Простая одержимость. Бернхард Риман и величайшая нерешенная проблема в математике. - Страница 28
Первое выжившее число — это 7. Следующий шаг состоит в том, чтобы, сохраняя теперь 7 в неприкосновенности, удалить каждое седьмое число после 7, если его еще не удалили до этого. Первое число, которое выживает после этого, — 11. И так далее.
Если проводить эту процедуру бесконечно, то оставшимися числами будут все простые числа. В этом и состоит «решето Эратосфена». Если остановиться прямо перед тем, как пришло время обрабатывать простое число p — другими словами, прямо перед тем, как надо будет удалять каждое p-е число, если оно еще не было удалено, — то мы получим все простые числа, меньшие p2. Поскольку выше мы остановились прямо перед обработкой семерки, у нас имеются все простые до 72, т.е. 49. После этого числа остаются и не простые числа, такие как 77.
Решето Эратосфена — вещь достаточно простая. И ему уже 2230 лет. Как же оно перенесет нас в середину XIX века, к глубоким результатам в теории функций? А вот как.
Я собираюсь повторить только что проведенную процедуру. (Именно по этой причине мы разобрали ее столь тщательно.) Но на этот раз я применю ее к дзета-функции Римана, которую мы определили в конце главы 5. Дзета-функция от некоторого аргумента s, большего единицы, записывается как

Стоит заметить, что такая форма записи предполагает выписывание всех положительных целых чисел — в точности как в начале наших действий с решетом Эратосфена (с тем только исключением, что на сей раз включена 1).
Сделаем такое: умножим обе части равенства на

где мы пользовались 7-м правилом действий со степенями (которое говорит, например, что 2s умножить на 7s равно 14s). А теперь вычтем второе из этих выражений из первого. В одну из левых частей входит ζ(s) с множителем 1, а в другую — та же ζ(s) с множителем

Вычитание устранило из бесконечной суммы все члены с четными числами. Остались только члены, в которые входят нечетные числа.
Вспоминая решето Эратосфена, умножим теперь обе части порченного равенства на

Теперь вычтем это выражение из того, которое мы получили ранее. При вычитании левых частей будем рассматривать

Из бесконечной суммы исчезли все члены, содержащие числа, кратные тройке! Первое выжившее число — это теперь 5.
Умножив теперь обе части полученной формулы на

А теперь, вычитая это равенство из предыдущего и рассматривая на этот раз

Все слагаемые с числами, кратными 5, исчезли при вычитании, и первое выжившее число в правой части — это 7.
Замечаете сходство с решетом Эратосфена? Но вы должны заметить и отличие. При работе с исходным решетом мы оставляли сами простые числа в неприкосновенности, удаляя только их кратные — числа, полученные из них умножением на 2, 3, 4, …. Здесь же при вычитании мы устраняем из правой части как само простое число, так и все его кратные.
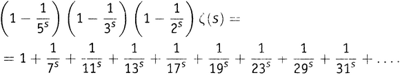
Если продолжать описанную процедуру до достаточно большого простого числа, скажем, до 997, мы получим

Теперь заметим, что если s — любое число, большее единицы, то правая часть этой формулы совсем ненамного больше чем просто 1. Например, при s = 3 правая часть этой формулы равна 1,00000006731036081534… Поэтому выглядит довольно правдоподобным предположение, что если продолжать указанный процесс до бесконечности, то для любого числа s большего 1 получится следующий результат (7.1):

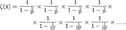
где в левой части содержится ровно одно выражение в скобках для каждого простого числа, причем эти скобки продолжаются налево без конца. Теперь поделим обе части полученного выражения последовательно на каждую из этих скобок (7.2):

Это — Золотой Ключ. Чтобы он предстал перед нами во всей красе, давайте немного его почистим. Дроби с дробными знаменателями нравятся мне ничуть не больше, чем вам, а кроме того, есть еще полезные математические приемы, которые позволят нам сэкономить на наборе формул.
Прежде всего вспомним 5-е правило действий со степенями: оно говорит, что a−N есть 1/aN и a−1 есть 1/a. Поэтому выражение (7.2) можно записать поаккуратнее:
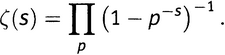
Есть даже еще лучший способ. Вспомним про обозначение ∑, введенное в главе 5.viii. Когда мы складываем компанию слагаемых единообразной структуры, их сумму можно записать коротко, используя знак ∑; у этого имеется эквивалент для умножения, когда сомножители имеют единообразную структуру: тогда используется знак ∏. Это заглавная греческая буква «пи», используемая в этом качестве из-за слова «product» (произведение). Используя знак ∏, выражение (7.2) можно переписать таким образом:

Читается это так: «Дзета от s равна взятому по всем простым числам произведению от величины, обратной единице минус p в степени минус s». Подразумевается, что маленькое p под знаком ∏ означает «по всем простым».[55] Вспоминая определение функции ζ(s) в виде бесконечной суммы, можно подставить эту сумму в левую часть и получить

И сумма в левой части, и произведение в правой части простираются до бесконечности. Это, кстати, дает еще одно доказательство того факта, что простые числа никогда не кончаются. Если бы они вдруг кончились, то произведение в правой части содержало бы конечное число множителей, и тем самым мы его немедленно вычислили бы как какое-то число при абсолютно любом аргументе s.[56] При s = 1, однако, левая часть представляет собой гармонический ряд из главы 1, сложение членов которого «уводит нас в бесконечность». Поскольку бесконечность в левой части не может равняться конечному числу в правой, количество простых чисел с необходимостью бесконечно.