Песни о Паскале (СИ) - Страница 77
Рис. 99 – Запись в танцевальный кружок
Теперь станьте на место учителя: к вам приходят то мальчик, то девочка, но вы не знаете, кто будет следующим, – это поток, и в нём доступен только первый его элемент. Организовать входной поток можно посимвольным вводом «мальчиков» и «девочек». Но мы сделаем ещё проще: представим поток детишек строкой, и будем считать, что к преподавателю они являются слева направо по одному. Например, строка
ZHJKqwertASDyuiopQWERTYUIOPasdf
означает, что первым явится мальчик по имени Z, а последней – девочка по имени f. Первая пара составится из мальчика Z и девочки q. Это упрощение не меняет сути нашей модели, но избавляет её от второстепенных деталей.
Итак, с учетом всех договоренностей, явим задачу в окончательном виде. Дана строка, состоящая из больших и маленьких букв латинского алфавита – «мальчиков» и «девочек». Мы должны сформировать другую строку, состоящую из тех же символов, но следующих попарно: сначала большая буква – «мальчик», затем маленькая – «девочка». Пары разделяются пробелом. Например, для указанной выше строки, пары должны быть составлены так:
Zq Hw Je Kr At Sy Du Qi Wo Ep Ra Ts Yd Uf
А напоследок программа должна напечатать имена тех, кто временно остался без пары. Здесь это будут пришедшие в числе последних мальчики I, O и P.
Если логика программы вам ясна, разрешим теперь главный вопрос: как организовать очередь символов? Ведь очередь – это не просто массив данных, а механизм, содержащий и хранилище данных и процедуры для работы с ними.
Сделаем так. Элементы очереди – символы – будем хранить в строковых переменных. К ним добавим ещё две процедуры: одну – для установки элемента в очередь, другую (это будет функция) – для извлечения из очереди первого элемента. Назовем их соответственно PutInQue – «поставить в очередь» и GetFromQue – «извлечь из очереди» (Queue – «очередь» или «хвост»). Всё это представлено в программе «P_45_1».
{ P_45_1 – Запись в танцевальный кружок }
{ Постановка символа arg в очередь Que }
procedure PutInQue(var Que: string; arg: char);
begin
Que:= Que + arg; { добавляем в конец строки }
end;
{ Выбор из очереди Que элемента в параметр arg }
function GetFromQue(var Que: string; var arg: char): boolean;
begin
if Length(Que) = 0 { если очередь пуста }
then GetFromQue:= false
else begin
GetFromQue:= true; { если не пуста }
arg:= Que[1]; { запоминаем первый элемент }
Delete (Que, 1, 1); { и удаляем его из очереди }
end
end;
{ Глобальные переменные }
var S_IN : string; { входной поток – символы }
S_OUT : string; { выходной поток (пары) }
Boys : string; { очередь мальчиков }
Girls : string; { очередь девочек }
c1,c2 : char; { очередная пара – символы строки }
i : integer; { индекс во входном потоке }
begin {--- Главная программа ---}
{ задаем (вводим) входной поток: A..Z – мальчики, a..z – девочки }
S_IN:='ZHJKqwertASDyuiopQWERTYUIOPasdf';
S_OUT:=''; { выходной поток пока пуст }
Boys:=''; Girls:=''; { Очищаем очереди мальчиков и девочек }
{ Цикл обработки входного потока }
for i:=1 to Length(S_IN) do begin
c1:= S_IN[i]; { выбираем из входного потока }
if c1 in ['A'..'Z']
then begin { если это мальчик…}
{ если в очереди есть девочка }
if GetFromQue(Girls, c2)
{ добавляем пару в выходной поток }
then S_OUT:= S_OUT+c1+c2+’ ’
{ а иначе помещаем мальчика в очередь }
else PutInQue(Boys, c1);
end
else begin { а если это девочка…}
{ если в очереди есть мальчик }
if GetFromQue(Boys, c2)
{ добавляем пару в выходной поток }
then S_OUT:= S_OUT+c2+c1+’ ’
{ а иначе помещаем девочку в очередь }
else PutInQue(Girls, c1);
end
end;
Writeln('Входной поток:' );
Writeln(S_IN);
Writeln('Выходной поток:' );
Writeln(S_OUT);
if Length(Boys)>0 then begin
Writeln('В очереди мальчиков остались:' );
Writeln(Boys);
end;
if Length(Girls)>0 then begin
Writeln('В очереди девочек остались:' );
Writeln(Girls);
end;
Readln;
end.
Процедура PutInQue просто добавляет символ в конец строки. Строго говоря, если длина строки достигнет 255, то новый символ не попадет в очередь. Но мы не станем усложнять программу дополнительными проверками, – считаем, что емкости очереди нам достаточно.
Но для функции GetFromQue, выбирающей из очереди первый символ, контроль строки на пустоту необходим, иначе работа модели нарушится. Функция возвращает состояние очереди, бывшее до извлечения символа (TRUE, если очередь не была пуста). А сам извлекаемый символ возвращается через параметр arg, – это ссылка на символьную переменную. Вот, пожалуй, и вся премудрость. Испытайте эту программу. Добавьте операторы печати для наблюдения за очередями.
Скитания товарного вагона
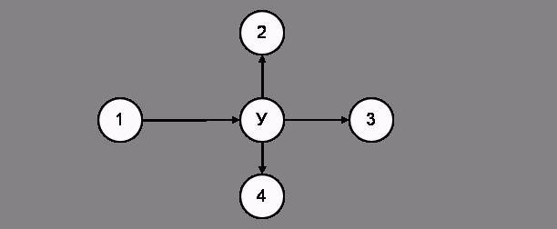
Прежде, чем углубиться в стек, вникнем в работу железной дороги. Вы знаете, как железнодорожники доставляют товарный вагон из пункта «А» в пункт «Б»? «Очень просто, – скажете, – цепляют к составу и тащат!» Тогда взгляните на рис. 100.

Рис.100 – Доставка вагонов между несколькими станциями
Здесь показаны пять железнодорожных станций, четыре из которых обозначены цифрами, а пятая – узловая станция – буквой «У». Предположим, что со станции «1» надо доставить несколько десятков вагонов на другие станции (по направлению стрелок). С этих станций тоже везут вагоны, но соответствующие стрелки я не показал. Тащить вагоны поодиночке разорительно! Поэтому их собирают в составы по нескольку десятков вагонов. Накопив такой состав на станции «1», железнодорожники доставляют его на узловую станцию; сюда же стекаются составы с других направлений. На узловой творится самое интересное, – здесь из одних составов формируют другие с тем, чтобы тащить их далее в нужном направлении. Эта работа называется сортировкой состава. В нашей стране сотни товарных станций, многие из которых узловые. Прежде чем попасть по назначению, вагон кочует между узловыми станциями, проходя через несколько сортировок. А вы говорите: просто, просто!
Но это ещё присказка, – сказка впереди.
Сортировочная горка
Итак, на узловых станциях формируют новые составы с тем, чтобы каждый вагон следовал далее в нужном направлении. Для сортировки устроены так называемые сортировочные горки. Горка – это слегка наклоненный участок пути; если отцепить от стоящего на нём состава вагон, последний покатится под горку. Но укатится недалеко, – под горкой устроено несколько тупиков. Тупик – это обычное состояние программиста, но здесь я говорю о других тупиках, железнодорожных. Это участки пути, ограниченные с одной стороны земляным валом. Уткнувшись в этот вал, вагон остановится. Горка соединяется с тупиками железнодорожными стрелками, переключая которые можно направить катящийся с горки вагон в тот или иной тупик (рис. 101).