Простая одержимость. Бернхард Риман и величайшая нерешенная проблема в математике. - Страница 21
Картина такова, как будто ln x старается быть функцией x0. Конечно, это не x0: для любого положительного числа выражение x0 определяется равным числу 1, согласно 4-му правилу, и соответствующий график, как мы видели, — это «остановка сердца». Но хотя функция ln x и не есть x0, она умудряется при достаточно больших x поднырнуть под функцию xε со сколь угодно малым ε и оставаться там уже навсегда.[39]
В действительности дело обстоит даже еще более странным образом. Рассмотрим утверждение: «функция ln x рано или поздно будет расти медленнее, чем x0,001, и x0,000001, и x0,000000001, и …» Представим себе, что мы возвели все это утверждение в некоторую степень — скажем, в сотую. (Это, надо признать, не очень строгая математическая операция, но она приводит к верному результату.) После применения 3-го правила утверждение будет выглядеть так: «функция (ln x)100 рано или поздно будет расти медленнее, чем x0,1, и x0,0001, и x0,0000001, и …». Другими словами, если логарифм растет медленнее, чем любая степень буквы x, то это же верно и для любой степени функции ln x. Каждая из функций (ln x)2, (ln x)3, (ln x)4, …, (ln x)100, … растет медленнее, чем любая степень x. Независимо оттого, сколь велико N и сколь мало ε, график функции (ln x)N в конце концов поднырнет под график функции xε и останется там, внизу.
Такое нелегко себе представить. Функции (ln x)N растут быстро — и даже очень быстро. И тем не менее, если на рисунке 5.3 отойти достаточно далеко на восток, то рано или поздно, при некотором впечатляюще большом аргументе, каждая из них опустится ниже кривой x0,3, x0,2, x0,1 и вообще любой кривой из этого семейства, какую вы только потрудитесь нарисовать. Придется отправиться на восток в окрестность точки x = 7,9414×103959, прежде чем (ln x)100 опустится ниже, чем x0,3; и однако же это случится.
Кое-что из сказанного понадобится нам прямо сейчас, а кое-что останется на потом. Но все сказанное важно для понимания Гипотезы Римана, и я призываю вас проконтролировать некоторые основные моменты — проверить, как вы их понимаете, прежде чем двигаться дальше. Для этого сгодится карманный калькулятор. Можете, например, найти ln 2 (он равен 0,693147…) и ln 3 (равный 1,098612…) и удостовериться, что при сложении их действительно получается ln 6 (равный 1,791759…). Но только обратите, пожалуйста, внимание, что (как я уже упоминал) прежде использовались логарифмы по основанию 10, так что клавиша «log» на многих карманных калькуляторах вычисляет именно десятичные логарифмы. Тот единственный логарифм, который нас здесь интересует, — логарифм по основанию e — на калькуляторе, как правило, вычисляется с помощью альтернативной клавиши, помеченной ln x. Вот эта клавиша вам и нужна. (Буква n указывает на «натуральный» логарифм; логарифм по основанию e по всем правилам называется «натуральный логарифм».)
Ну а теперь вернемся к базельской задаче.
Эйлерово решение базельской задачи прекрасно иллюстрирует сделанное в разделе I этой главы замечание, что поиск решений в замкнутом виде расширяет понимание, позволяя проникнуть в суть вещей. Эйлерово решение дало не только замкнутое выражение для ряда из обратных квадратов, но в качестве побочного продукта еще и замкнутые выражения для рядов

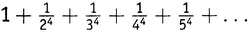
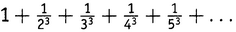
Когда N равно двум, ряд сходится к π2/6, как уже было сказано; когда N равно 4, ряд сходится к π4/90; когда N равно 6, ряд сходится к π6/945 и т.д. Метод Эйлера дает ответ для каждого четного N. В более поздней публикации он сам добрался до N = 26, когда ряд сходится к числу 1 315 862π26/11 094 481 976 030 578 125.
А что, если N нечетное? Полученный Эйлером результат ничего про это не говорит. Как не говорит и ни один другой результат, полученный за последующие 260 лет. Нет никаких идей относительно замкнутого выражения (если таковое вообще существует) ни для
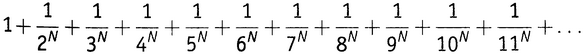
Итак, к середине XVIII века немало математиков задумывались над бесконечным рядом из выражения (5.1). Точные значения — замкнутый вид — были известны для всех четных чисел N, тогда как для нечетных можно было получать приближенные значения, беря сумму достаточного числа членов. Не будем забывать, что, когда N равно 1, соответствующий ряд становится просто гармоническим рядом, который расходится. В таблице 5.1 приведены значения выражения (5.1) (которое, напомним, есть
| N | Значение выражения (5.1) |
|---|---|
| 1 | (нет значения) |
| 2 | 1,644934066848 |
| 3 | 1,202056903159 |
| 4 | 1,082323233711 |
| 5 | 1,036927755143 |
| 6 | 1,017343061984 |
Таблица 5.1.
Эта таблица похожа на один из тех «мгновенных снимков» некоторой функции, которые мы рассматривали в главе 3.iv. Так примерно дело и обстоит. Вспомним утверждение Гипотезы Римана, приведенное во вступлении.
Все нетривиальные нули дзета-функции имеют вещественную часть, равную одной второй.
Таблица 5.1 дает нам первое представление о дзета-функции Римана и тем самым представляет собой первый шаг к пониманию Гипотезы Римана.
Коль скоро в предшествующих разделах данной главы мы потрудились придать смысл степенной функции xa для любого числа a, а не просто для целых чисел, сейчас нет причины ограничивать букву N в выражении (5.1) целыми числами. Можно представить себе, как это число свободно парит, принимая различные значения — дробные, отрицательные и иррациональные. Нет, правда, гарантии, что ряд будет сходиться для всех чисел — как мы уже знаем из главы 1.iii, он не сходится при N = 1. Но можно, по крайней мере, попытать счастья, исследуя разные возможности.