Природа времени: Гипотеза о происхождении и физической сущности времени - Страница 23

Изменить размер шрифта:

Тот, кто, прочтя это место, успел подумать: «Тогда зачем вся эта затея, зачем гипотеза неоднородного времени?», не должен огорчаться. Нас окружают очень активные космические тела, а рядом с нами энергоемкие научно-технические и технические творения рук человеческих, везде элементарные частицы, наконец, рядом живые существа с их уникальной способностью изменять свою внутреннюю энергию.

…Передо мной сейчас наш домашний телевизор на массивной деревянной тумбе. (Диктор рассказывает, как американский президент поскользнулся и упал с лестницы; повествует диктор об этом как-то странно — почти весело…)

Так вот, два различных субъекта Вселенной: живой, полный сил и энергии телевизор и «мертвая», давно отшумевшая зеленой листвой тумба. Конечно же, теоретически у них должно быть различное собственное время. Вопрос лишь в том, можно ли обнаружить это различие и можно ли извлечь какую-то пользу из этого различия?

Не умея определять их темп времени, мы можем только гадать, за какой срок сверхточные часы, спрятанные в телевизоре, уйдут вперед на одну секунду от показаний часов тумбы. За год или за сто лет, а может быть, и за тысячи и за миллионы?

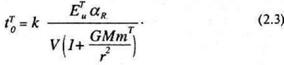
Можно ли для практических целей упростить формулы (2.1) и (2.2)? Очевидно, да. В условиях Земли, когда какая-либо подсистема покоится на ее поверхности, не имеет смысла учитывать ее скорость относительно Земли — она, как правило, очень далека от скорости света. Для каждого конкретного места будут постоянными и масса Земли, и центробежная составляющая силы тяжести.

Перепишем формулу (2.1) в упрощенном виде, исключив составляющую ρω2 Sinβ — Это повысит реальный темп времени на некоторую величину, всегда постоянную в определенной точке Земли (это превышение максимально на экваторе и равно нулю на полюсах).

Тогда формула (2.1) примет вид:

Природа времени: Гипотеза о происхождении и физической сущности времени - AUTO_fb_img_loader_3

Формула (2.3), несмотря на частный характер условий, которым она соответствует, очень удобна для последующего анализа как следствий рассматриваемой гипотезы, так и для объяснения некоторых загадок и парадоксов времени.

То, что время каждой материальной системы всегда относительно, это после Эйнштейна никого уже не удивляет. Но теперь, если принять нашу гипотезу, оно может быть неодинаковым и при совпадении всех времяформирующих факторов, вытекающих из теории относительности.

И это, не снимая старых проблем, создает новые. Дело в том, что все тела взаимно влияют друг на друга — взаимодействуют между собой. И не только в пределах системы — на них влияет внешний мир ближних систем высшего порядка и, наконец, часть Вселенной, в локальности которой они находятся.

Ученые давно и уверенно утверждают, что вообще говорить о времени в различных точках пространства имеет смысл только как об «определении порядка событий, связанных между собой материальными взаимодействиями». Безусловно соглашаясь с этим, согласимся и с тем, что с позиций нашего понимания времени все эти взаимодействия с неизбежностью должны влиять на собственное время различных локальностей.

Можно утверждать, что в потоках взаимодействий участвуют элементарные частицы и их совокупности (вещество), а также материальные поля. В результате в каждой подсистеме (и в системе в целом) могут изменяться суммарная энергия их внутренних процессов и суммарное гравитационное воздействие.

Каждая подсистема непрерывно и ощутимо буквально бомбардируется частицами разных энергий, разных свойств. Но во Вселенной идет и непрерывный обмен веществом, что влияет непосредственно на изменение масс и гравитационных сил. Случаются (так полагают специалисты) грандиозные взаимодействия, когда нейтронные звезды или черные дыры всасывают в себя гигантские газопылевые облака и звезды, а центры галактик способны поглотить и звездные системы — галактики.

Но если так, если в природе идет между материальными субъектами постоянный обмен энергиями и массами и это изменяет их темп собственного времени, то мы вправе ввести понятие псевдопотока времени (или псевдовременного потока). Термин «псевдо» в значении «как бы» я употребил не из желания «обнаучить» проблему. Вопрос принципиальный. Если бы я воспользовался термином «поток времени», то меня следовало бы заподозрить в привязанности к субстанциальному пониманию времени. Я же твердо убежден, что времени как субстанции, независимой (даже частично) от материальных отношений в природе, не существует, т. е. я сторонник реляционной концепции (как в части происхождения времени, так и во взаимоотношениях времени и вещества), а потому никаких «потоков времени» быть не может.

Иное дело, что обычные носители взаимодействий (частицы, вещество, поля) сами могут иметь различное собственное время. И если некое тело поглощает, например, поток частиц, собственное время которых резко отлично от времени тела, то создается впечатление, что в это тело входит поток времени. Это обманчивое впечатление очень распространено. В действительности — все проще. Даже в том случае, когда одна частица, сталкиваясь с другой, изменяет ее собственное время, при этом происходит не передача порции времени от одной частицы к другой, а одно из двух: либо у второй частицы изменяется ее внутренняя энергия, либо она изменяет скорость своего движения и, как следствие этого, изменяется ход времени. Само по себе время ниоткуда не вытекает и никуда не втекает. Такого времени просто нет.

Тем не менее, поскольку взаимодействия участвуют в изменении собственного времени тел, мы должны ввести понятие псевдовременного потока.

Псевдовременной поток — это та часть материальных носителей взаимодействия, которые, поглощаясь или излучаясь материальной системой (телом), в общем случае изменяют ее внутреннюю энергию, массу и гравитацию.

Следовательно, каждая материальная система обладает как своей собственной массой и создает индивидуальный поток гравитации, а также обладает собственным временем и создает свой индивидуальный псевдопоток времени, направленный вовне. Все материальные системы, таким образом, взаимозависимы. Как же оценить эту взаимозависимость?

Чтобы не быть «раздавленным» множеством факторов, влияющих на время конкретной подсистемы, выход только один — ввести ограничения. Но, разумеется, не произвольные, а с учетом весомости факторов, участвующих во взаимодействиях. В этом смысле, как правило, гравитация наиболее существенно влияет на собственное время любой подсистемы.

Оценивая собственное время отдельных субъектов Вселенной, помня о том, что в каждой точке (каждой локальности) Вселенной собственное время в принципе различно, мы должны ввести новые определения.

Время будем считать когерентным, если в определенной локальности оно одинаково (едино), т. е. характеризуется постоянством своих показаний или постоянной закономерностью их изменений.

Локально-когерентным будем считать собственное время (или темп собственного времени) тела (локальности, подсистемы), обладающего когерентным временем.

Квазикогерентным будем считать собственное время (или темп собственного времени) системы, состоящей из подсистем, каждая из которых в общем случае обладает своим отличающимся локально-когерентным временем.

Систему, состоящую из совокупности тел, будем считать автономной, если все другие окружающие систему тела, настолько слабо гравитационно взаимодействуют с ней, что неучаствуют в общем движении системы вокруг центра ее вращения.

Такая система обладает условно единым (усредненным), т. е. квазикогерентным собственным временем.

Может возникнуть вопрос о целесообразности введения специального термина «квазикогерентное время», если существует термин «координатное время». Понятия, обозначаемые этими терминами, заметно отличаются. Время координатное «совпадает с собственным временем… часов, которые находятся в центре соответствующей системы пространственных координат». Усредненное — квазикогерентное время реальной системы может совпадать с координатным временем только в частном случае, когда центр масс системы совмещен с центром системы координат, а сама система идеально однородна по энергосодержанию и плотности вещества, из которого она состоит.

Оригинальный текст книги читать онлайн бесплатно в онлайн-библиотеке Knigger.com