Открытие без границ. Бесконечность в математике - Страница 18
Эпсилон
Когда говорят об эпсилонах или о языке эпсилон-дельта, речь идёт вовсе не о секретных кодах Министерства обороны, а о сложном математическом аппарате, который напрямую связан с понятием предела. Первое определение понятию предела сформулировал Бернард Больцано (1781–1848), не получивший, к сожалению, при жизни должного признания. Первым, кто использовал это понятие на практике, был Огюстен Луи Коши (1789–1857), однако окончательное строгое определение предела дал Карл Вейерштрасс. Определение предела на языке эпсилон-дельта является чрезвычайно точным в той части, которая касается делимости на бесконечное множество частей. Хотя это определение очень сложно понять тому, кто не владеет некоторыми математическими знаниями, оно тем не менее долгое время использовалось в учебниках для средней школы. Мы не хотим сказать, что старшеклассники недостаточно умны, чтобы понять его, но не стоит ожидать, что все поймут его с одинаковой лёгкостью. Во многих учебниках оно приводится мелким шрифтом, и преподаватели обходят его молчанием.

Карл Вейерштрасс на литографии 1895 года. Этот немецкий математик был первым, кто использовал на практике язык эпсилон-дельта.
СПОРЫ ГЕНИЕВ
Переписка, несомненно, является древнейшей формой общения между учёными. С её помощью формулируется и решается множество задач. По сравнению с другими формами общения письма обладают преимуществом — конфиденциальностью: они адресуются конкретному человеку или группе людей. В виде переписки проходили многие научные дискуссии.
Одной из самых известных стало жаркое противостояние между Ньютоном и Лейбницем об авторстве математического анализа. Абсолютно независимо друг от друга они получили аналогичные результаты, однако Ньютон опубликовал свои работы первым, что дало ему основания обвинить Лейбница в плагиате. Это привело к ожесточённому и абсурдному спору, не имевшему аналогов в истории науки.
Попробуем сделать понятие предела более ясным, несколько упростив его.
По сути оно имеет много общего с понятием накопления. Представим, что перед входом в помещение образовалась очередь. Можно заметить, что люди постепенно становятся ближе ко входу и друг к другу. Это совершенно естественно: изначально, когда в очереди немного людей, они стараются сохранять комфортное расстояние между собой, но по мере того как число людей растёт, расстояние между ними уменьшается. Интересно, что мы говорим о двух разных расстояниях, которые, однако, тесно связаны между собой: о расстоянии между началом очереди и входом и о расстоянии между людьми в очереди, которое по мере того как мы приближаемся к концу, увеличивается. Это логично, так как те, кто становится в очередь, стараются сохранять комфортное расстояние между собой, но по мере того как очередь движется вперёд, люди чувствуют давление тех, кто находится позади. Можно сказать, что люди скапливаются у входа.
Можно определить степень скопления людей с помощью параметра, который будет описывать, например, изменение расстояния между людьми в очереди по мере приближения к её началу. Как правило, этот параметр будет постепенно уменьшаться.

В очереди, например у входа в кинотеатр, люди собираются у дверей, где расстояние между ними будет минимальным. По мере отдаления от входа расстояние между людьми увеличивается.
Степень скопления людей можно определить, выбрав в качестве единицы измерения конкретное расстояние, например 50 см. Если в 50 см от входа находятся люди, это будет соответствовать определённой степени скопления. В зависимости от величины этой единицы измерения число людей будет изменяться. Аналогично можно измерить степень скопления людей, оценив расстояние между ними.
Здесь возникает первый интересный вопрос: когда мы видим скопление людей, логично предположить, что они собрались по какой-то причине, то есть это скопление возникает вокруг определённого места, где происходит что-то важное. Когда мы видим на дороге скопление муравьёв, то сразу же понимаем, что где-то поблизости находится еда или вход в муравейник. Ещё один пример — скопление машин на автомагистрали, которое служит признаком того, что поблизости находится пункт оплаты проезда или произошла авария. Эти примеры помогут нам понять одно из самых интересных открытий в истории математики. Оно касается существования определённых чисел, которые в течение веков скрывались в мире бесконечно малых.
В предыдущих примерах речь шла о дискретных множествах. Рассмотрим непрерывные величины, так как они допускают возможность бесконечного деления.
Оставим скопления людей и автомашин и рассмотрим возможные множества точек на прямой. Допустим, что дана последовательность точек а1, a2, а3, аn…, которые обладают одним свойством: соседние члены последовательности располагаются всё ближе и ближе друг к другу. Очевидно, что они скапливаются вокруг некоторой точки — обозначим её P. Допустим, что выбранной нами основной мерой длины является отрезок длиной d. Если мы поместим один конец этого отрезка в точку P, то увидим, что некоторые точки последовательности окажутся внутри этого отрезка длиной d.

Более того, мы сможем найти точку аn, после которой все точки будут располагаться внутри отрезка d. Если мы уменьшим длину отрезка и сделаем её равной d' < d, то все точки, начиная с более удалённой, аm, будут располагаться внутри этого нового отрезка. Именно такое значение имеет эпсилон в математическом анализе.
Мы можем гарантировать, что для любой величины d всегда найдётся такое n, начиная с которого все элементы последовательности будут находиться внутри отрезка d. В этом случае говорят, что последовательность сходится в точке P. Это означает следующее: во-первых, эта последовательность бесконечна, во-вторых, расстояние между точкой P и произвольным членом последовательности может быть сколь угодно малым.
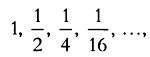
Когда мы работаем с дискретными множествами, всё изложенное выше практически неприменимо. Рассмотрим последовательность чисел 100, 50, 25, 12, 6, 3, 1 (можно представить эту последовательность как очередь из семи чисел у входа, которым, например, является ноль). Очевидно, что разница между произвольным членом последовательности и нулём постепенно уменьшается, равно как и разница между двумя соседними членами последовательности. Например, между 100 и 50 находится 49 чисел, между 6 и 3 — всего два. Тем не менее нельзя сказать, что члены последовательности скапливаются в окрестности точки 0. Очевидно, что если мы возьмём отрезок длиной 1/2 и поместим один из его концов в точку 0, на этом отрезке не будет находиться ни один член последовательности. А если мы рассмотрим последовательность

то вблизи нуля всегда будет находиться какой-либо её член, сколь бы малым ни было расстояние до нуля.
На языке математики эти расстояния называются окрестностями. Окрестность подобна скобкам, в которые заключена точка P. Основная идея заключается в том, что сколь малыми ни были бы эти скобки (то есть радиус окрестности), в них всегда будут находиться элементы последовательности. В языке эпсилон-дельта основную роль играет соотношение между двумя числами: шириной скобок (радиусом окрестности, который обычно обозначают ε — эпсилон) и числом n, определяющим элемент аn, начиная с которого все элементы последовательности будут располагаться внутри заданной окрестности. На языке математики это звучит так: «Для любого эпсилон существует n, такое что…»