Открытие без границ. Бесконечность в математике - Страница 17
Нам известно, что прямая определяется двумя точками, но она также может определяться одной точкой и углом наклона. Например, прямые r1 и r2, проходящие через начало координат, определяются углами наклона α и β соответственно.
Мы говорим об угле наклона не только применительно к математическому анализу, но и в повседневной жизни, например когда речь идёт об угле наклона на участке автомагистрали.

С помощью транспортира можно узнать конкретную величину угла, например 24°. Другой способ измерить угол состоит в определении его тангенса. В прямоугольном треугольнике ABC тангенсом угла называется отношение длины противолежащего катета к прилежащему.
ОСНОВЫ МЕЖДУНАРОДНОГО ПРАВА
В 15 лет Лейбниц начал изучать право в Лейпцигском университете. Несмотря на то что большую часть времени он уделял изучению философии, через пять лет Лейбниц получил право на степень доктора юриспруденции, которую ему отказались присвоить ввиду юного возраста студента. После этого он перевёлся в Альдорфский университет в Нюрнберге, где защитил позднее ставшую знаменитой диссертацию об историческом характере законодательства, в которой заложил основы международного права.

Будем обозначать тангенс буквами tg: tg(α) = АВ/СВ.
Теперь предположим, что дана непрерывная кривая (то есть её можно нарисовать, не отрывая карандаша от бумаги) у = f(х) и мы хотим найти касательную к этой кривой в её произвольной точке, которую обозначим Р. Как мы уже говорили, прямая определяется точкой и углом наклона. Точка Р уже известна, и единственное, что осталось найти, — угол наклона искомой прямой. Лейбниц в качестве основы всех своих вычислений использовал построение треугольника, который он называл характеристическим треугольником. По сути, этот треугольник стал краеугольным элементом анализа бесконечно малых.

Обозначим координаты точки Р через х и у. Теперь выберем точку Q кривой и обозначим её координаты х + Δх, у + Δу. Нетрудно показать, что угол наклона прямой, проходящей через точки Р и Q, определяется как tg(α) = Δу/Δх. Если теперь мы приблизим точку Q к точке Р, ничего особенно не изменится — просто уменьшатся Δх и Δу. Это приближение можно осуществлять непрерывно, так что упомянутые нами изменения х и у будут сколь угодно малыми. В определённый момент они станут достаточно малыми, чтобы ими можно было пренебречь, то есть они не будут влиять на результат. Эти бесконечно малые величины Лейбниц назвал дифференциалами, dx и dy соответственно.

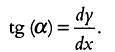
При непрерывном приближении точки Q к точке Р прямая, соединяющая эти точки, приближается к касательной кривой в точке Р так, что искомый угол наклона α можно будет получить из формулы

Когда расстояние между P и Q станет бесконечно малым, будет выполняться условие

ПИСЬМА ПРИНЦЕССАМ
Во многих областях Лейбниц известен прежде всего как философ, а не как математик. В возрасте 20 лет он уже опубликовал свои знаменитые «Рассуждения о комбинаторном искусстве».
Несмотря на то что многие из его фундаментальных результатов изложены в таких работах, как «Новые опыты о человеческом разуме» (1703) или «Монадология» (1714), важная часть философских размышлений Лейбница содержится в переписке с принцессами Софией, Софией Шарлоттой и Каролиной — с ними он был связан не только интеллектуальной перепиской, но и тёплыми дружескими узами.
Принцессы действительно достаточно хорошо разбирались в философии и в некотором роде были единственными, кто мог способствовать созданию научных сообществ вне университетов для свободного общения интеллектуалов, не ограниченного рамками религиозных догм.
Этот прямоугольный треугольник, катетами которого являются dx и dy, является тем характеристическим треугольником, о котором мы говорили выше. По сути, его катеты бесконечно малой длины совпадают со сторонами многоугольника с бесконечным числом сторон, в виде которого можно представить исходную кривую. Основная разница между этими величинами заключается в том, что Лейбниц работает с ними как с числами (с некоторыми ограничениями) и использует их для получения конкретных результатов. С их помощью ему даже удалось решить задачу о квадратуре, то есть вычислить площадь, ограниченную кривой. Говоря проще, если площадь некоторой фигуры состоит из дифференциалов, достаточно сложить их, чтобы узнать искомую площадь (в этом смысле дифференцирование и интегрирование являются обратными операциями).

Потрёт Гэтфрида Лейбница в возрасте приблизительно пятидесяти четырёх лет.
ЛЕЙБНИЦ И ОРДЕН РОЗЕНКРЕЙЦЕРОВ
В возрасте 20 лет Лейбниц вступил в ряды таинственного ордена розенкрейцеров, членами которого также были Ньютон и Декарт. Не следует удивляться — в то время учёным сложно было получать необходимую для исследований информацию из официальных источников, и членство в подобных обществах было одним из факторов их научного прогресса.
Условием вступления в орден было проведение алхимических опытов, и Лейбниц, который в итоге занял пост секретаря братства, занялся выполнением экспериментов, описанных на латыни в объёмном труде алхимика Василия Валентина. Через братство он познакомился с первооткрывателем фосфора Хеннигом Брандом и помог ему выделить фосфор из мочи целого полка солдат для последующего коммерческого использования. Лейбниц также активно сотрудничал с Фридрихом Гофманом, возглавлявшим кафедру медицины в Университете Галле. Одним из результатов их совместной работы стали знаменитые гофманские капли, которые до сих пор можно встретить в некоторых немецких аптеках.

Храм братства Розы и Креста, рисунок из книги Теофилуса Швейгхардта Константиенса, 1618 год.
Бесконечно малые величины не были с восторгом приняты математиками той эпохи. Характеристический треугольник использовался в рассуждениях, но так и не получил строгого определения. Он лишь представлял нечто происходящее в загадочном и непонятном мире бесконечно малых, и его использование предполагало принятие актуальной бесконечности, как бы учёные ни стремились этого избежать.
Кроме того, следовало каким-то образом уйти от архимедовского принципа сравнения величин, и Паскаль, Лопиталь, Бернулли и сам Лейбниц в итоге стали рассматривать бесконечно малые как особые величины, которые в определённых условиях равняются нулю. Лейбниц неспроста дал своей работе название «О скрытой геометрии и анализе неделимых и бесконечных величин».