Простая одержимость. Бернхард Риман и величайшая нерешенная проблема в математике. - Страница 76
что дает в точности число 25, которое и в самом деле является числом простых чисел меньших 100. Волшебство.
А теперь повернем Золотой Ключ.
Вот Золотой Ключ, первое равенство в статье Римана 1859 года, полученное нами в главе 7, когда я убеждал вас, что это просто хитрый способ переписать решето Эратосфена:
He будем забывать, что числа, появляющиеся в правой части, — это в точности все простые числа.
Возьмем логарифм от обеих частей. Если что-то равно чему-то, то, конечно, и логарифм одного должен быть равен логарифму другого. Согласно 9-му правилу действий со степенями, которое гласит, что ln(a×b) = ln а + ln b, получаем

Но, поскольку ln 1/a = −ln a согласно 10-му правилу, это выражение равно

Теперь вспомним ряд сэра Исаака Ньютона для функции ln (1 − x) из главы 9.vii. Он пригоден при x, лежащем от −1 до +1, что, без сомнения, выполнено в нашем случае, поскольку s положительно. Поэтому каждый логарифм можно разложить в бесконечный ряд таким образом (19.3):

Это бесконечная сумма бесконечных сумм — с первого взгляда, я полагаю, подобное немного пугает, но в математике такие конструкции встречаются достаточно часто.
Сейчас может показаться, что мы оказались в ситуации, которая много хуже той, что была вначале. Аккуратненькое бесконечное произведение мы превратили в бесконечную сумму бесконечных сумм. Предприятие может показаться безнадежным. Да, но это если не использовать всю мощь анализа.
Возьмем какой-нибудь один из членов в этой сумме сумм. Выберем, например,

Но зачем мы вообще все это делаем? Чтобы вернуться к функции J, вот зачем.
Дело в том, что x = 32 — это значение, при котором функция J совершает прыжок на 1/2. В голове у математика — и уж точно в голове у великого математика, каким был Риман, — приведенное выражение


Рисунок 19.4.

Конечно, площадь под графиком функции J бесконечна. Нарисованная полоска уже имеет бесконечную площадь (высота 1/2, длина бесконечна, площадь 1/2×∞ = ∞). Таковы же площади и всех других полосок. Все вместе они складываются в бесконечность. Но что, если я пожелаю «придавить» функцию J справа таким образом, чтобы площадь под графиком стала конечной? Так, чтобы каждая из этих полосок постепенно сужалась и сжималась до такой степени, чтобы площадь ее стала конечной? Как можно было бы осуществить такое «придавливание»?
Последний интеграл подсказывает как. Предположим, что мы взяли какое-нибудь число s (которое будем считать большим единицы). Для каждого аргумента x умножим J(x) на x−s−1. Для иллюстрации возьмем s = 1,2. Тогда x−s−1 = x−2,2 или, другими словами, 1/x2,2. Возьмем аргумент x, скажем, равным 15. Вот, J(15) есть 7,333333…, а 15−2,2 равно 0,00258582…. Перемножая, получаем, что J(x)x−s−1 имеет значение 0,018962721…. Если брать большие аргументы, то сдавливание будет выражено более ярко. При x = 100 значение выражения J(x)x−s−1 равно 0,001135932….
На рисунке 19.5 показан график функции J(x)x−s−1 при s = 1,2. Чтобы подчеркнуть «эффект сдавливания», там показана та же самая полоска, которая была выделена и ранее, но теперь после сдавливания. Видно, как она все более и более худеет по мере того, как аргумент устремляется на восток. Имеется вполне реальный шанс, что вся площадь окажется конечной, несмотря на свою бесконечную длину. В предположении, что так и есть и что дело обстоит таким же образом для всех полосок, спросим себя: какова же будет полная площадь под графиком этой функции? Или, выражаясь математически, каково будет значение

Рисунок 19.5.
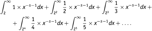
Давайте посмотрим. Будем перебирать простые числа одно за одним. Для простого числа 2 до сдавливания имеем полоску высоты 1, идущую от 2 до бесконечности, далее полоску высоты идущую от 22 до бесконечности, затем полоску высоты идущую от 23 до бесконечности, и т.д. Сумма площадей сдавленных полосок — если мы рассматриваем пока только простое число 2 — равна (19.4):

Конечно, это пока только 2-полоски. Имеется аналогичная бесконечная сумма интегралов для 3-полосок (19.5):

И аналогичная сумма для 5, потом для 7 и т.д. для всех простых чисел. Бесконечная сумма бесконечных сумм интегралов! Все хуже и хуже! Да, но самый густой мрак перед рассветом.
Это возвращает нас к началу данного раздела. Поскольку интеграл прозрачен для умножения на число, ![]()