Педагоги шутят тоже... Только строже - Страница 12
— <…> Прекрасно! Но я хотел бы поселиться здесь вместе со своей женой.
— В таком случае ставка возводится в квадрат. И Вы должны будете платить не 10, а 100 центов за 1 кв. метр, т. е. 1 долл.
— Но позвольте, — возразил математик, — в таком случае я буду платить (0,1)2= 0,01 долл. за 1 кв. метр, т. е. один цент!
Кто из них прав?
(Пересказ по кн.: [Жуков и др., 2005])
Слово «эллипс» с тремя ошибками
Несмотря на то что в начале темы о кривых второго порядка я всегда подчеркиваю, как надо правильно писать слово эллипс, многие, сдавая домашние задания, пишут его с одним л: элипс. Но бывают и случаи, правда, редко, когда пишут с двумя ошибками: элепс. А однажды мальчик из Якутии умудрился написать это слово аж с тремя ошибками: елепс.
(Рассказ Б. Г.)
С. Н. Федин сообщает о других забавных ошибках. «Один студент назвал параболоид эпилептическим (вместо эллиптического), гиперболоид однополым, (вместо однополостного). Другой студент назвал гиперболоид второго типа двухлопастным (вместо двухполостного). Дисперсию одна студентка поименовала депрессией».
[Федин и др., 2010. С. 46–47, 56]
В той же книге С. Н. Федина (2009, С. 55) упоминается еще одна из словотворных нелепостей: «интеграл Люмбаго». Так его поименовала студентка матфака педагогического университета. Она имела в виду интеграл Лебега, который упоминался у них в курсе матанализа. Больше он ей в жизни не встречался, но, видимо, встречался медицинский термин люмбаго, означающий невралгию (прострел).
А я из нелепых искажений терминов математического анализа, переводимых студентами в термины медицинского анализа, вспоминаю, как одна из моих студенток назвала гармонический ряд гормональным.
«Все равенства делятся на равенства и неравенства»
Как-то одна студентка сдавала мне экзамен по матанализу. Сдавала весьма неважно, но в наше время таким принято ставить «уд»: посещала занятия она аккуратно, конспекты вела, контрольные работы худо-бедно писала и переписывала. Помню, что на экзамене какие-то уравнения она писала в цепочку, соединявшуюся знаками равенства, чего, естественно, делать нельзя. Я ей об этом сказал и хотел помочь самой выпутаться из ситуации, задав наводящий вопрос: «На какие два принципиально различных типа подразделяется все множество равенств?» (имея в виду, на тождества и уравнения). Отвечает: «На равенства и неравенства». Поначалу такой ответ мне показался забавным абсурдом. Но потом я подумал: ведь существует понятие ложного равенства, т. е. неравенства. Действительно, в «Толковом словаре математических терминов» (1965) есть два определения равенства: одно из них включает только верные равенства, но другое включает как верные, так и неверные равенства. Конечно, студентка так глубоко не рассуждала. Но, как говорится, «при наличии хорошего адвоката», он бы доказал, что ответ ее не был ошибочен. И я ей поставил тройку.
(Рассказ Б. Г.)
N экзаменует слабую студентку М. Спрашивает, можно ли разложить в степенной ряд в окрестности нуля абсолютную величину переменной х. К его удивлению М уверенно отвечает нет. N спрашивает, почему. К его еще большему изумлению, М отвечает:
— Эта функция не имеет производной в нуле.
— Здесь бы мне остановиться, — сетовал потом N, — а я возьми, да спроси, почему нет производной.
— Смотрите сами: для положительных x: производная равна 1. Чтобы найти производную в нуле, надо подставить в нее 0. А куда подставить-то? Ведь х уже нет.
(Прислал проф. Б. Кушнер, г. Питтсбург, США)
Глава 2. Математики 48
***
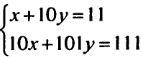
Округление — дело тонкое! Вот один поразительный пример. «Рассмотрим две системы линейных уравнений:
(a)


Вторые уравнения в обеих системах совпадают, а первые — чрезвычайно близкие: свободный член отличается меньше, чем на 1 %. Казалось бы, что и корни обеих систем почти совпадают. Однако ответы такие: (a){11,1; 0}; (Ь){1; 1}».
(Сообщил доцент МГУИЭ А. И. Зюльков)
***
Принцип Арнольда утверждает: если математическое утверждение носит чье-то имя, то этот человек — не автор данного утверждения. Вопрос: кто автор принципа Арнольда?
[Федин и др., 2010. С. 42]
***
Встречаются двое.
— Который час? — спрашивает один.
— Без пяти одиннадцать.
— Шесть, что ли?
[Там же]
Два бородатых анекдота от матстатистиков
(1) Больной спрашивает врача: — Доктор, я слышал, что при моей болезни умирают 99 человек из 100. Значит, у меня нет шансов?
— Ну, что Вы! Вам повезло. У нас вчера умер как раз 99-й такой больной.
(2) Инструктор по прыжкам с парашютом обращается к новобранцам, которым предстоит совершить свой первый прыжок.
— Главное, не бойтесь вы этой статистики. По статистике не раскрывается всего 1 парашют из тысячи. А вас здесь всего двести человек.
***
В двух словах
Математики считают, что тонкая шутка — есть пересечение двух плоских.
[Федин, 2010. 3 изд. С. 80]
На экзамене по геометрии профессор спрашивает студента:
— Вы можете дать определение точки?
Глава 2. Математики
— Конечно, — отвечает студент, — Точка — это прямая линия, если смотреть ей прямо в торец.
[Федин и др., 2010. С. 35]
***
Полярный медведь — это прямоугольный медведь после преобразования декартовых координат в полярные.
[Федин и др., 2010. С. 36]
***
Ключевой вопрос математики: не все ли равно?
[Там же]
Лучший момент в жизни математика — это когда он уже вывел доказательство, но еще не нашел ошибки в нем.
[Там же. С. 47]
***
Дважды два уже четыре. А будет еще лучше.
(Хенрик Ягодзиньский)
***
Плюс — это когда два минуса поперек горла друг другу.
***
Производная от пьянки — это пьянка на сданную посуду.
***
На втором курсе Университета понимаешь, что математика становится по-настоящему сложной, когда из нее пропадают цифры.
***
Из семейства теорем существования. Если существует некая глупость, не противоречащая законам физики, то обязательно найдется тот, кто се совершит.
***
Народный артист России, поэт Леонид Алексеевич Филатов (1946–2003) как-то заметил, что «миллион алых роз», которые художник дарит актрисе в известной песне — это четное число!
Из перлов преподавателей МФТИ[22]
Итак, прошу вас освободить кору головного мозга для следующей теоремы.
Сегодня предстоит интересная лекция… По крайней мере, для меня.
***
Задачи будут интересные. Одну из них сейчас решает вся кафедра. Если решит, мы ее включим в экзаменационную работу.
Сами разбирайтесь, верно или нет. Мое дело — написать.
***
Я рисовал так, чтобы было ясно, что разобрать здесь что-нибудь совершенно невозможно.
Сейчас я провозглашу торжественное определение.
***
Чтобы вывести эту формулу мне достаточно спинного мозга. Зачем мне думать о знаке? Я же не студент.
Уж и не знаю, как вы там привыкли рисовать (n — 1) — мерную гиперплоскость.
Вот ось. Назовем ее ξ (кси) для простоты.
***
Что больше, дельта большое Δ или дельта маленькое δ?
***
Сейчас вылезут «пипополамы» <имеются в виду π/2. — Б. Г.>.
***
Эти вычисления я проведу в уме, так что вам несложно будет их проверить.
***
Так как с — произвольная величина, то его можно стереть.
***
Вот уже 5 минут я ничего не говорю, а вы все пишете и пишете.