR. Also, this is the time of dramatic changes in the number of various diseases in Russia per 100000 people, etc.
This suggests that the period between 1991 – 1993 is the time of changes of the cosmic energies that affected Russia greater than other countries. This influence even affects physiology of highly skilled athletes, that is, very healthy people. And things went different. Let's think about that.
The graph shows that the minimal Earth's LOD values were observed at the end of the millennium.
Note that since 1993 there has been a stable, strong positive statistical relationship between the Earth's LOD growth and the achievements of athletes.
We provide the graph that supports these conclusions in a more familiar form.

The greater the Earth's rotational velocity is – the worse do the best world athletes run, the less weights do they lift. Inverse relationship.
We draw one conclusion: there are the time periods of positive correlation between the number of world records set in track-and-field athletics and weight-lifting and the Earth's rotational velocity, and there are the times of negative correlation. No more. One can observe the same effect as for growth of trees: some of them grow well at the increase of the Earth's rotational velocity, whereas some other grow bad.